Скачать ГОСТ Р 55703-2013 Источники света электрические. Методы измерений спектральных и цветовых характеристикДата актуализации: 01.01.2021
|
| Обозначение: | ГОСТ Р 55703-2013 |
| Обозначение англ: | GOST R 55703-2013 |
| Статус: | введен впервые |
| Название рус.: | Источники света электрические. Методы измерений спектральных и цветовых характеристик |
| Название англ.: | Electric light sources. Methods of measuring spectral and colour characteristics |
| Дата добавления в базу: | 12.02.2016 |
| Дата актуализации: | 01.01.2021 |
| Дата введения: | 01.07.2014 |
| Область применения: | Стандарт распространяется на электрические источники света: лампы накаливания, разрядные и светодиодные, светодиодные модули и светодиоды, имеющие сплошной, линейчатый или смешанный спектры излучения и устанавливает методы измерений спектральных и цветовых характеристик. |
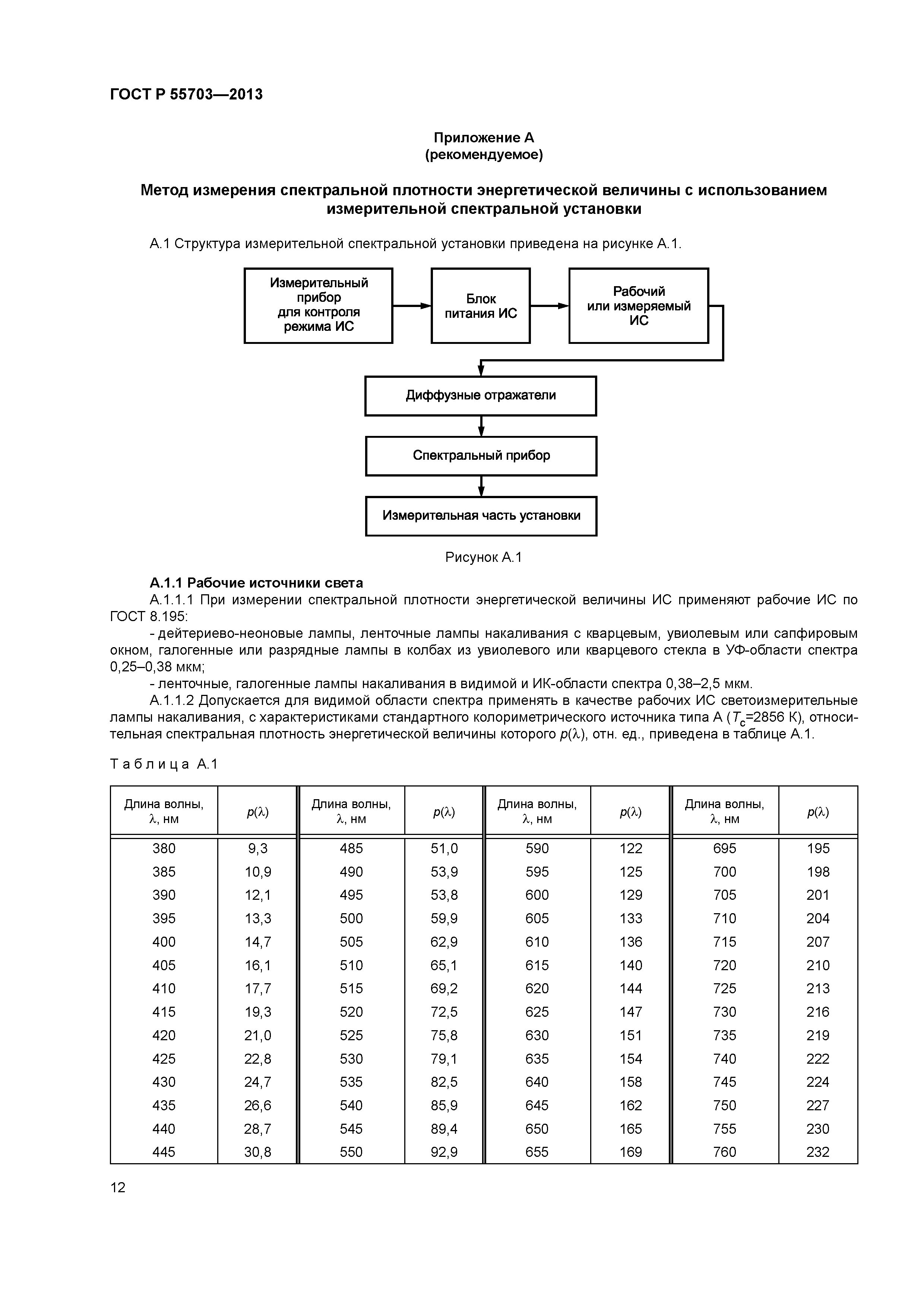
| Оглавление: | 1 Область применения 2 Нормативные ссылки 3 Термины и определения 4 Общие требования к проведению измерений 5 Методы измерения спектральной плотности энергетической величины 6 Методы определения координат цветности 7 Метод контрольных цветов для оценки цветопередачи 8 Спектрозональный метод оценки цветопередачи 9 Метод определения содержания красного излучения 10 Метод измерения коррелированной цветовой температуры 11 Метод определения доминирующей длины волны и чистоты цвета Приложение А (рекомендуемое) Метод измерения спектральной плотности энергетической величины с использованием измерительной спектральной установки Приложение Б (рекомендуемое) Метод определения погрешности измерения спектральных характеристик источников света Приложение В (обязательное) Значения ординат кривых сложения цветов в системе МКО 1931 г. Приложение Г (рекомендуемое) Типы светофильтров, применяемых для определения координат цветности методом фотоэлектрической колориметрии Приложение Д (рекомендуемое) Метод определения погрешности измерений цветовых характеристик источников света Приложение Е (рекомендуемое) Метод контрольных цветов для оценки цветопередачи Приложение Ж (рекомендуемое) Метод определения доли постороннего рассеянного света в спектральном приборе Приложение И (рекомендуемое) Метод проверки линейности световой характеристики измерительной части спектральной установки Приложение К (справочное) Метод определения числа делений барабана длин волн, соответствующего смещению спектра в плоскости щели на 1 мм (dn/dl) Библиография |
| Разработан: | ГУП Республики Мордовия НИИИС им. А.Н. Лодыгина |
| Утверждён: | 08.11.2013 Федеральное агентство по техническому регулированию и метрологии (1357-ст) |
| Издан: | Стандартинформ (2015 г. ) |
| Нормативные ссылки: |
|
























































