Скачать ГОСТ 32406-2013 Инструмент алмазный и из кубического нитрида бора. Требования безопасностиДата актуализации: 01.01.2021
|
| Обозначение: | ГОСТ 32406-2013 |
| Обозначение англ: | GOST 32406-2013 |
| Статус: | введен впервые |
| Название рус.: | Инструмент алмазный и из кубического нитрида бора. Требования безопасности |
| Название англ.: | Diamond and cubic boron nitride tools. Safety requirements |
| Дата добавления в базу: | 01.10.2014 |
| Дата актуализации: | 01.01.2021 |
| Дата введения: | 01.01.2015 |
| Область применения: | Стандарт распространяется на алмазные и из кубического нитрида бора шлифовальные круги на керамической (V), органической (В), металлической (М), гальванической (G) связках, отрезные круги на органической (В), металлической (М), гальванической (G) связках, а также алмазные шлифовальные головки на керамической (V), органической (В), металлической (М) связках. |
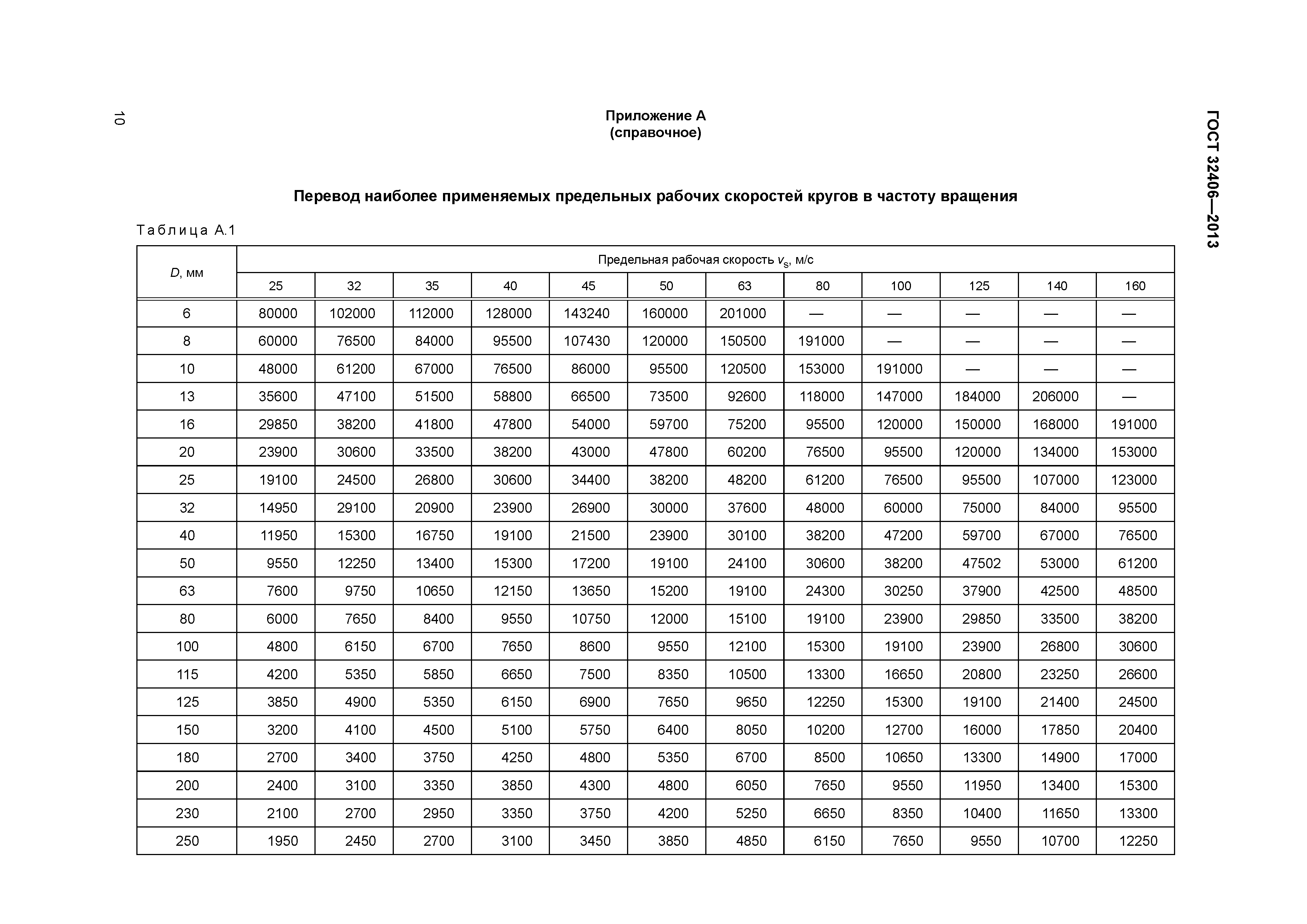
| Оглавление: | 1 Область применения 2 Нормативные ссылки 3 Термины и определения 4 Перечень опасностей 5 Требования безопасности и меры защиты 6 Проверка соответствия требований безопасности 7 Информация для потребителя Приложение А (справочное) Перевод наиболее применяемых предельных рабочих скоростей кругов в частоту вращения |
| Разработан: | ФГУП ВНИИНМАШ |
| Утверждён: | 05.11.2013 Межгосударственный Совет по стандартизации, метрологии и сертификации (Inter-Governmental Council on Standardization, Metrology, and Certification 61-П) 12.02.2014 Федеральное агентство по техническому регулированию и метрологии (22-ст) |
| Издан: | Стандартинформ (2014 г. ) |
| Список изменений: |
|
| Нормативные ссылки: |
|

















Текстовое изменение Поправка от 20.02.2016