Скачать Нормативы времени на разработку нормативных материалов по труду

Дата актуализации: 01.01.2021

Нормативы времени на разработку нормативных материалов по труду

Статус:не установлен срок действия
Название рус.:Нормативы времени на разработку нормативных материалов по труду
Дата добавления в базу:01.10.2014
Дата актуализации:01.01.2021
Область применения:Нормативы предназначаются для установления затрат времени на разработку межотраслевых и отраслевых нормативных материалов по труду и определения численности работников, занятых этой работой в центрах НОТ министерств (ведомств), научно-исследовательских и проектно-конструкторских институтах отраслей народного хозяйства, а также нормативно-исследовательских подразделениях предприятий (объединений).
Оглавление:1 Общая часть
2 Организация труда
3 Нормативная часть
Приложение 1. Пример использования нормативов времени для определения затрат времени на разработку нормативных материалов по труду
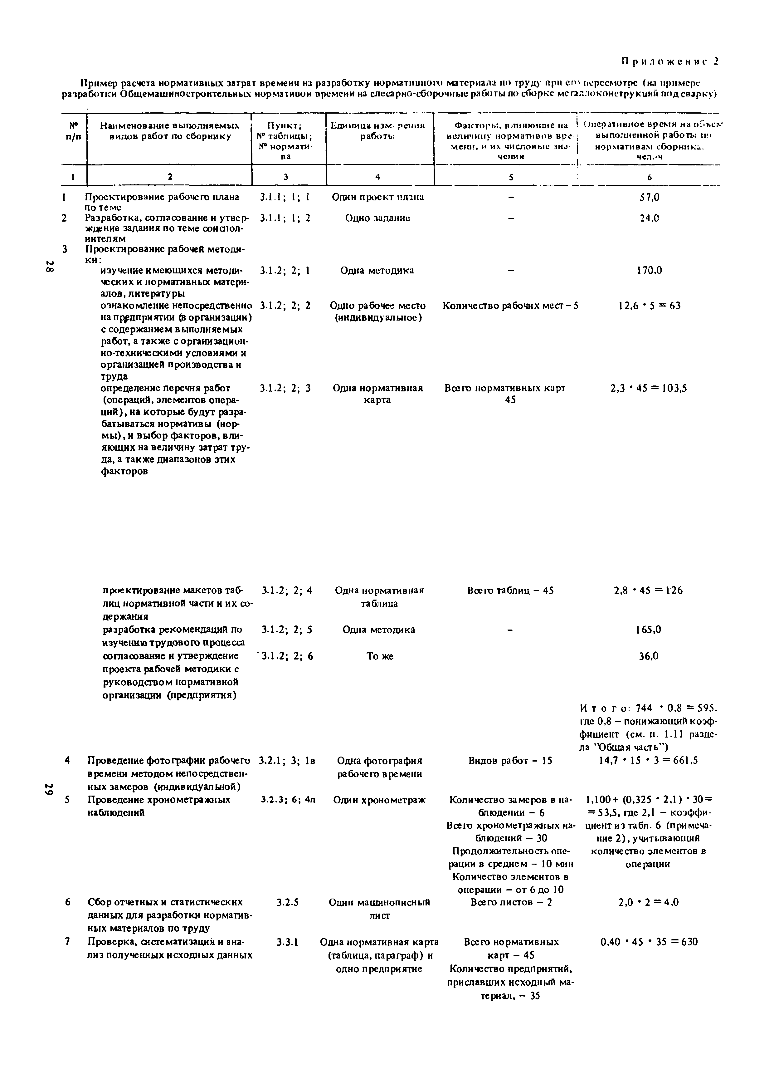
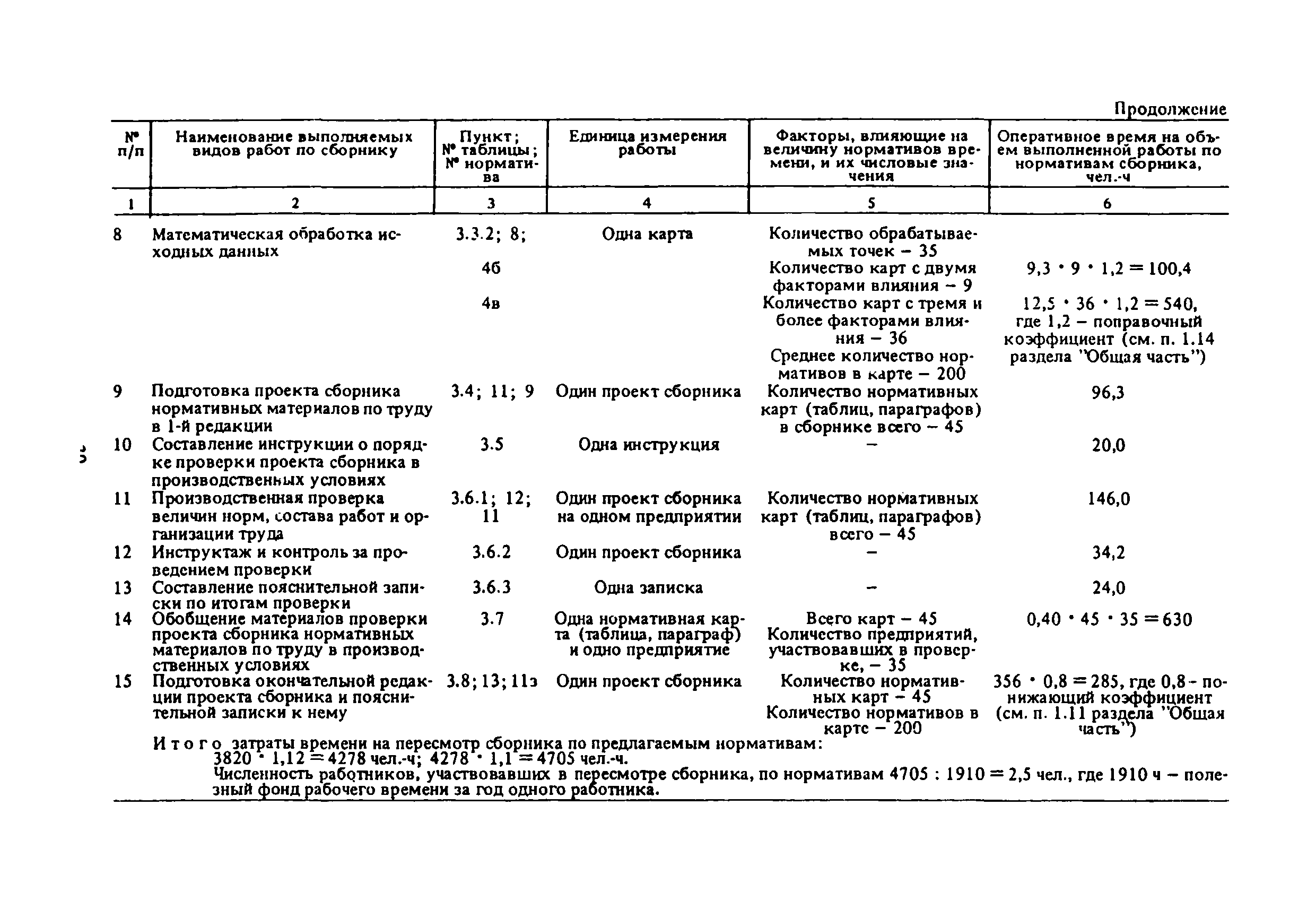
Приложение 2. Пример использования нормативов времени на разработку нормативного материала по труду при его пересмотре
Разработан: ЦБНТ
Утверждён: Государственный комитет по труду и социальным вопросам
Нормативные ссылки: