Скачать Б3-75 Пособие по выбору запорной трубопроводной арматуры для внутренних санитарно-технических системДата актуализации: 01.01.2021
|
| Обозначение: | Б3-75 |
| Обозначение англ: | Б3-75 |
| Статус: | не установлен срок действия |
| Название рус.: | Пособие по выбору запорной трубопроводной арматуры для внутренних санитарно-технических систем |
| Дата добавления в базу: | 01.10.2014 |
| Дата актуализации: | 01.01.2021 |
| Область применения: | Пособие по выбору запорной трубопроводной арматуры для внутренних санитарно-технических систем предназначено для применения при проектировании систем отопления, теплоснабжения вентиляционных установок, внутреннего водопровода, бытовой и производственной канализаций. |
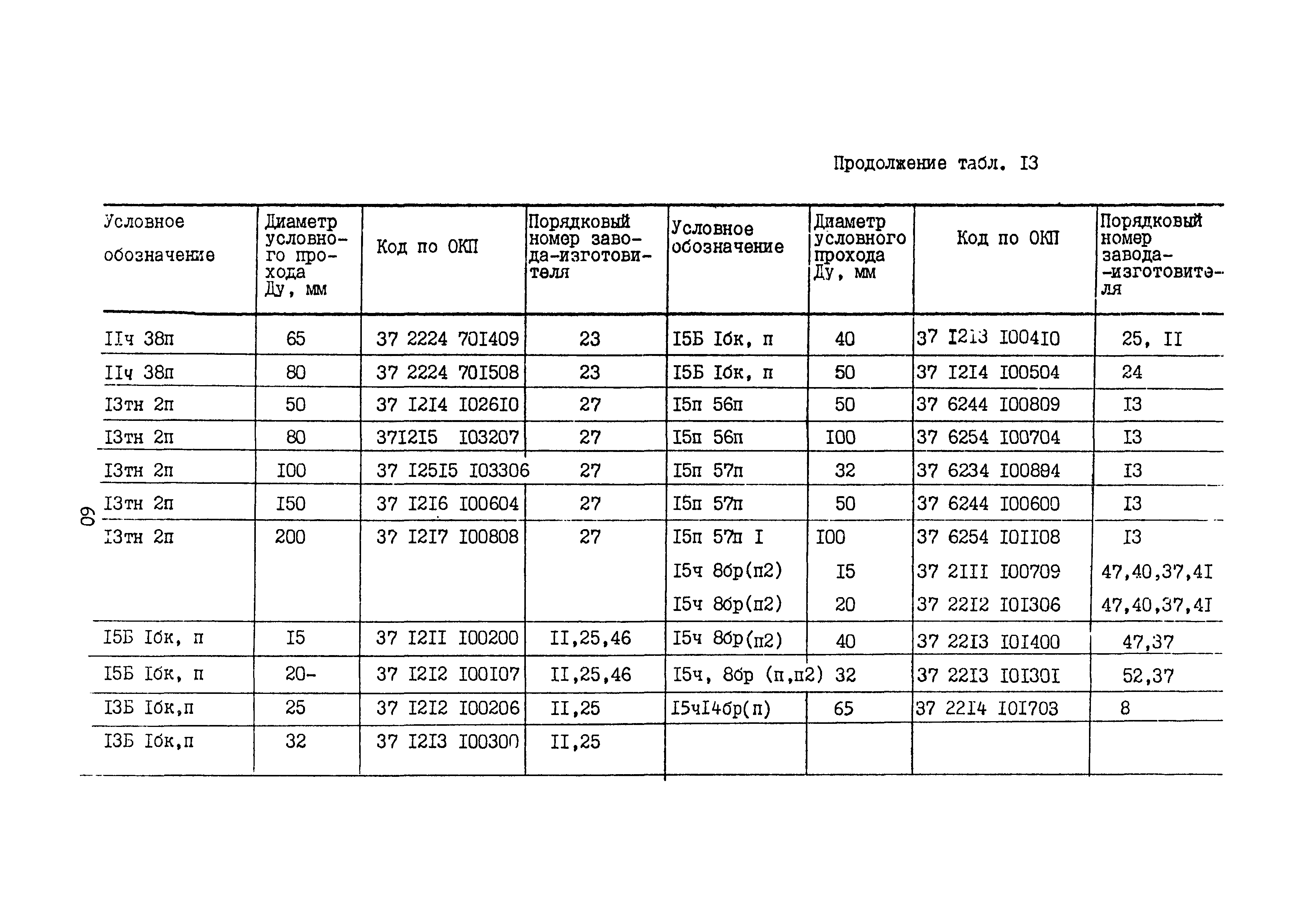
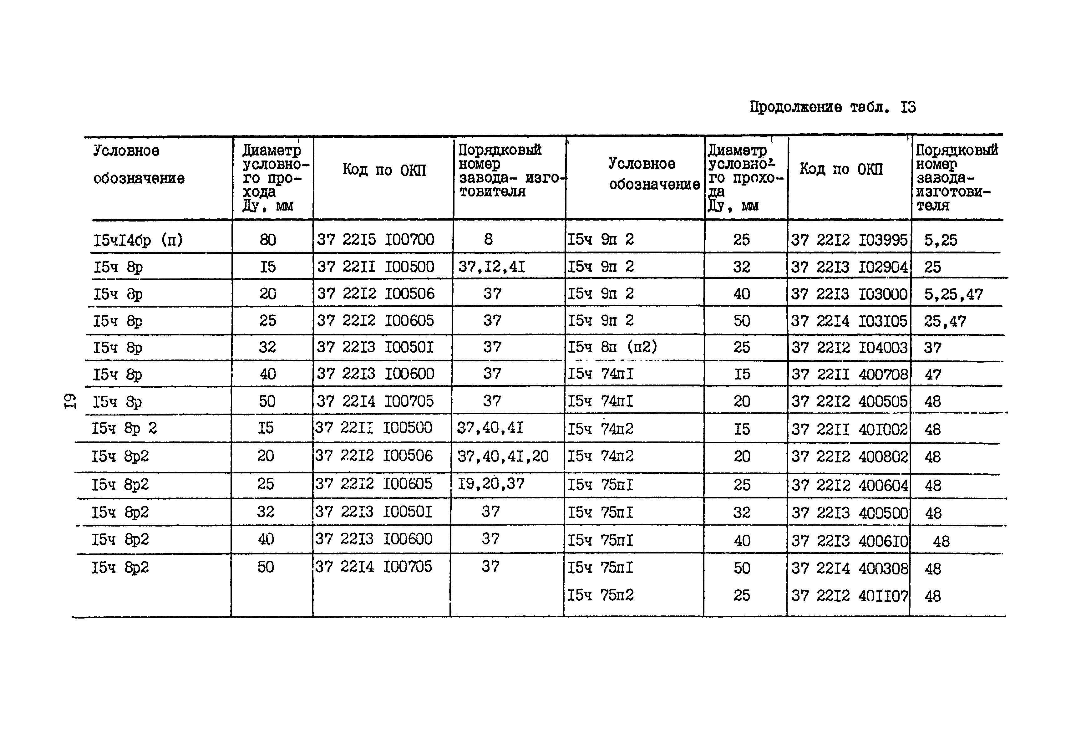
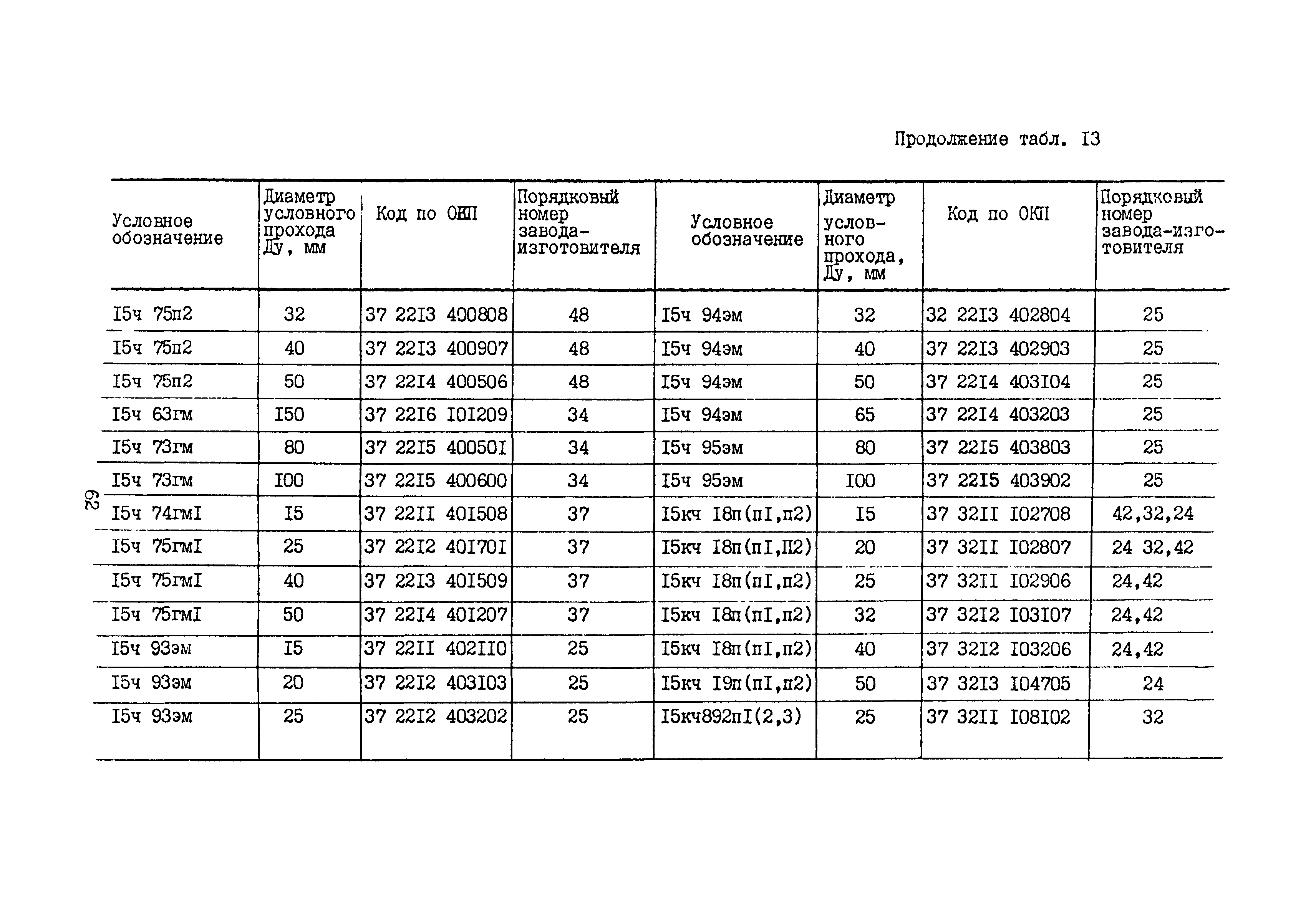
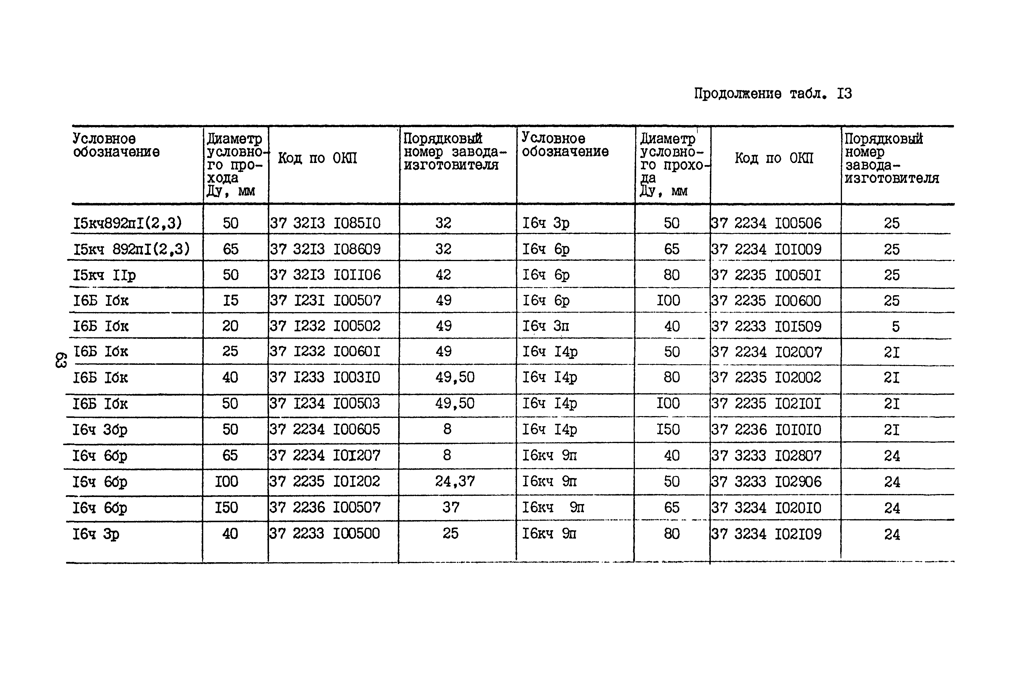
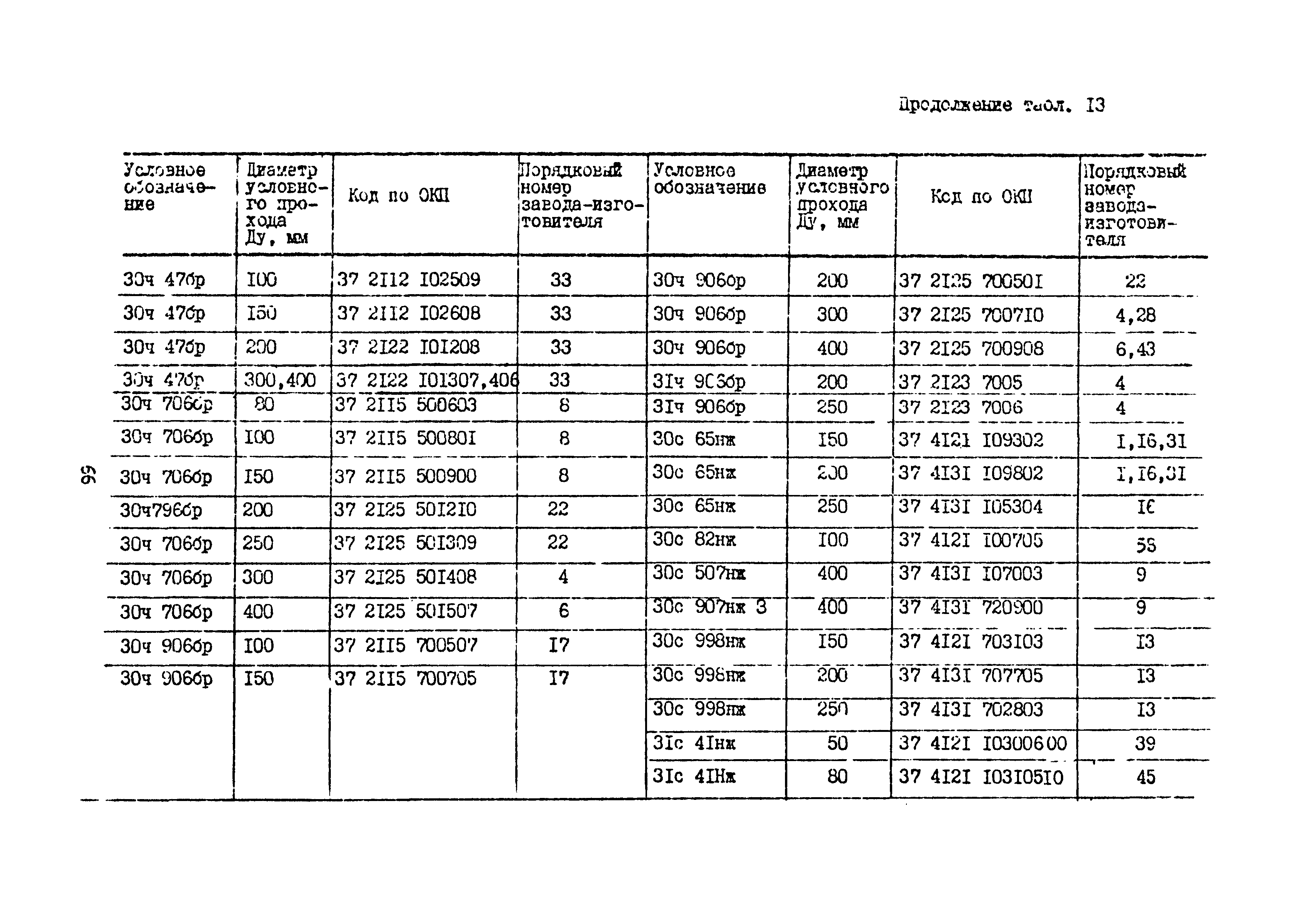
| Оглавление: | 1. Общие положения 2. Рекомендации по выбору запорной трубопроводной арматуры для систем отопления и теплоснабжения вентиляционных установок 3. Рекомендации по выбору запорной трубопроводной арматуры для внутренних систем холодного и горячего водоснабжения и бытовой канализации 4. Рекомендации по выбору запорной и регулирующей трубопроводной арматуры для производственной канализации 5. Перечень арматуры с указанием заводов-изготовителей 6. Перечень заводов-изготовителей арматуры |
| Разработан: | ГПИ Сантехпроект Госстроя СССР |
| Утверждён: | ГПИ Сантехпроект |
| Список изменений: | |
| Заменяет собой: |










































































Текстовое изменение опечатки