Скачать ГОСТ Р ИСО 18629-11-2010 Системы промышленной автоматизации и интеграция. Язык спецификаций процесса. Часть 11. Ядро PSLДата актуализации: 01.01.2021
|
| Обозначение: | ГОСТ Р ИСО 18629-11-2010 |
| Обозначение англ: | GOST R ISO 18629-11-2010 |
| Статус: | введен впервые |
| Название рус.: | Системы промышленной автоматизации и интеграция. Язык спецификаций процесса. Часть 11. Ядро PSL |
| Название англ.: | Industrial automation systems and integration. Process specification language. Part 11. PSL core |
| Дата добавления в базу: | 01.10.2014 |
| Дата актуализации: | 01.01.2021 |
| Дата введения: | 01.09.2011 |
| Область применения: | Стандарт распространяется на концепцию ядра PSL, определяемую с помощью аксиом, написанных на языке, соответствующем требованиям комплекса стандартов ИСО 18629. Концепция, приведенная в стандарте, является общей для всех процессов производства. |
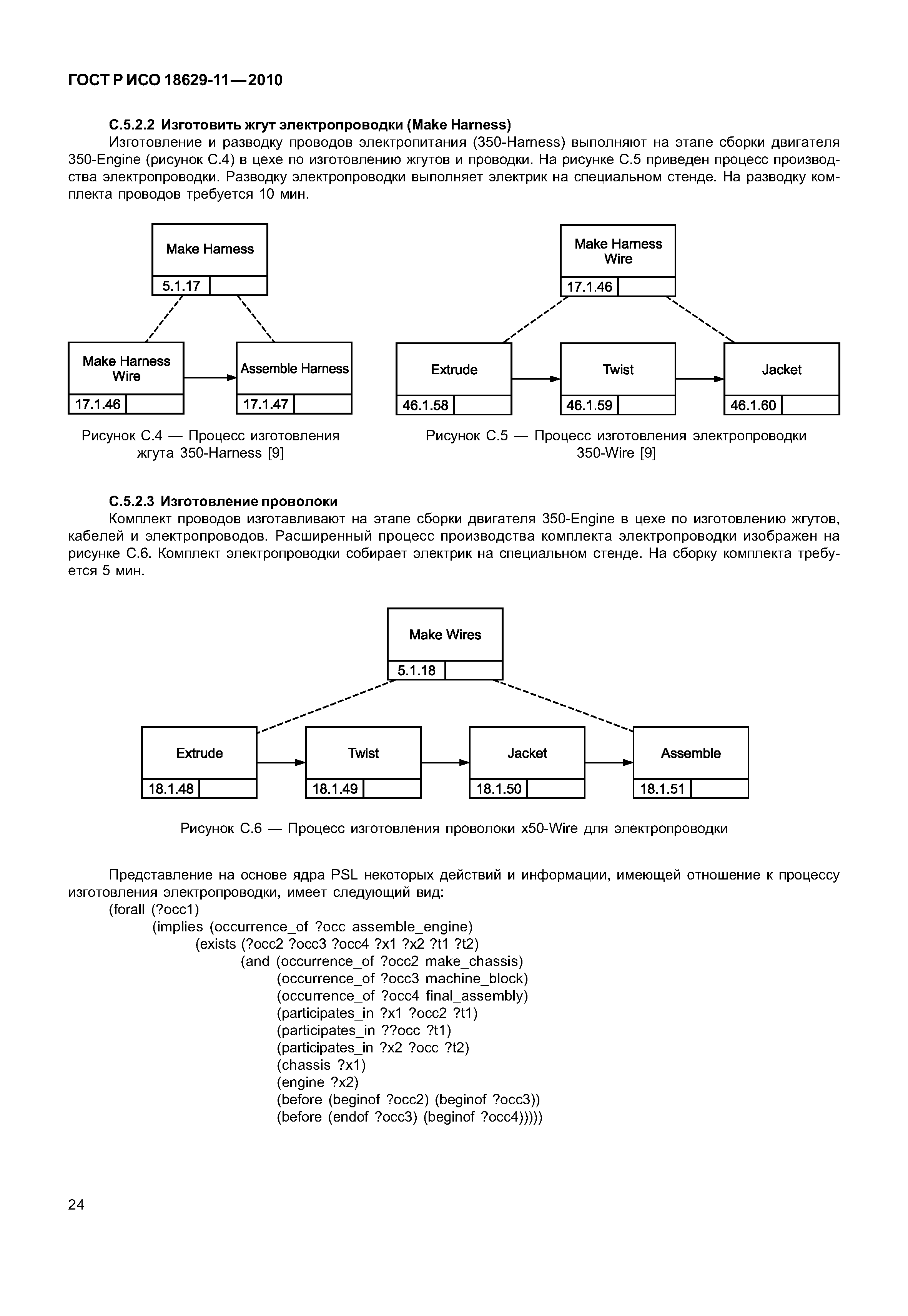
| Оглавление: | 1 Область применения 2 Нормативные ссылки 3 Термины, определения и сокращения 3.1 Термины и определения 3.2 Сокращения 4 Общие положения комплекса стандартов ИСО 18629 5 Синтаксис спецификации языка 5.1 Основные символы и синтаксические категории 5.2 Лексика 5.3 Грамматика 5.4 Язык 6 Основные элементы ядра PSL 6.1 Основные свойства 6.2 Элементарный словарь ядра PSL 6.3 Определенная лексика ядра PSL 6.4 Аксиомы 7 Соответствие ядру PSL 7.1 Соответствие онтологий 7.2 Соответствие описаний процесса Приложение А (обязательное) ИдентификаторASN.1, присвоенный ИСО 18629-11 Приложение В (справочное) Синтаксис формата обмена знаниями и семантика Приложение С (справочное) Пример описания процесса с использованием ядра PSL Приложение D (справочное) Условные обозначения формы Бэкуса-Наура Приложение ДА (справочное) Сведения о соответствии ссылочных международных стандартов ссылочным национальным стандартам Российской Федерации Библиография |
| Разработан: | НТЦ ИНТЕК |
| Утверждён: | 21.12.2010 Федеральное агентство по техническому регулированию и метрологии (893-ст) |
| Издан: | Стандартинформ (2014 г. ) |
| Нормативные ссылки: |
|































