Скачать ГОСТ Р 54712-2011 Звуковое вещание цифровое. Кодирование сигналов звукового вещания с сокращением избыточности для передачи по цифровым каналам связи MPEG-2 часть III (MPEG-2 audio)Дата актуализации: 01.01.2021
|
| Обозначение: | ГОСТ Р 54712-2011 |
| Обозначение англ: | GOST R 54712-2011 |
| Статус: | введен впервые |
| Название рус.: | Звуковое вещание цифровое. Кодирование сигналов звукового вещания с сокращением избыточности для передачи по цифровым каналам связи MPEG-2 часть III (MPEG-2 audio) |
| Название англ.: | Digital Sound broadcasting. Coding of sound broadcasting signals with redundancy reduction for transfer on digital communication channel. MPEG-2 a part III (MPEG-2 audio) |
| Дата добавления в базу: | 01.10.2014 |
| Дата актуализации: | 01.01.2021 |
| Дата введения: | 01.07.2013 |
| Область применения: | Стандарт предназначен для регулирования отношений между оператором и пользователем в процессе установления соединения в части выполнения технических требований к электрическим параметрам, определяющим качество каналов и трактов звукового вещания с полосой передаваемых частот до 20 000 Гц. Стандарт используется при проектировании, вводе в эксплуатацию и техническом обслуживании каналов и трактов звукового вещания студийного качества (с полосой частот до 20 000 Гц), организуемых в наземных и спутниковых линиях на магистральной, внутризоновых и местных сетях связи. Действие документа распространяется на услуги местной, внутризоновой, междугородной и международной сети звукового вещания, независимо от используемой сетевой технологии. Это способствует обеспечению целостности сетей звукового вещания, устойчивости работы сети, выполнению норм на основные электрические параметры при разработке и проектированию каналообразующей аппаратуры звукового вещания (ГОСТ Р 52742-2007 и ГОСТ Р 53537-2009). Показатели, определенные документом, являются базовыми для профессиональной и бытовой аппаратуры - проигрывателей компакт-дисков, усилителей сигналов звуковой частоты и другого оборудования класса Hi-Fi. |
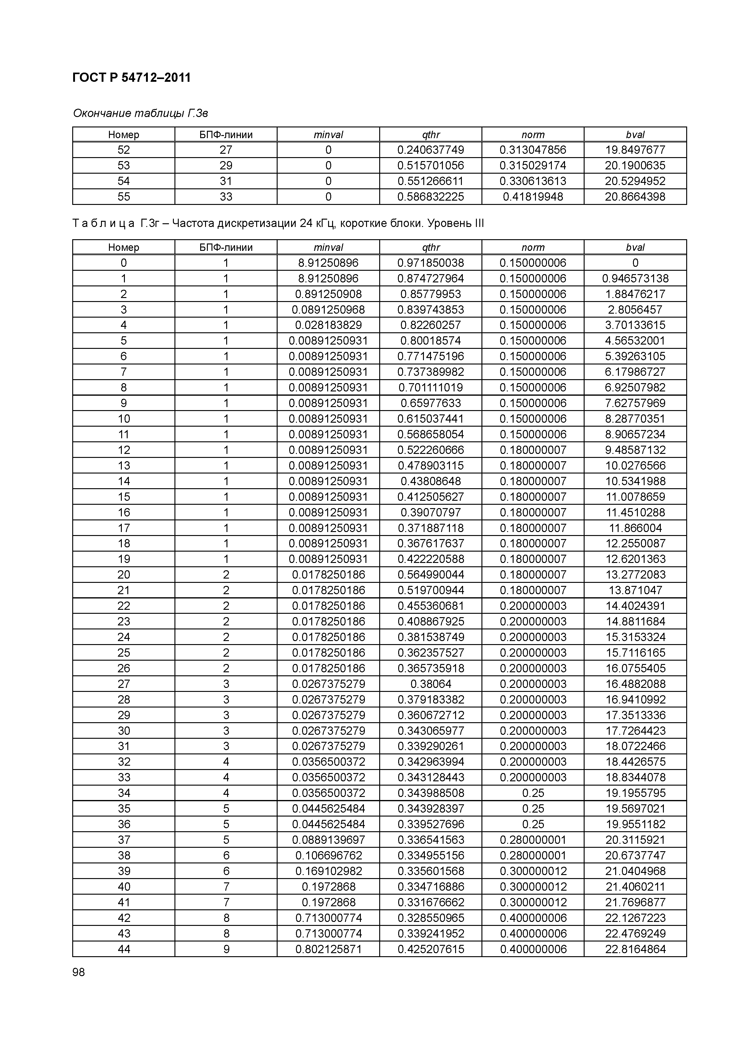
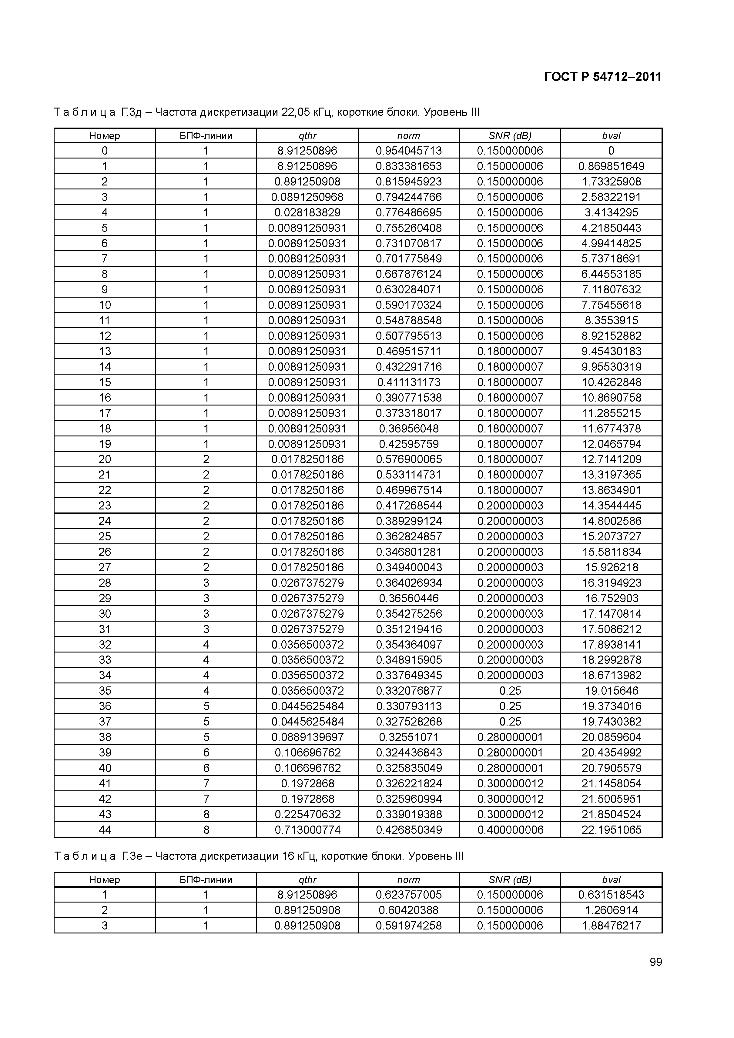
| Оглавление: | 1 Область применения 2 Нормативные ссылки 3 Термины, определения, символы и сокращения 3.1 Термины и определения 3.2 Символы и сокращения 3.3 Метод описания синтаксиса потока битов 4 Задачи по совершенствованию обработки цифровых сигналов звукового вещания с целью повышения качества передачи 4.1 Требования к расширению ГОСТ Р 54711 для поддержки низких частот дискретизации 4.2 Требования к расширению ГОСТ Р 54711 для поддержки многоканального звука Приложение А (обязательное) Схемы Приложение Б (обязательное) Таблицы Приложение В (обязательное) Процесс кодирования Приложение Г (обязательное) Психоакустические модели Приложение Д (обязательное) Использование дополнительных данных Библиография |
| Разработан: | ФГУП ЛО ЦНИИС |
| Утверждён: | 13.12.2011 Федеральное агентство по техническому регулированию и метрологии (873-ст) |
| Издан: | Стандартинформ (2014 г. ) |
| Нормативные ссылки: |
|












































































































