Скачать ГОСТ Р 55248-2012 Электробезопасность. Классификация интерфейсов для оборудования, подсоединяемого к сетям информационных и коммуникационных технологийДата актуализации: 01.01.2021
|
| Обозначение: | ГОСТ Р 55248-2012 |
| Обозначение англ: | GOST R 55248-2012 |
| Статус: | введен впервые |
| Название рус.: | Электробезопасность. Классификация интерфейсов для оборудования, подсоединяемого к сетям информационных и коммуникационных технологий |
| Название англ.: | Electrical safety. Classification of interfaces for equipment to be connected to information and communications technology networks |
| Дата добавления в базу: | 21.05.2015 |
| Дата актуализации: | 01.01.2021 |
| Дата введения: | 01.07.2014 |
| Область применения: | Стандарт распространяется на интерфейсы оборудования. Такие интерфейсы могут быть подключены к телекоммуникационным сетям, являться частью телекоммуникационной инфраструктуры сети или обеспечивать локальную передачу данных. Стандарт представляет собой руководство по классификации интерфейсов в соответствии с типами цепей, определенными в МЭК 60950-1 и МЭК 60950-21, с последующим анализом характеристик телекоммуникационной сети. Стандарт распространяется только на подключенное соответствующим образом оборудование и не рассматривает повреждения, нанесенные одним оборудованием другому оборудованию, связанному с ним. В порядке исключения интерфейс может быть спроектирован для более высоких или низких уровней в целях особого применения. Стандарт предназначен для использования проектировщиками оборудования, операторами сети, сетевыми инспекторами/администраторами, разработчиками стандартов и монтажниками сетей. Настоящий стандарт применим для различных интерфейсов оборудования. Стандарт применяется независимо от права собственности или ответственности за установку и техническое обслуживание оборудования или сети. |
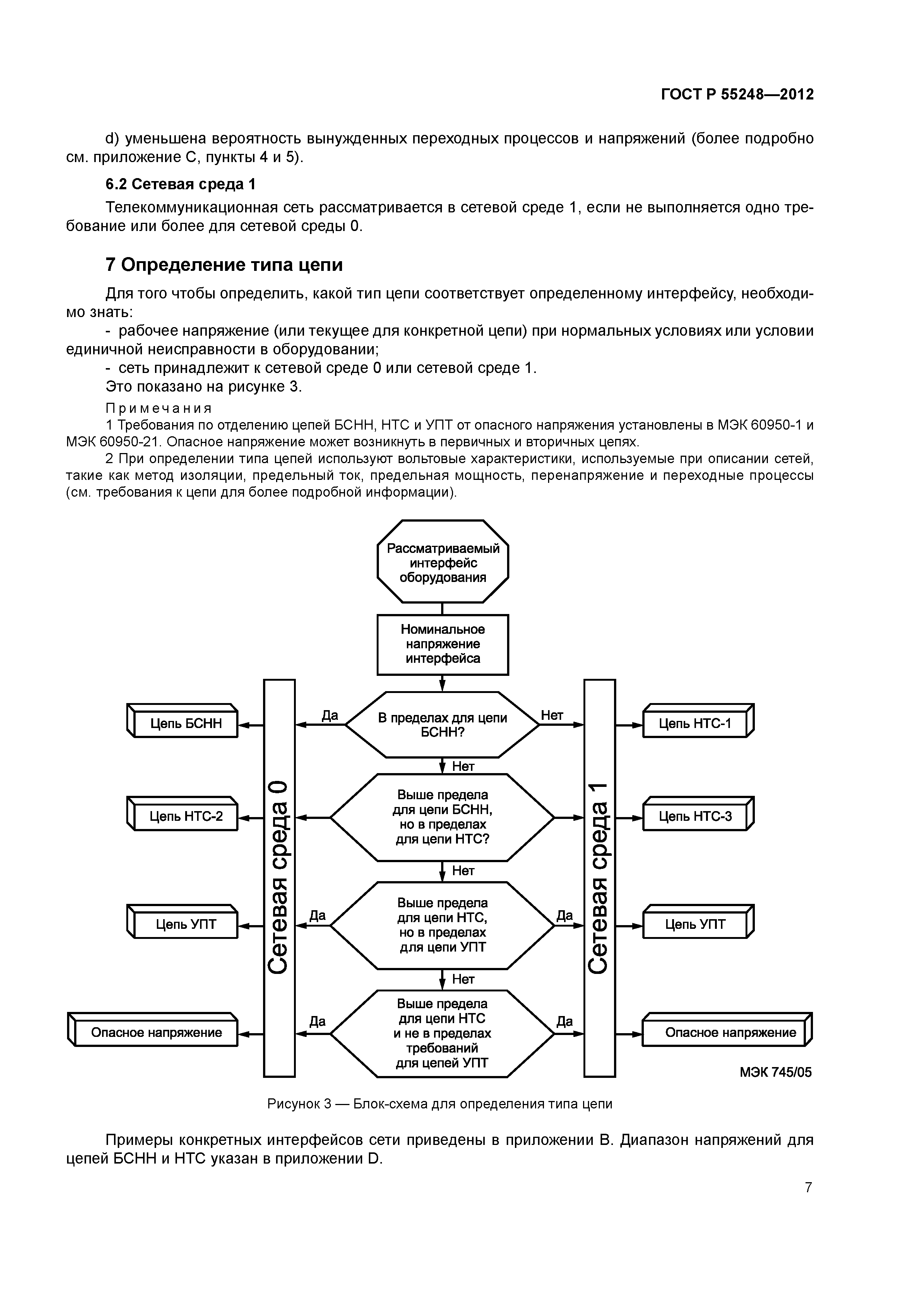
| Оглавление: | 1 Область применения 2 Нормативные ссылки 3 Термины и определения 4 Базовая конфигурация 5 Категории безопасности интерфейсов, предназначенных для подсоединения к сетям информационных и коммуникационных технологий 6 Процессы, влияющие на безопасность интерфейса портов 7 Определение типа цепи Приложение А (справочное) Анализ признаков интерфейса Приложение В (справочное) Рассчитанные примеры конкретных сетевых интерфейсов Приложение С (справочное) Параметры для сетевой среды 0 Приложение D (справочное) Диапазоны напряжений для цепей безопасного сверхнизкого напряжения и цепей напряжения телекоммуникационной сети Приложение ДА (справочное) Сведения о соответствии ссылочных международных стандартов национальным стандартам Библиография |
| Разработан: | НТЦСЭ ИСЭП |
| Утверждён: | 29.11.2012 Федеральное агентство по техническому регулированию и метрологии (1334-ст) |
| Издан: | Стандартинформ (2014 г. ) Стандартинформ (2018 г. ) |
| Нормативные ссылки: |


























