Скачать ГОСТ Р 55695-2013 Телевидение вещательное цифровое. Обеспечение скремблирования и ограничения доступа в системах цифрового телевизионного вещания. Основные параметрыДата актуализации: 01.01.2021
|
| Обозначение: | ГОСТ Р 55695-2013 |
| Обозначение англ: | GOST R 55695-2013 |
| Статус: | введен впервые |
| Название рус.: | Телевидение вещательное цифровое. Обеспечение скремблирования и ограничения доступа в системах цифрового телевизионного вещания. Основные параметры |
| Название англ.: | Digital video broadcasting. Scrambling and access restriction for digital television broadcasting systems. Basic parameters |
| Дата добавления в базу: | 01.10.2014 |
| Дата актуализации: | 01.01.2021 |
| Дата введения: | 01.09.2014 |
| Область применения: | Стандарт распространяется на системы ограничения доступа, применяемые на сетях цифрового телевизионного вещания: спутниковых, эфирных и кабельных. |
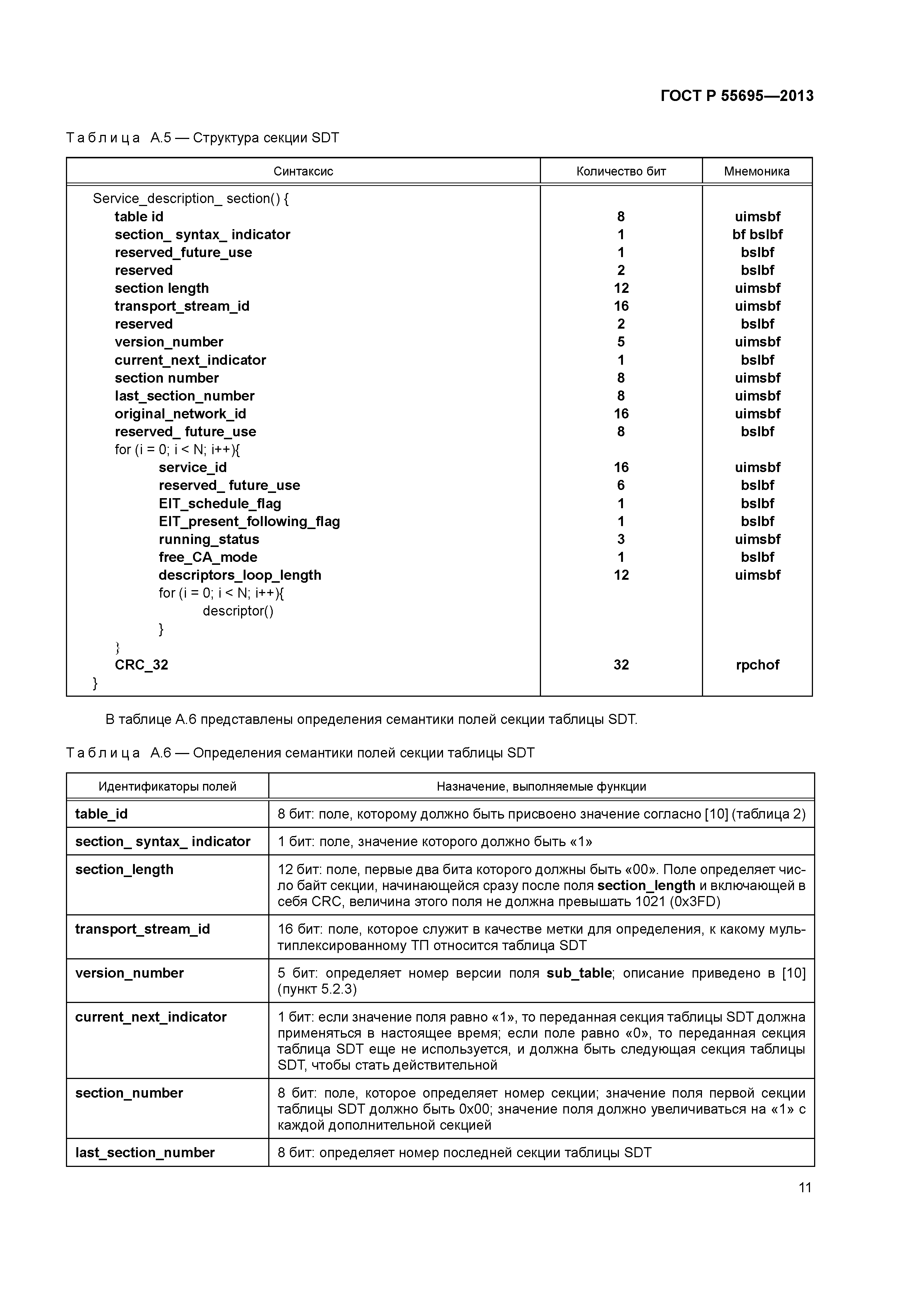
| Оглавление: | 1 Область применения 2 Нормативные ссылки 3 Термины, определения и сокращения 4 Основные параметры оборудования систем ограничения доступа к информации, передаваемой по сетям цифрового телевизионного вещания (ЦВТ) Приложение А (справочное) Основные параметры PS/SI таблиц, содержащих информацию о системе ограничения доступом, дескриптор ограничения доступа Приложение Б (обязательное) Правила скремблирования транспортного потока и формирования слова управления Библиография |
| Разработан: | ФГУП НИИР |
| Утверждён: | 08.11.2013 Федеральное агентство по техническому регулированию и метрологии (1336-ст) |
| Издан: | Стандартинформ (2014 г. ) Стандартинформ (2019 г. ) |
| Нормативные ссылки: |
|


















