Скачать ГОСТ IEC/TR 60825-9-2013 Безопасность лазерной аппаратуры. Часть 9. Компиляция максимально допустимой экспозиции некогерентного оптического излученияДата актуализации: 01.01.2021
|
| Обозначение: | ГОСТ IEC/TR 60825-9-2013 |
| Обозначение англ: | 60825-9-2013 |
| Статус: | введен впервые |
| Название рус.: | Безопасность лазерной аппаратуры. Часть 9. Компиляция максимально допустимой экспозиции некогерентного оптического излучения |
| Название англ.: | Safety of laser products. Part 9. Compilation of maximum permissible exposure to incoherent optical radiation |
| Дата добавления в базу: | 01.10.2014 |
| Дата актуализации: | 01.01.2021 |
| Дата введения: | 01.07.2014 |
| Область применения: | Стандарт приводит в соответствие действие значений максимально допустимой экспозиции для экспозиции некогерентного оптического излучения от искусственных источников на глаз человека или его кожу в диапазоне длин волн от 180 до 3000 нм с предельным согласованием. Эти величины базируются на доступной экспериментально изученной информации и могут использоваться только как инструкция при контроле экспозиции излучения искусственных источников, и не будут рассматриваться как линейный процесс между безопасностью и опасными уровнями. |
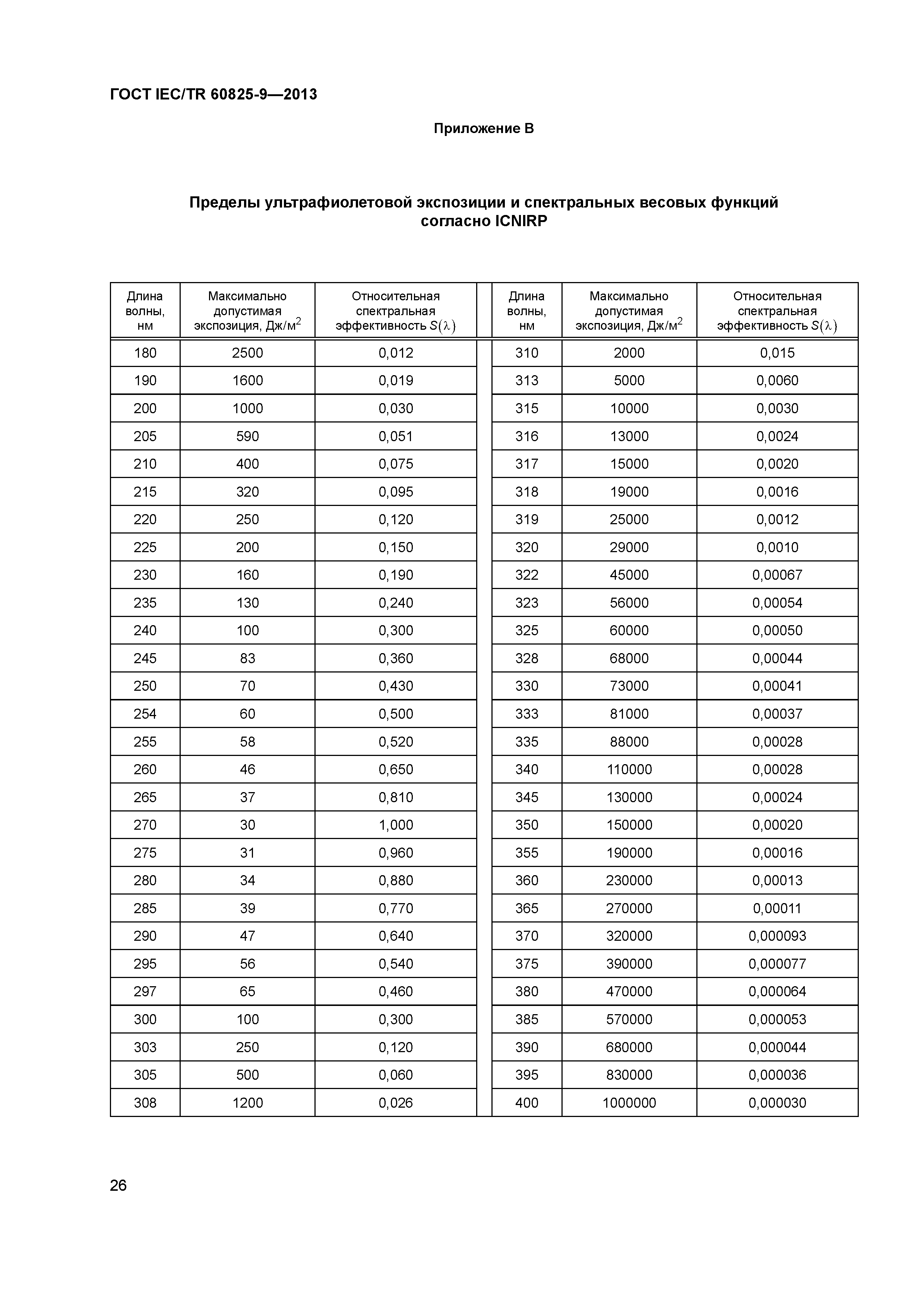
| Оглавление: | 1 Область применения 2 Нормативные ссылки 3 Определения 4 Максимально допустимая экспозиция 4.1 Общие замечания 4.2 Измерительная апертура 4.3 Диаметр зрачка 4.4 Повторяющиеся импульсы, модулированное или сканирующее излучение 4.5 Угловой размер источника 4.6 Временная база 4.7 Энергетическая яркость и энергетическая освещенность 4.8 Максимально допустимая экспозиция для глаза 4.9 Максимально допустимая экспозиция для кожи 4.9.2 Видимый и инфракрасный спектральные диапазоны 4.10 Световые величины 5. Измерения 5.1 Условия измерений 5.2 Методы измерений Приложение А Спектральные функции опасности синего света и тепловой опасности для сетчатки согласно ICNIRP Приложение В Пределы ультрафиолетовой экспозиции и спектральных весовых функций согласно ICNIRP Приложение С Относительная спектральная световая эффективность согласно МЭК Приложение D (справочное) Спектр действия Приложение ДА Сведения о соответствии межгосударственных стандартов ссылочным международным стандартам (международным документам) Библиография |
| Разработан: | АНО НТЦ СЭ ИСЭП |
| Утверждён: | 07.06.2013 Межгосударственный Совет по стандартизации, метрологии и сертификации (Inter-Governmental Council on Standardization, Metrology, and Certification 43-2013) 08.11.2013 Федеральное агентство по техническому регулированию и метрологии (1408-ст) |
| Издан: | Стандартинформ (2014 г. ) |



































