Скачать ФССЦ 02-2001 Часть 2. Строительные конструкции и изделия (редакция 2014 года). Строительные конструкции и изделия. Федеральный сборник сметных цен на материалы, изделия и конструкции, применяемые в строительствеДата актуализации: 01.01.2021
|
| Обозначение: | ФССЦ 02-2001 |
| Обозначение англ: | FSSTs 02-2001 |
| Статус: | не подлежит применению |
| Название рус.: | Часть 2. Строительные конструкции и изделия (редакция 2014 года). Строительные конструкции и изделия. Федеральный сборник сметных цен на материалы, изделия и конструкции, применяемые в строительстве |
| Дата добавления в базу: | 01.10.2014 |
| Дата актуализации: | 01.01.2021 |
| Дата введения: | 01.04.2014 |
| Дата окончания срока действия: | 28.04.2017 |
| Область применения: | Федеральные сметные цены на материалы, изделия и конструкции, применяемые в строительстве (ФССЦ) предназначены для определения сметной стоимости строительно-монтажных (ремонтно-строительных) работ, а также при разработке Федеральных единичных расценок на строительные, монтажные и ремонтно-строительные работы. |
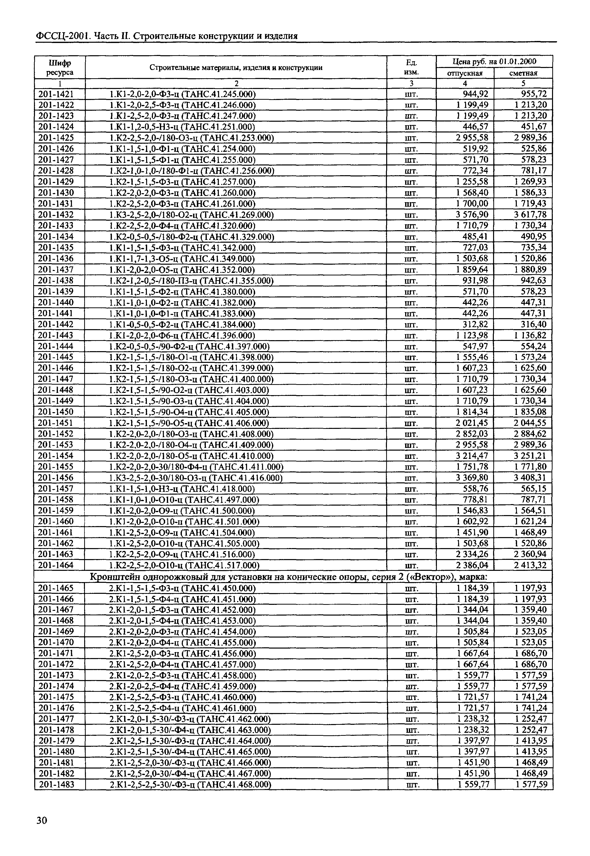
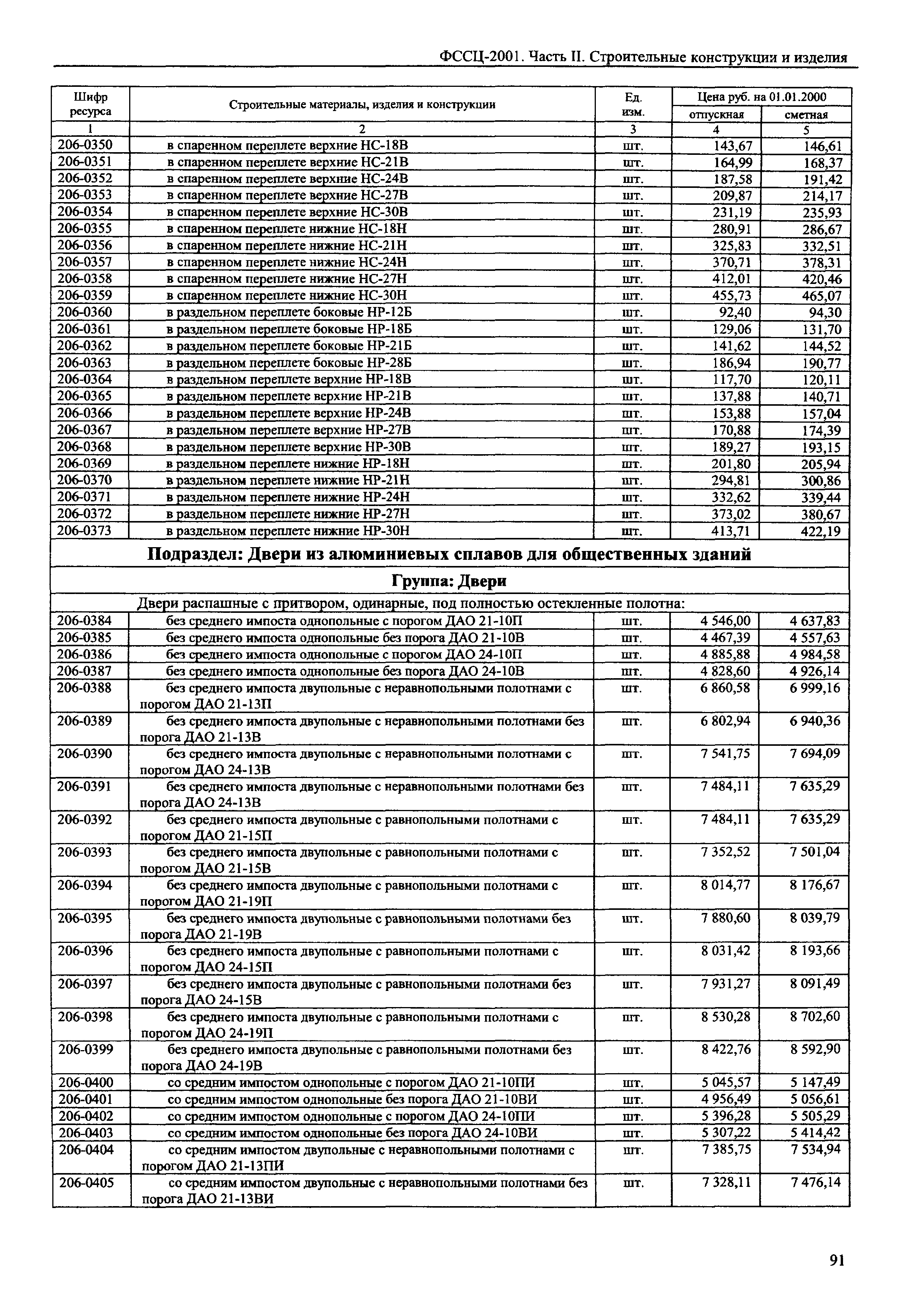
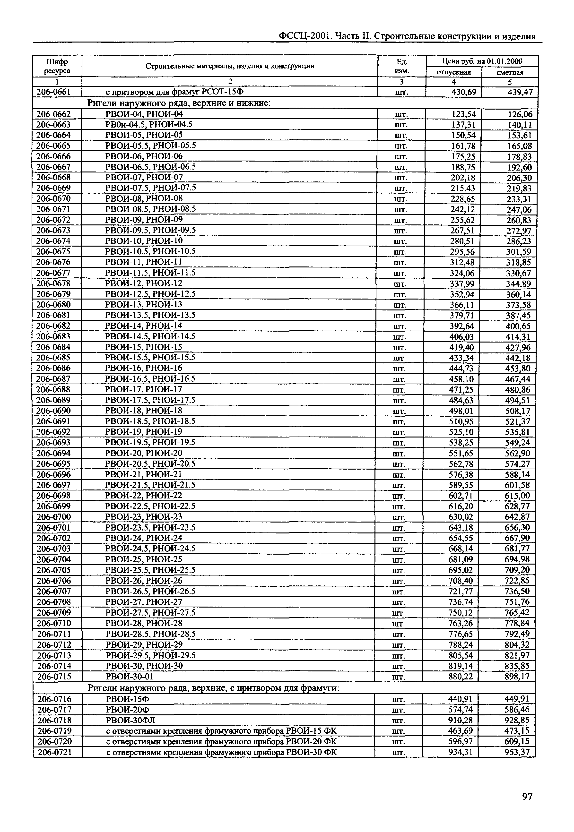
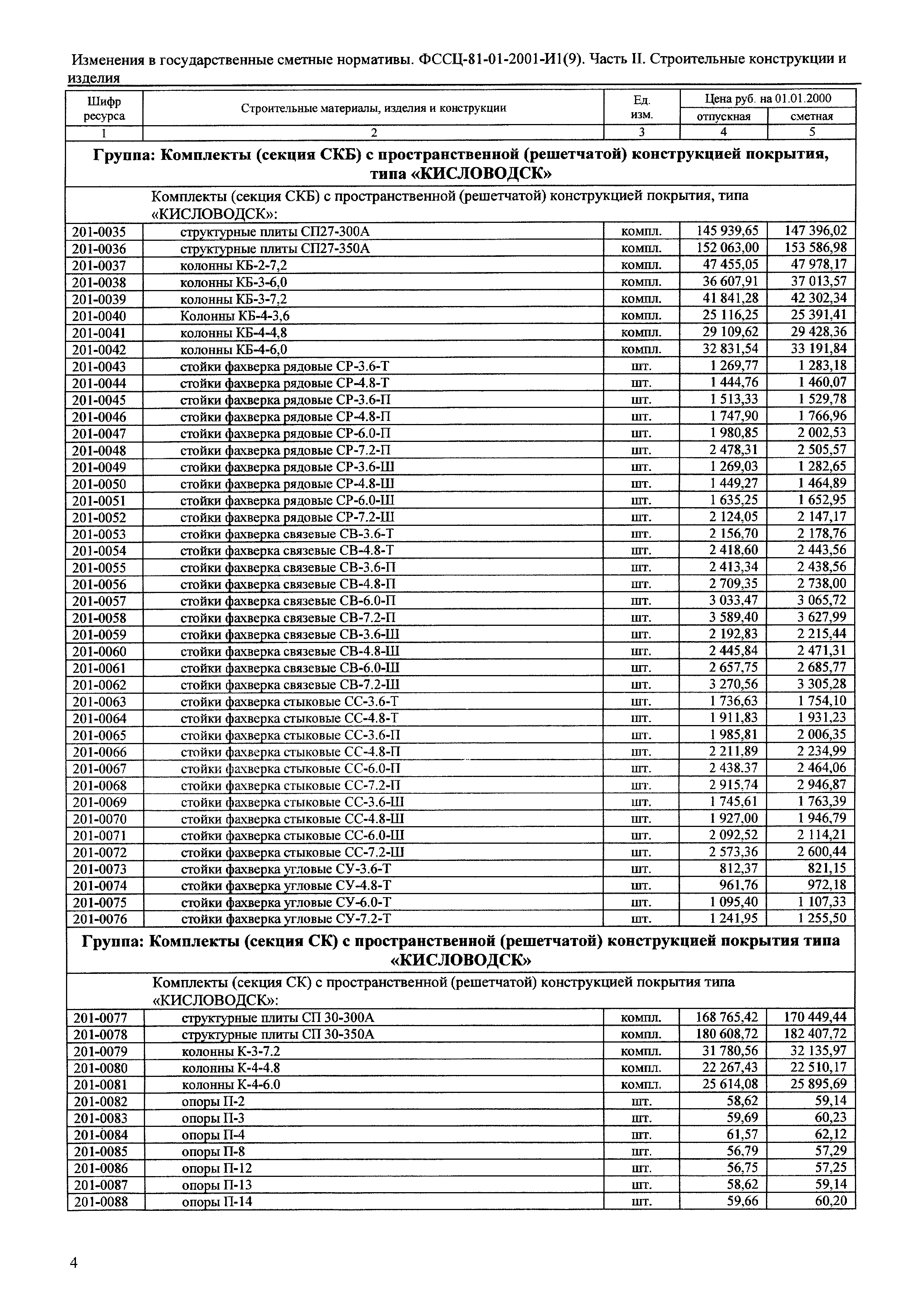
| Оглавление: | Раздел 2.01 Строительные конструкции промышленных и сельскохозяйственных зданий, сооружений и мостов Подраздел: Конструкции легкие металлические Подраздел: Конструкции ограждающие и встроенные для производственных зданий Подраздел: Резервуарные, рулонированные емкости Подраздел: Строительные стальные конструкции, изготавливаемые по индивидуальным проектам (чертежам КМ) для зданий одноэтажных производственных Подраздел: Конструкции разных сооружений Подраздел: Галереи и эстакады различного назначения Подраздел: Радио и телевизионные мачты, башни, антенные устройства Подраздел: Конструкции, заказываемые и поставляемые для комплектации объектов в виде отдельных сборочных единиц Подраздел: Элементы облицовки Раздел 2.02 Строительные конструкции гидротехнических сооружений Раздел 2.03 Деревянные конструкции и изделия Подраздел: Блоки оконные Подраздел: Блоки балконные дверные деревянные для жилых и общественных зданий Подраздел: Блоки дверные деревянные для жилых, общественных и производственных зданий Подраздел: Сборочные элементы оконных блоков Подраздел: Сборочные элементы дверных блоков Подраздел: Коробки оконные и дверные Подраздел: Детали профильные из древесных материалов для строительства Подраздел: Ворота деревянные распашные для производственных зданий и сооружений с полотнами из деревянных каркасов, с металлическими навесами и накладками, нижняя часть ворот защищена полосами из оцинкованной стали Подраздел: Конструкции деревянные клееные без металлических изделий Подраздел: Балки перекрытий деревянные, предназначенные для устройства чердачных, междуэтажных и цокольных перекрытий в одно- двухэтажных жилых и одноэтажных общественных зданиях Подраздел: Элементы и детали встроенных и антресольных шкафов каркасной конструкции для жилых зданий Подраздел: Разные изделия и конструкции Раздел 2.04 Арматура товарная для монолитных железобетонных конструкций Раздел 2.05 Литые конструкции промышленных печей и труб Раздел 2.06 Алюминиевые конструкции Подраздел: Окна и двери балконные из алюминиевых сплавов для общественных зданий Подраздел: Двери из алюминиевых сплавов для общественных зданий Подраздел: Витражи, витрины Подраздел: Тамбуры Подраздел: Панели Подраздел: Перегородки Подраздел: Потолки подвесные Подраздел: Ограждения балконов, лоджий, лестниц Подраздел: Конструкции декоративно-облицовочные Подраздел: Конструкции и изделия прочие |
| Разработан: | Федеральный центр ценообразования в строительстве и промышленности строительных материалов |
| Утверждён: | 30.01.2014 Минстрой России (Russian Federation Minstroy 31/пр) |
| Издан: | ООО Стройинформиздат (2014 г. ) |
| Список изменений: | |
| Чем заменён: | |
| Нормативные ссылки: |





















































































































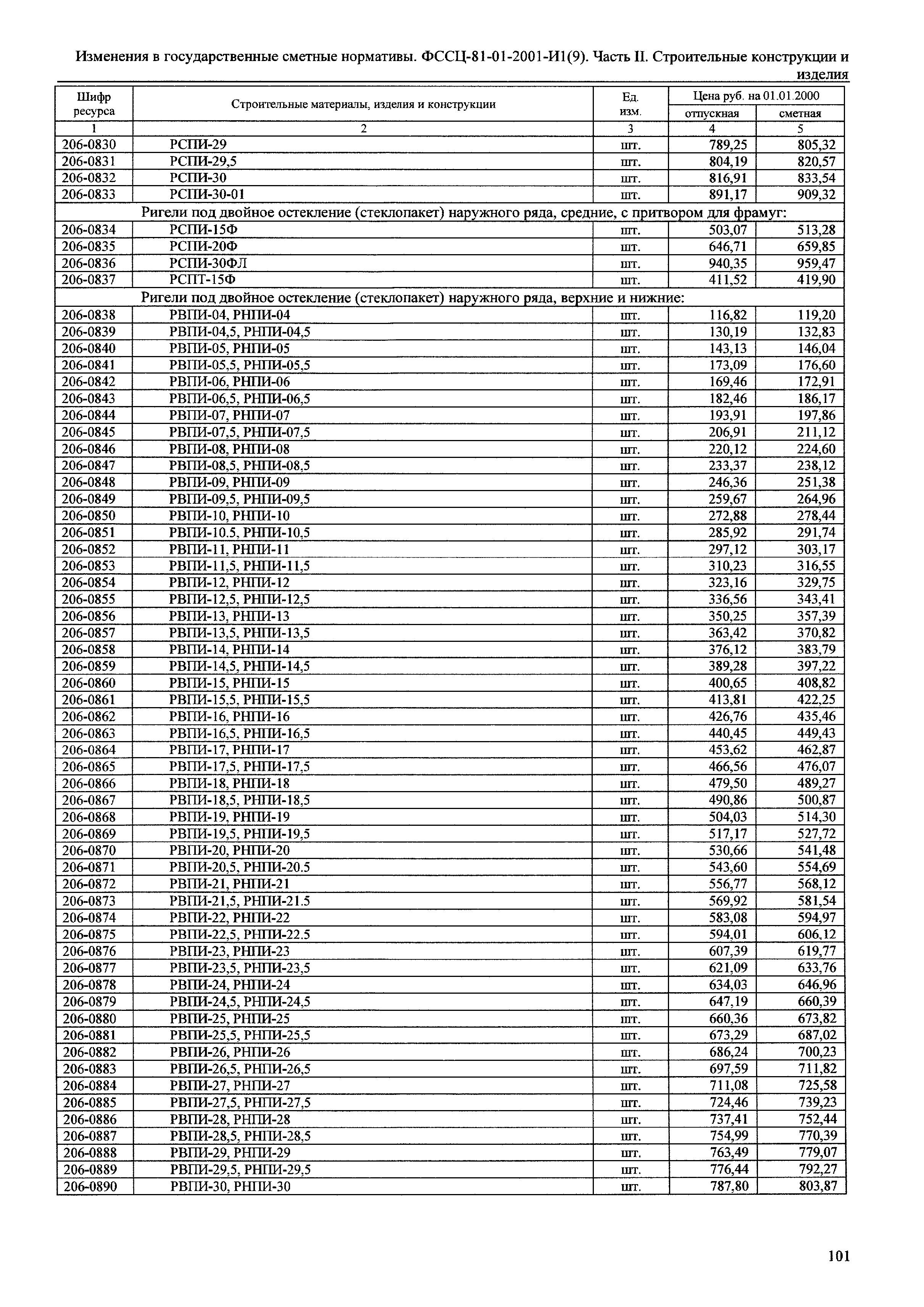
Текстовое изменение № 81-01-2001- И1(9)





















































































































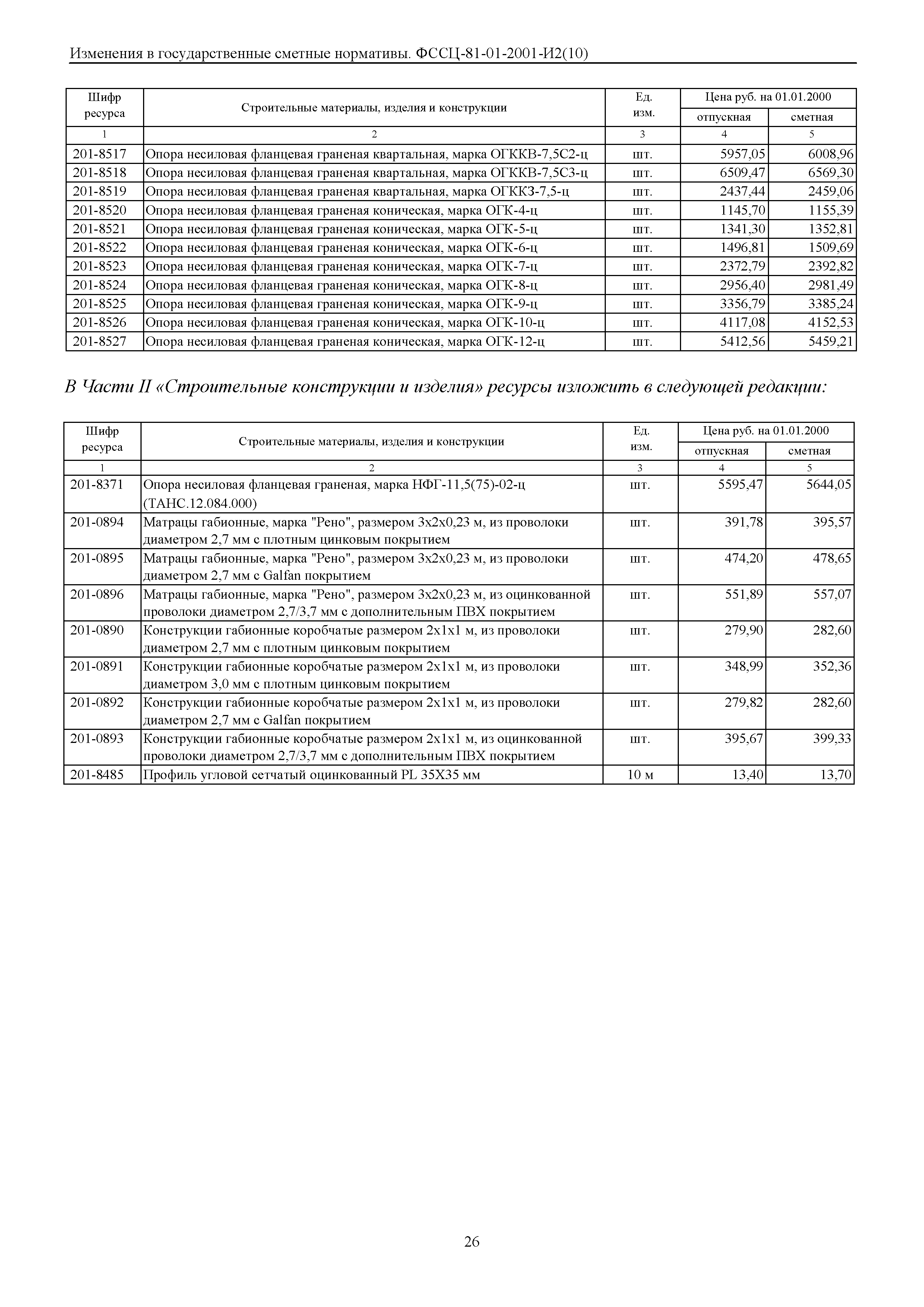
Текстовое изменение № 81-01-2001-И2(10) от 11.12.2015




