Скачать ГОСТ Р ИСО 22745-11-2013 Системы промышленной автоматизации и интеграция. Открытые технические словари и их применение к основным данным. Часть 11. Руководящие принципы по формулированию терминологииДата актуализации: 01.01.2021
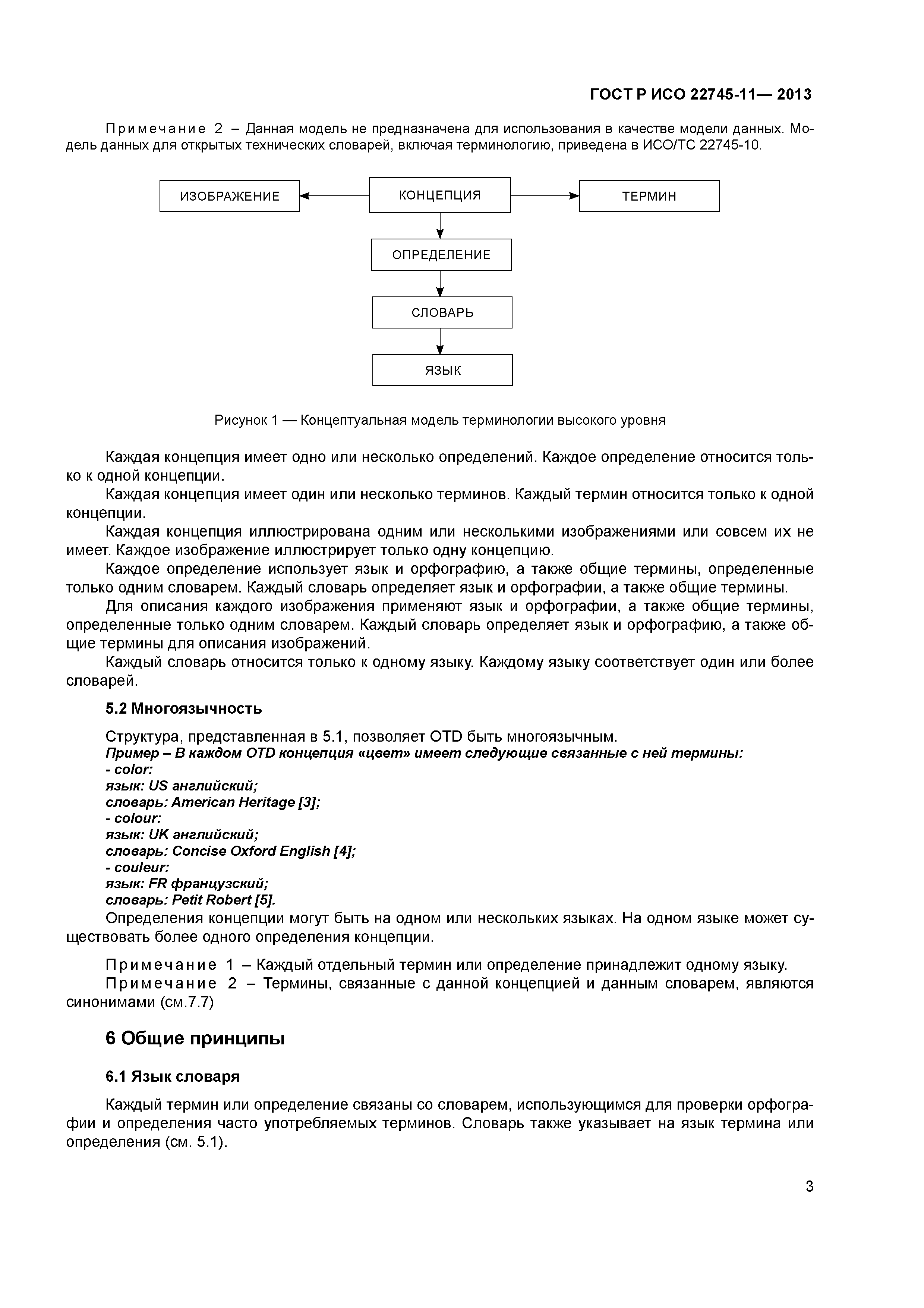
|
| Обозначение: | ГОСТ Р ИСО 22745-11-2013 |
| Обозначение англ: | GOST R ISO 22745-11-2013 |
| Статус: | отменен |
| Название рус.: | Системы промышленной автоматизации и интеграция. Открытые технические словари и их применение к основным данным. Часть 11. Руководящие принципы по формулированию терминологии |
| Название англ.: | Industrial automation systems and integration. Open technical dictionaries and their application to master data. Part 11. Guidelines for the formulation of terminology |
| Дата добавления в базу: | 21.05.2015 |
| Дата актуализации: | 01.01.2021 |
| Дата введения: | 01.07.2014 |
| Дата окончания срока действия: | 01.10.2018 |
| Область применения: | Стандарт включает в себя руководящие принципы по разработке терминов и определений концепций открытого технического словаря (OTD). В стандарте применена терминология, стандартизованная в процессе разработки и обслуживания OTD. Данная терминология не соответствует терминологии, полученной от координирующих организаций, поскольку они стандартизировали терминологию до ее включения в OТD. Стандарт распространяется на: - общие принципы; - руководящие принципы формулирования терминов на английском языке; - руководящие принципы формулирования определений на английском языке; - класс; - свойство; - особенность; - способ представления; - единицу измерений; - спецификатор измерения; - значение свойства; - применимость; - тип данных. Стандарт не распространяется на: - идентификаторы концепций, терминов, определений и изображений; - процедуры ведения и обслуживания OTD. |
| Оглавление: | 1 Область применения 2 Нормативные ссылки 3 Термины и определения 4 Сокращения 5 Основополагающие концепции и предположения 6 Общие принципы 7 Руководящие принципы формулирования терминов на английском языке 8 Руководящие принципы формулирования определений на английском языке 9 Требования соответствия 10 Ограничение терминологии Приложение А (обязательное) Идентификация документа Приложение В (справочное) Дополнительная информация по реализации Приложение С (справочное) Представление разграничения данных Приложение ДА (справочное) Сведения о соответствии ссылочных международных стандартов национальным стандартам Российской Федерации Библиография |
| Разработан: | ФБУ ФЦК |
| Утверждён: | 22.11.2013 Федеральное агентство по техническому регулированию и метрологии (1618-ст) |
| Издан: | Стандартинформ (2014 г. ) |
| Заменяет собой: | |
| Нормативные ссылки: |



























