Скачать ГОСТ Р ИСО 22745-20-2013 Системы промышленной автоматизации и интеграция. Открытые технические словари и их применение к основным данным. Часть 20. Процедуры технического обслуживания открытого технического словаряДата актуализации: 01.01.2021
|
| Обозначение: | ГОСТ Р ИСО 22745-20-2013 |
| Обозначение англ: | GOST R ISO 22745-20-2013 |
| Статус: | отменен |
| Название рус.: | Системы промышленной автоматизации и интеграция. Открытые технические словари и их применение к основным данным. Часть 20. Процедуры технического обслуживания открытого технического словаря |
| Название англ.: | Industrial automation systems and integration. Open technical dictionaries and their application to master data. Part 20. Procedures for the maintenance of an open technical dictionary |
| Дата добавления в базу: | 01.10.2014 |
| Дата актуализации: | 01.01.2021 |
| Дата введения: | 01.07.2014 |
| Дата окончания срока действия: | 01.09.2019 |
| Область применения: | Стандарт описывает процедуры и методы обслуживания открытого технического словаря (OTD). Стандарт применяется при использовании словарей концепций, терминологию которых представляют координирующие организации, стандартизирующие термины до их представления в организацию, обслуживающую словарь. Стандарт распространяется на: - структуру организации, обеспечивающей ведение и обслуживание OTD; - правила выпуска OTD; - процедуру добавления концепции в OTD; - процедуру изменения документации на концепцию в рамках OTD. Стандарт не распространяется на: - процедуру стандартизации терминов, используемых в словаре концепций. - процедуру согласования концепций и терминологии. - правила и синтаксис для идентификаторов, - процедуры управления отношениями между концепциями. - процедуры управления руководствами по идентификации. |
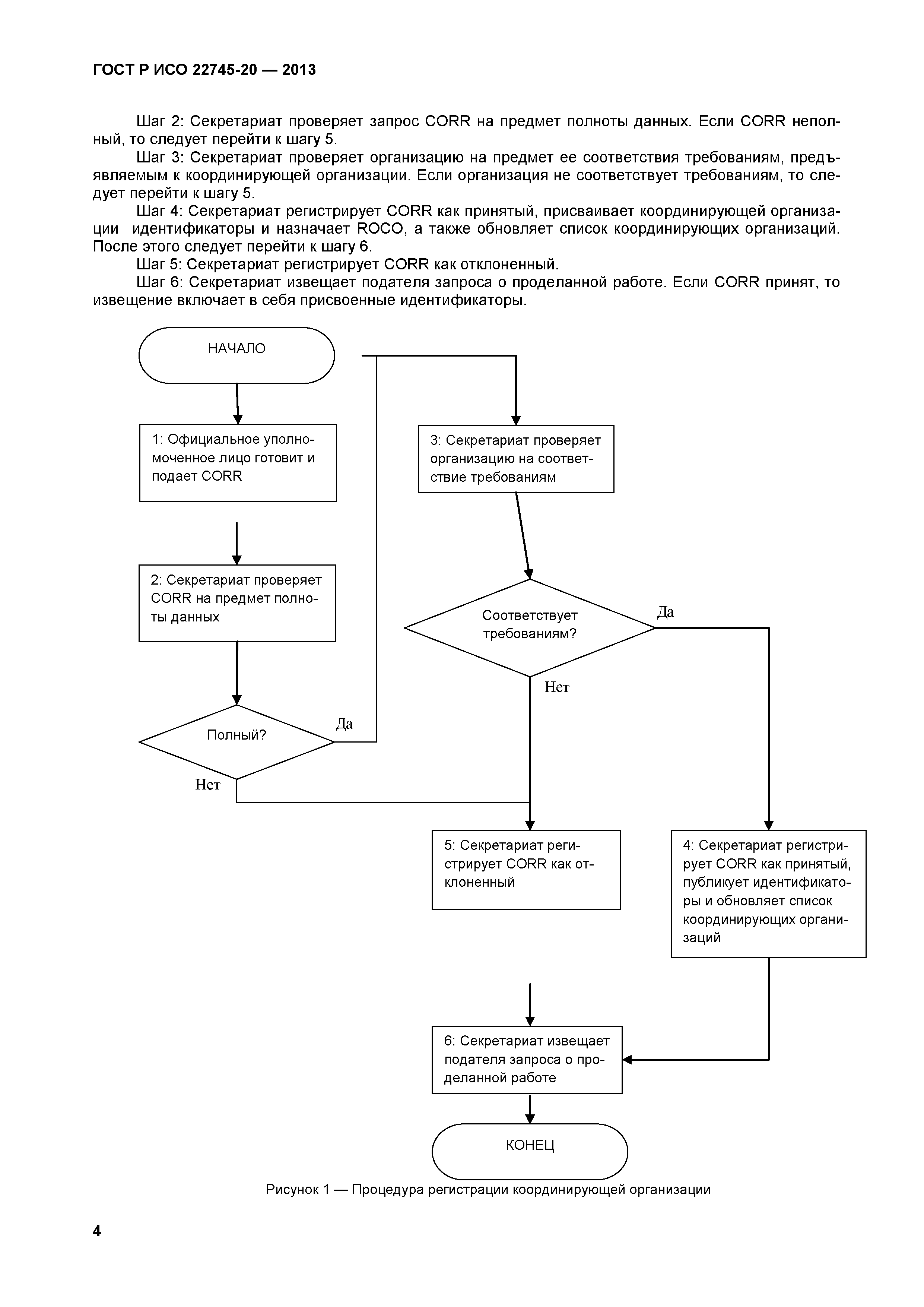
| Оглавление: | 1 Область применения 2 Нормативные ссылки 3 Термины и определения 4 Сокращения 5 Организация по обслуживанию словаря (DMO) 6 Выпуск OTD 7 Процедуры 8 Управление OTD Приложение А (обязательное) Идентификация документа Приложение В (справочное) Дополнительная информация по реализации Приложение С (справочное) Сценарии Приложение D (справочное) Руководство по применению Приложение ДА (справочное) Сведения о соответствии ссылочного международного стандарта национальному стандарту Российской Федерации Библиография |
| Разработан: | ФБУ ФЦК |
| Утверждён: | 22.11.2013 Федеральное агентство по техническому регулированию и метрологии (1619-ст) |
| Издан: | Стандартинформ (2014 г. ) |
| Заменяет собой: | |
| Нормативные ссылки: |


























