Скачать ГОСТ Р 55940-2014 Телевидение вещательное цифровое. Расширенные технические требования к общему интерфейсу в системах ограничения доступа. Основные параметры. Часть 1Дата актуализации: 01.01.2021
|
| Обозначение: | ГОСТ Р 55940-2014 |
| Обозначение англ: | GOST R 55940-2014 |
| Статус: | введен впервые |
| Название рус.: | Телевидение вещательное цифровое. Расширенные технические требования к общему интерфейсу в системах ограничения доступа. Основные параметры. Часть 1 |
| Название англ.: | Digital video broadcasting LVD. Advanced technical requirements for a common interface of conditional access systems. Basic parameters. Part 1 |
| Дата добавления в базу: | 21.05.2015 |
| Дата актуализации: | 01.01.2021 |
| Дата введения: | 01.09.2014 |
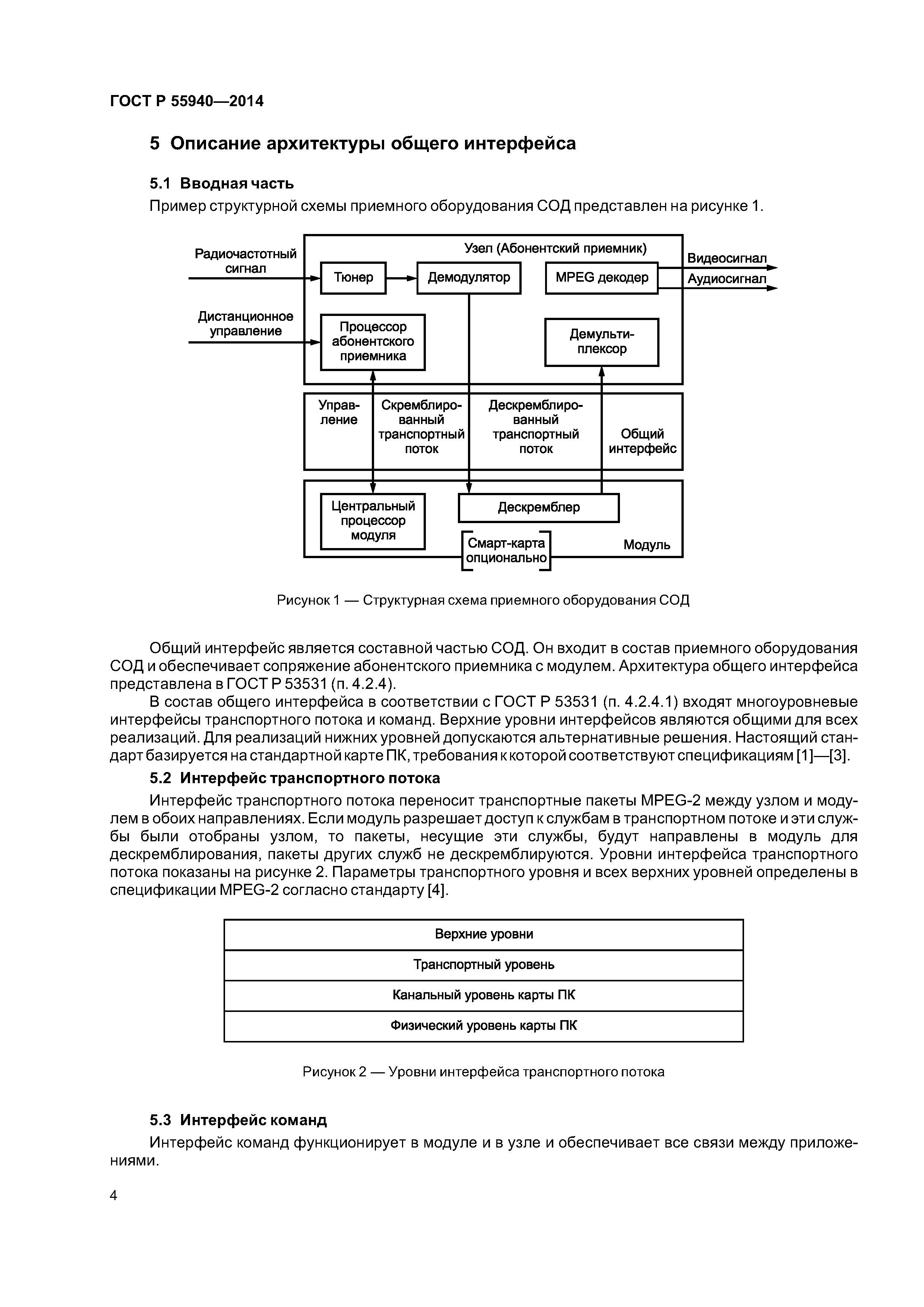
| Область применения: | Стандарт распространяется на общий интерфейс модуля, входящего в состав приемника-декодера [узла, абонентского приемника] телевизионных программ и реализующего алгоритм ограниченного [условного] доступа к программам телевизионного вещания. Общий интерфейс включает в себя интерфейс транспортного потока и интерфейс команд. Стандарт устанавливает основные параметры общего интерфейса, обеспечивающего сопряжение модуля с приемником-декодером. Стандарт позволяет унифицировать параметры модуля при работе с приемниками-декодерами независимых производителей в различных системах условного доступа. |
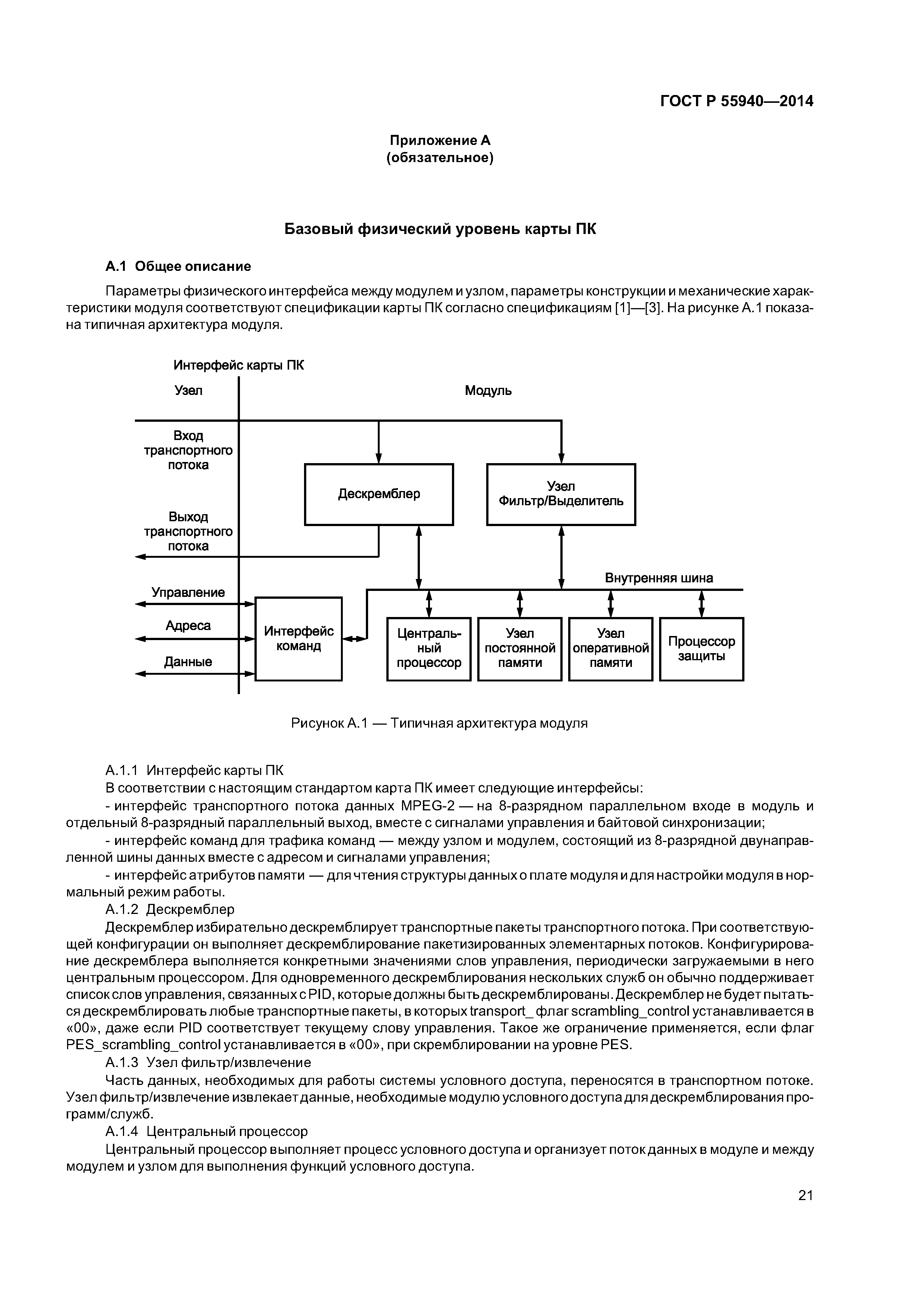
| Оглавление: | 1 Область применения 2 Нормативные ссылки 3 Термины, определения, сокращения и символы 4 Структура общего интерфейса 4.1 Структура уровней общего интерфейса 4.2 Физическая реализация 4.3 Клиент-сервер 4.4 Кодирование данных 4.5 Расширяемость 4.6 Использование существующих стандартов 5 Описание архитектуры общего интерфейса 5.1 Вводная часть 5.2 Интерфейс транспортного потока 5.3 Интерфейс команд 5.4 Требования к физическому уровню 6 Интерфейс транспортного потока (ТSI) 6.1 Физический и канальный уровни интерфейса транспортного потока 6.2 Транспортный уровень интерфейса транспортного потока 6.3 Верхние уровни интерфейса транспортного потока 7 Интерфейс команд — уровни транспортные и сеансовые 7.1 Основной транспортный уровень 7.2 Уровень сеанса 8 Интерфейс команд — уровень приложений 8.1 Введение 8.2 Ресурсы 8.3 Модули данных протокола приложения 8.4 Система управления ресурсами 8.5 Ресурсы управления узлом и информацией 8.6 Ресурс интерфейса человек— машина 8.7 Ресурсы связи 8.8 Идентификаторы ресурса и теги объекта приложения Приложение А (обязательное) Базовый физический уровень карты ПК Приложение Б (справочное) дополнительные объекты Библиография |
| Разработан: | ФГУП ордена Трудового Красного знамени НИИ радио Самарский филиал Самарское отделение НИИ радио |
| Утверждён: | 28.01.2014 Федеральное агентство по техническому регулированию и метрологии (7-ст) |
| Издан: | Стандартинформ (2015 г. ) |
| Нормативные ссылки: |
|






























