Скачать ГОСТ Р ИСО 18629-12-2010 Системы промышленной автоматизации и интеграция. Язык спецификаций процесса. Часть 12. Внешнее ядроДата актуализации: 01.01.2021
|
| Обозначение: | ГОСТ Р ИСО 18629-12-2010 |
| Обозначение англ: | GOST R ISO 18629-12-2010 |
| Статус: | введен впервые |
| Название рус.: | Системы промышленной автоматизации и интеграция. Язык спецификаций процесса. Часть 12. Внешнее ядро |
| Название англ.: | Industrial automation systems and integration. Process specification language. Part 12. Outer core |
| Дата добавления в базу: | 01.10.2014 |
| Дата актуализации: | 01.01.2021 |
| Дата введения: | 01.09.2011 |
| Область применения: | Стандарт в форме аксиом и определений устанавливает понятия, относящиеся к внешнему ядру языка, что позволяет аксиоматизировать семантику терминологии, используемой для описания внешнего ядра в соответствии с требованиями комплекса стандартов ИСО 18629. Стандарт распространяется на: - деятельность и ее агрегирование; - дискретные деятельности и их состояния; - ограничения деятельности; - параллельные примитивные деятельности; - составные деятельности; - примеры составных деятельностей. |
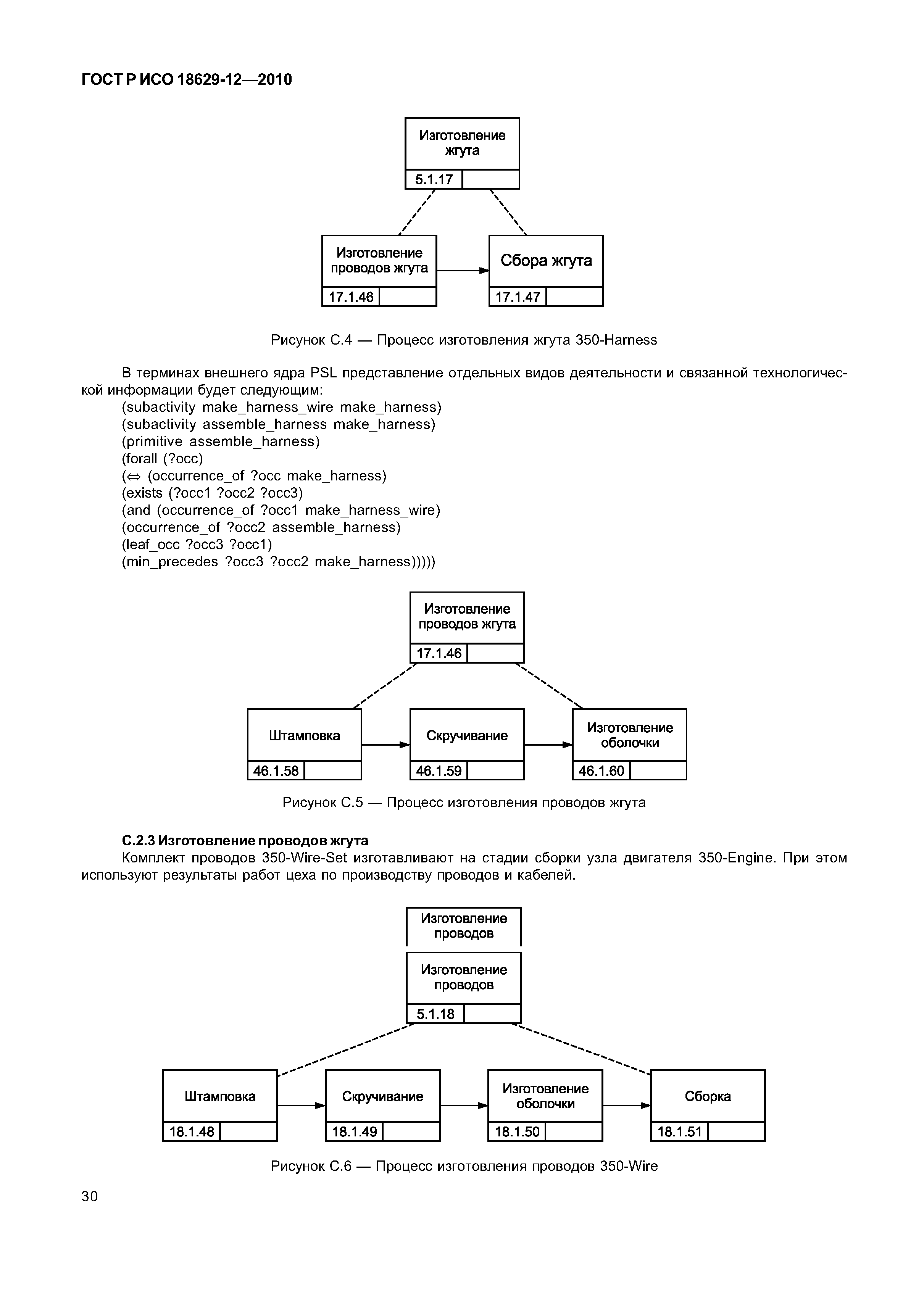
| Оглавление: | 1 Область применения 2 Нормативные ссылки 3 Термины, определения и сокращения 3.1 Термины и определения 3.2 Сокращения 4 Общие положения комплекса стандартов ИСО 18629 5 Общие положения настоящего стандарта 5.1 Расширения, входящие во внешнее ядро 6 Теория ядра подчиненной деятельности 6.1 Примитивные отношения 6.2 Установленные отношения 6.3 Связь с другими наборами аксиом 6.4 Неформальная семантика 6.5 Определения 6.6 Аксиомы 7 Теория ядра дерева случаев 7.1 Примитивные отношения 7.2 Примитивные функции 7.3 Связь с другими наборами аксиом 7.4 Неформальная семантика 7.5 Аксиомы 8 Теория ядра дискретного состояния 8.1 Примитивные категории 8.2 Примитивные отношения 8.3 Связь с другими наборами аксиом 8.4 Неформальная семантика 8.5 Аксиомы 9 Теория ядра атомарной деятельности 9.1 Примитивные отношения 9.2 Примитивные функции 9.3 Связь с другими наборами аксиом 9.4 Неформальная семантика 9.5 Определения 9.6 Аксиомы 10 Теория ядра комплексной деятельности 10.1 Примитивные отношения 10.2 Установленные отношения 10.3 Связь с другими наборами аксиом 10.4 Неформальная семантика 10.5 Определения 10.6 Аксиомы 11 Теория ядра случаев деятельности 11.1 Примитивные отношения 11.2 Установленные отношения в теории ядра случаев деятельности 11.3 Связь с другими наборами аксиом 11.4 Неформальная семантика 11.5 Определения 11.6 Аксиомы Приложение А (обязательное) Идентификатор ASN.1, присвоенный ИСО 18629-12 Приложение В (справочное) Связь с ситуационным исчислением Приложение С (справочное) Пример описания процесса с помощью внешнего ядра PSL Приложение ДА (справочное) Сведения о соответствии ссылочных международных стандартов ссылочным национальным стандартам Российской Федерации Библиография |
| Разработан: | НТЦ ИНТЕК |
| Утверждён: | 21.12.2010 Росстандарт (894-ст) |
| Издан: | Стандартинформ (2014 г. ) |
| Нормативные ссылки: |
|






































