Скачать Технологическая карта по монтажу и демонтажу насосных агрегатов типа ЦНСДата актуализации: 01.01.2021 |
| Статус: | не установлен срок действия |
| Название рус.: | Технологическая карта по монтажу и демонтажу насосных агрегатов типа ЦНС |
| Дата добавления в базу: | 01.10.2014 |
| Дата актуализации: | 01.01.2021 |
| Область применения: | Карта определяет последовательность и правила выполнения типовых операций, связанных с монтажом и демонтажом насосных агрегатов типа ЦНС и разработана для монтажа и демонтажа насосных агрегатов типа ЦНС при их ремонте, модернизации, реконструкции, замене, консервации, ликвидации, установке нового оборудования |
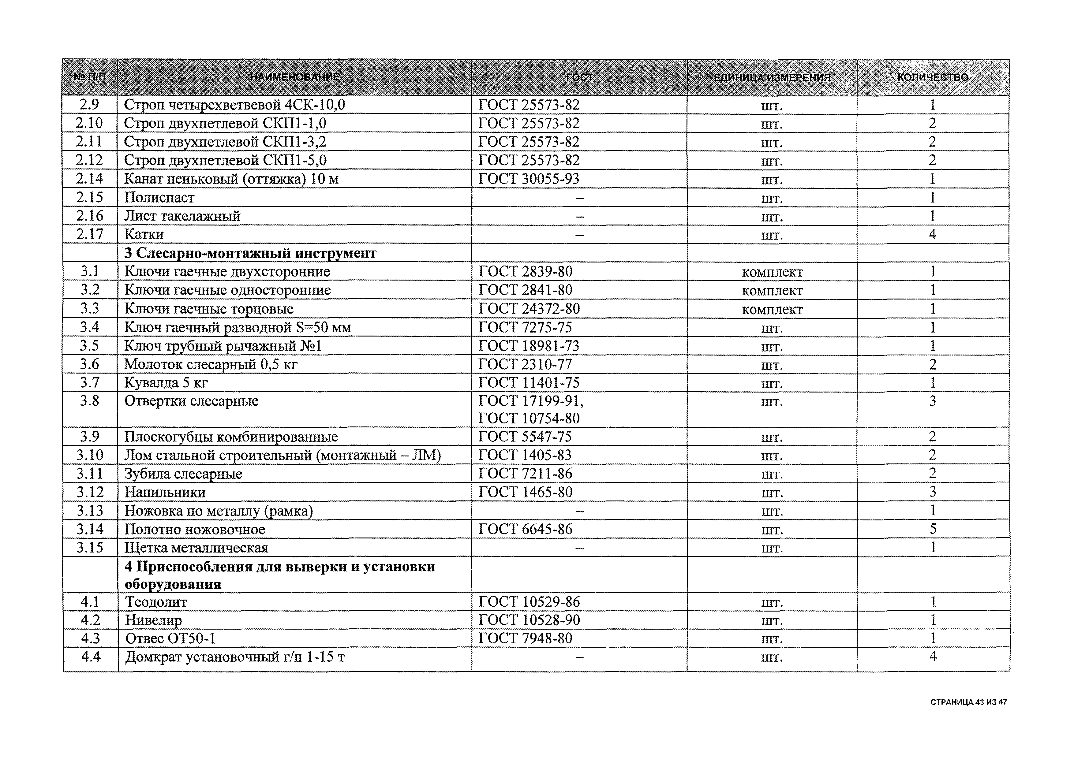
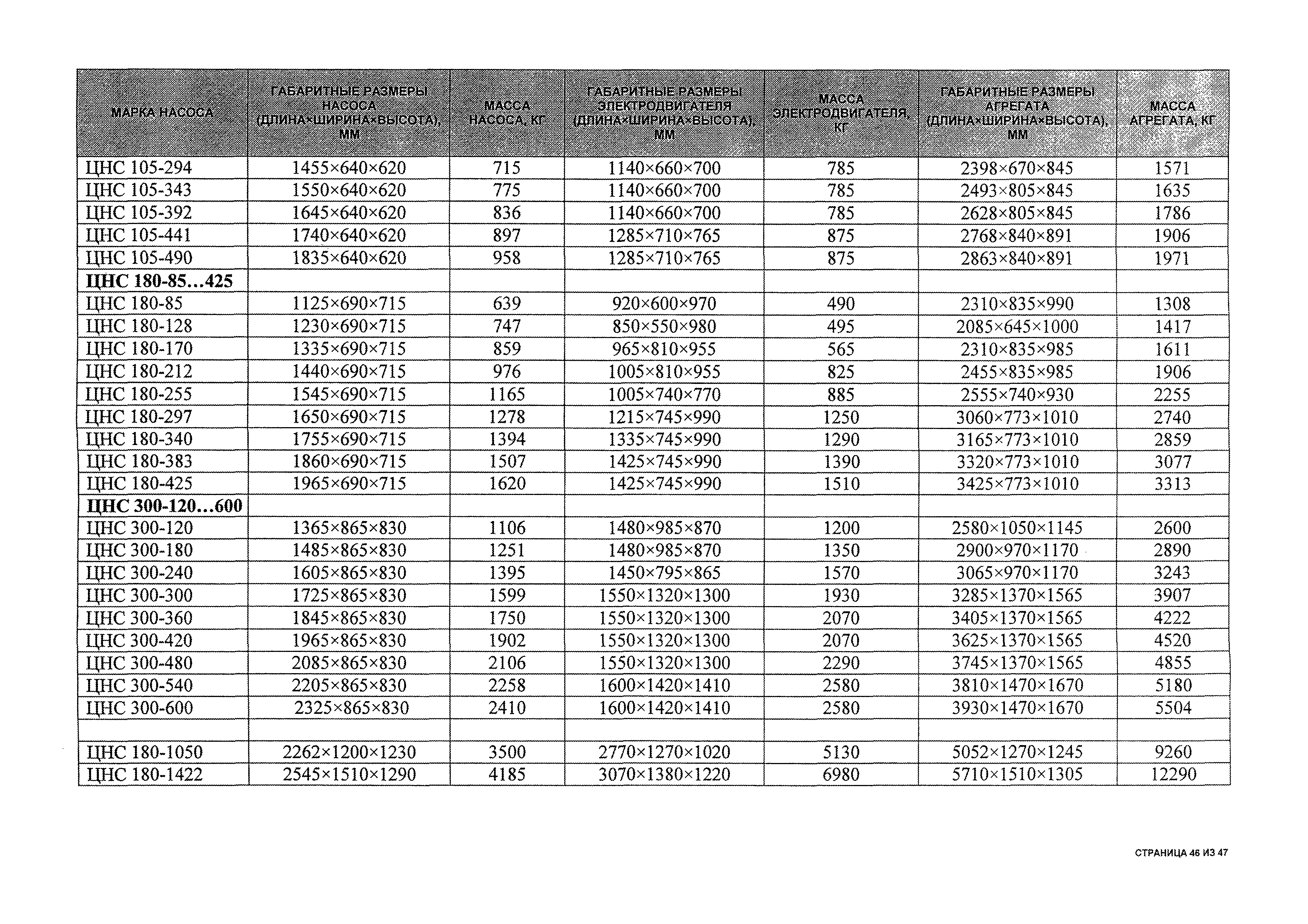
| Оглавление: | 1 Общие положения 2 Организация работ 3 Типовая карта по монтажу насосных агрегатов типа ЦНС 4 Требования охраны труда, промышленной и пожарной безопасности 5 Нормативы трудоемкости на монтаж и демонтаж насосных агрегатов типа ЦНС Приложение 1. Наряд-допуск на выполнение работ повышенной опасности Приложение 2. Форма акта приемки-передачи оборудования в монтаж Приложение 3. Форма акта на сдачу оборудования в демонтаж Приложение 4. Форма акта готовности оборудования к демонтажу Приложение 5. Порядок определения границы опасной зоны Приложение 6. Перечень оборудования, инструмента, грузозахватных приспособлений и материалов для производства монтажа и демонтажа насосных агрегатов типа ЦНС Приложение 7. Габаритные размеры и масса насосных агрегатов типа ЦНС Приложение 8. Стропы, применяемые при монтаже и демонтаже насосных агрегатов типа ЦНС |
| Разработан: | ООО СПКТБ НЕФТЕГАЗМАШ |
| Утверждён: | ООО СПКТБ НЕФТЕГАЗМАШ |
| Нормативные ссылки: |
|














































