Скачать РБ 093-14 Руководство по безопасности при использовании атомной энергии Радиационные и теплофизические характеристики отработавшего ядерного топлива водо-водяных энергетических реакторов и реакторов большой мощности канальныхДата актуализации: 01.01.2021
|
| Обозначение: | РБ 093-14 |
| Обозначение англ: | RB 093-14 |
| Статус: | заменен |
| Название рус.: | Руководство по безопасности при использовании атомной энергии "Радиационные и теплофизические характеристики отработавшего ядерного топлива водо-водяных энергетических реакторов и реакторов большой мощности канальных" |
| Дата добавления в базу: | 01.10.2014 |
| Дата актуализации: | 01.01.2021 |
| Дата введения: | 26.03.2014 |
| Дата окончания срока действия: | 11.03.2020 |
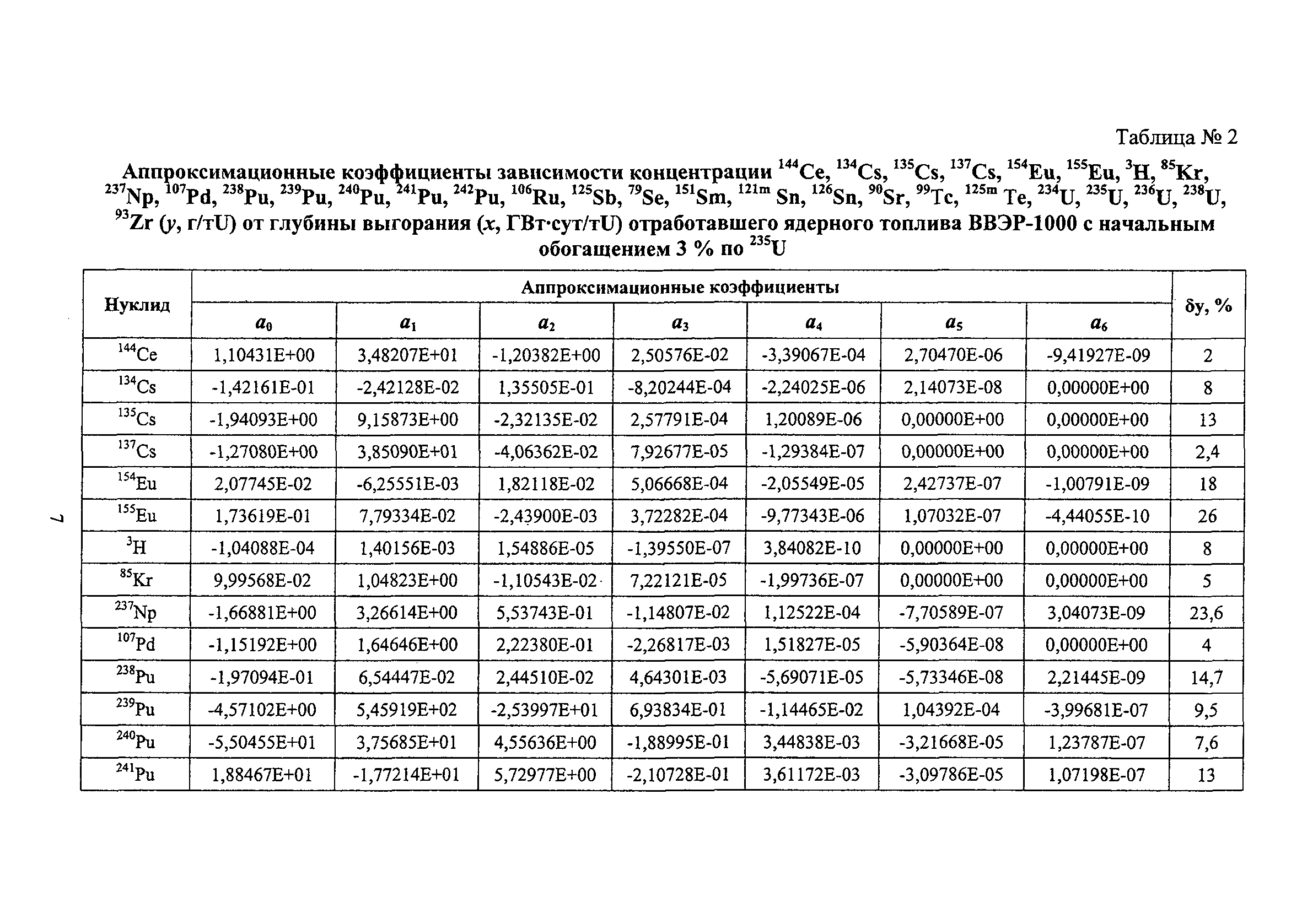
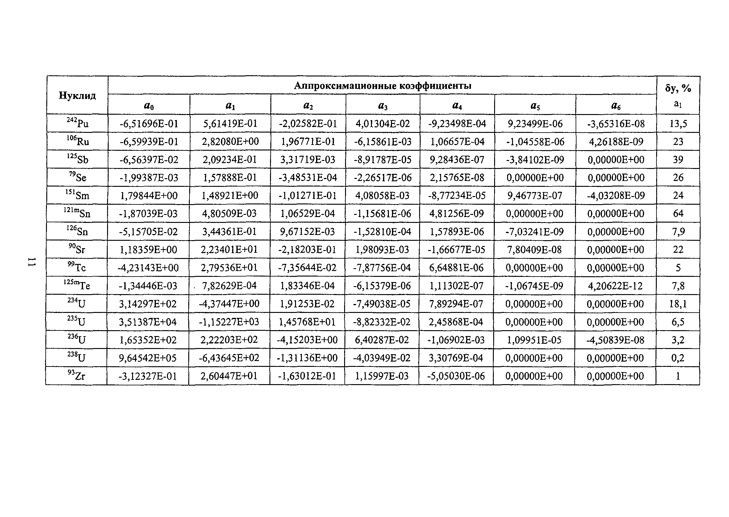
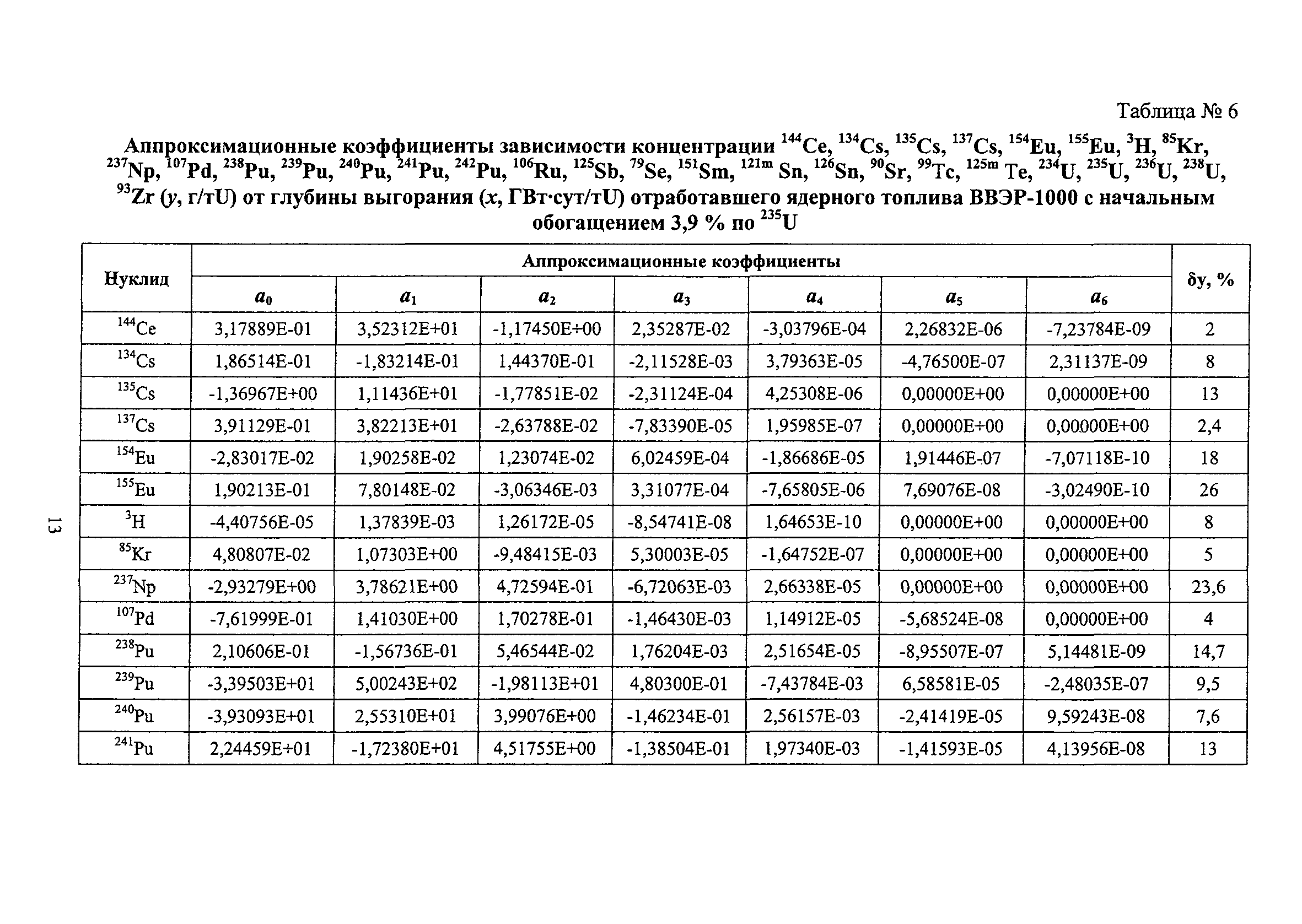
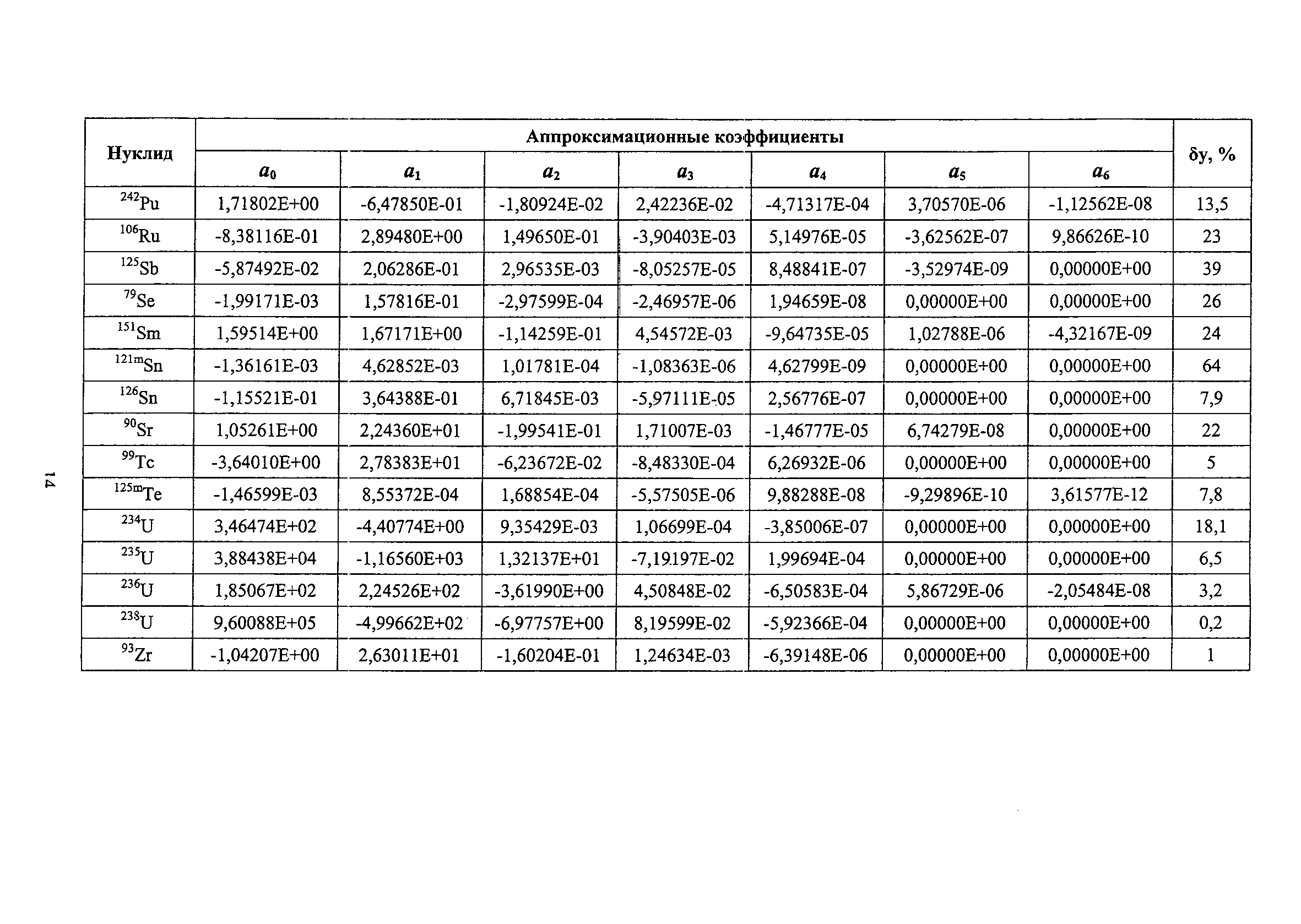
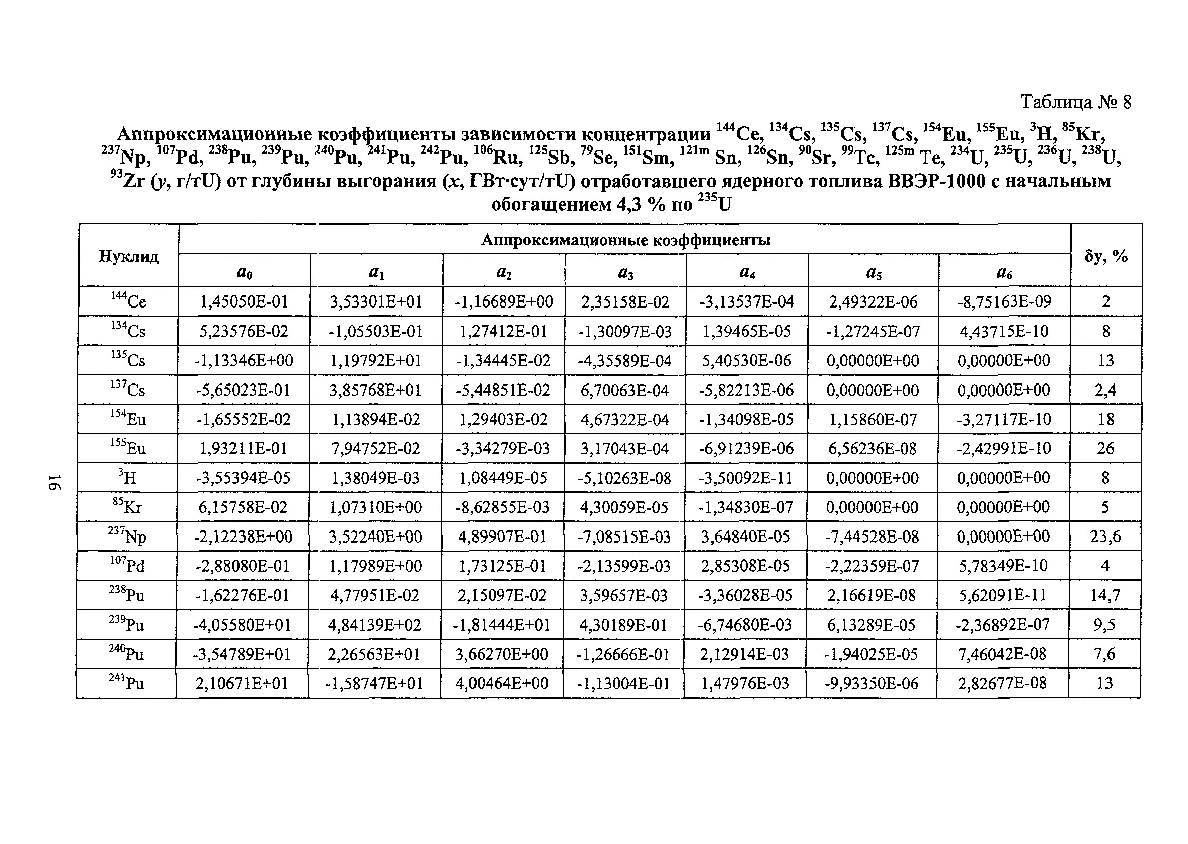
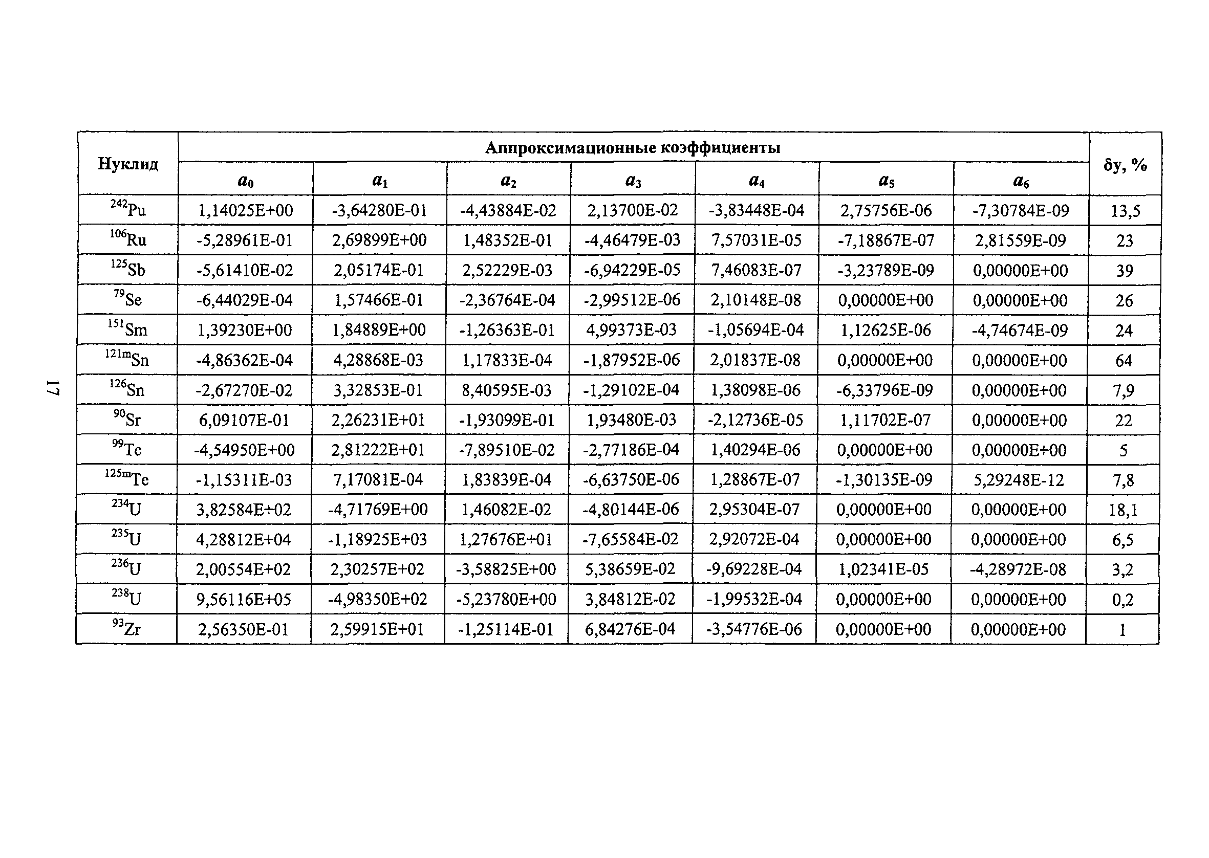
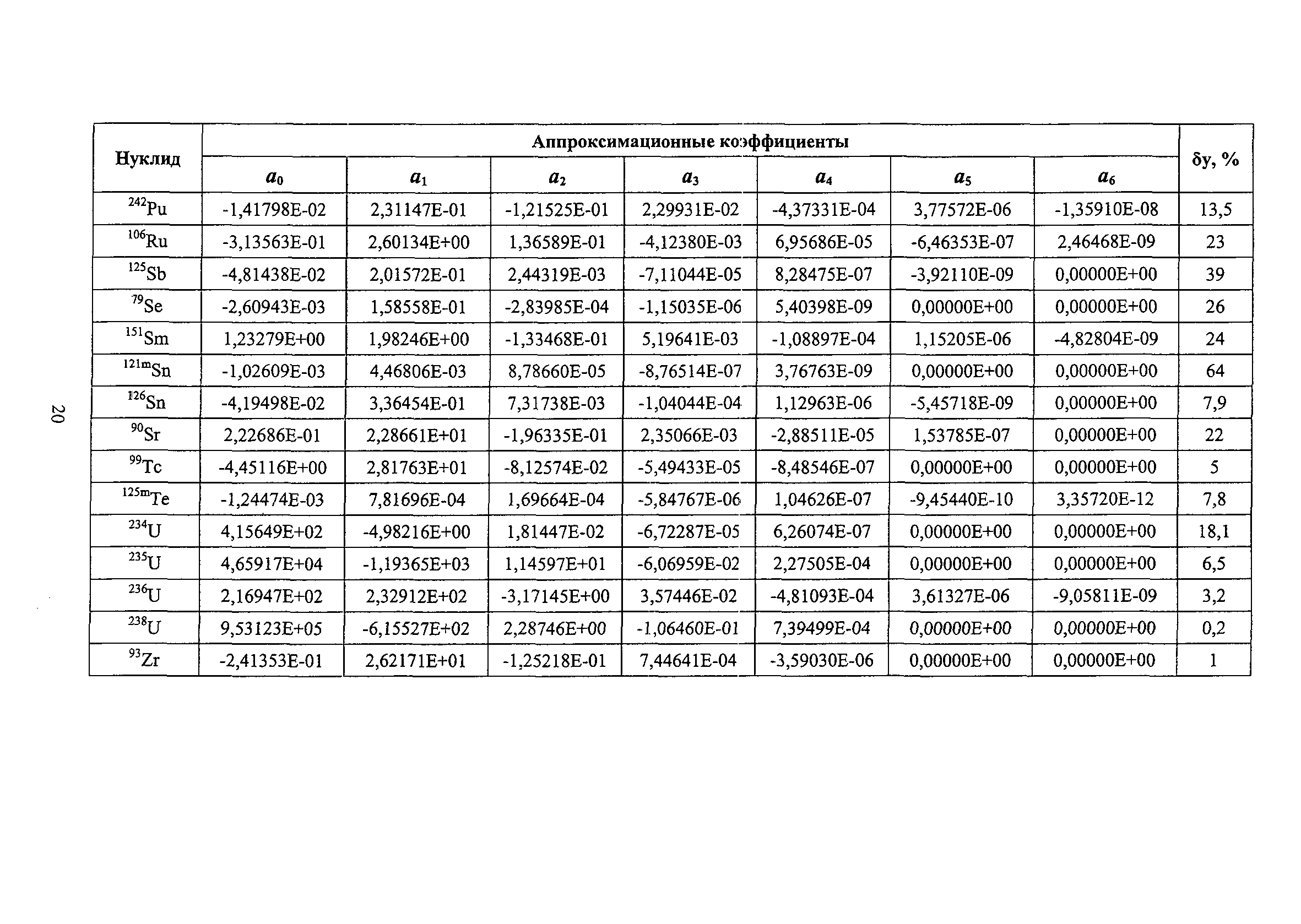
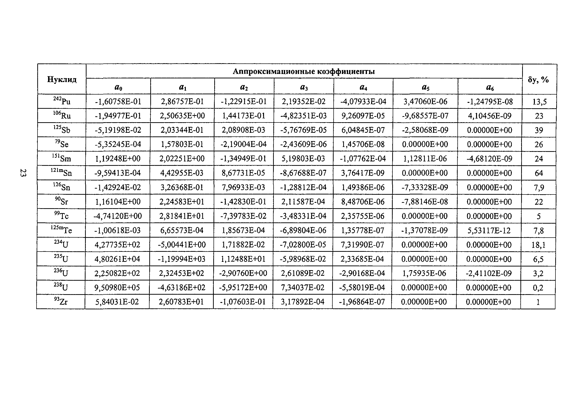
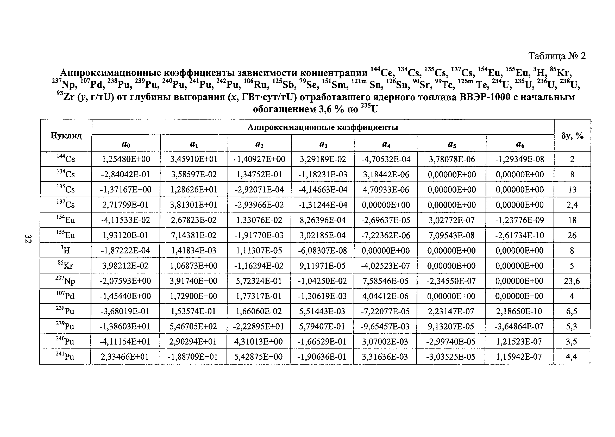
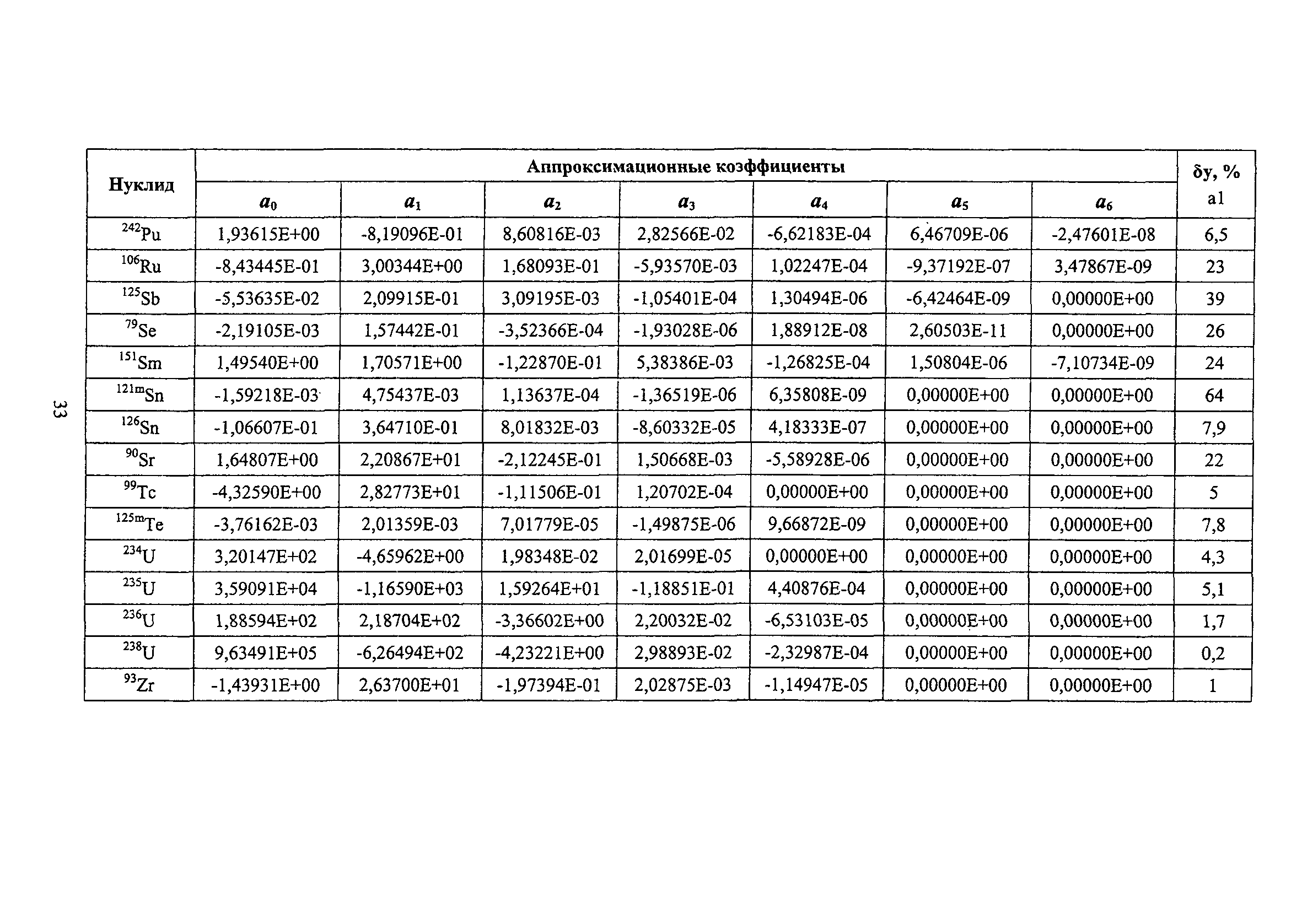
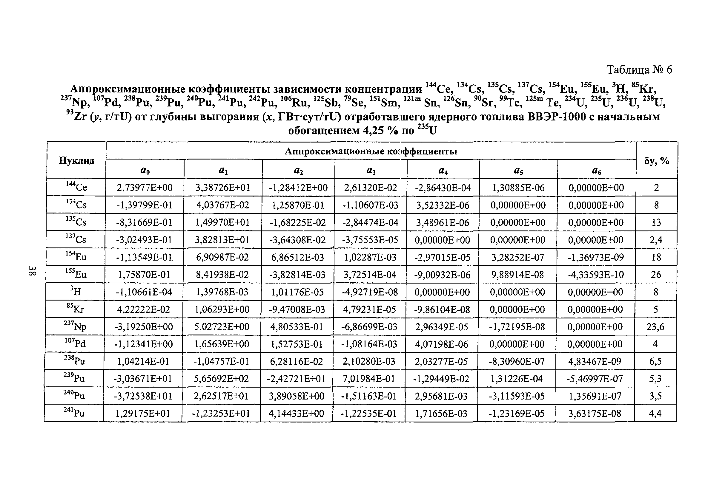
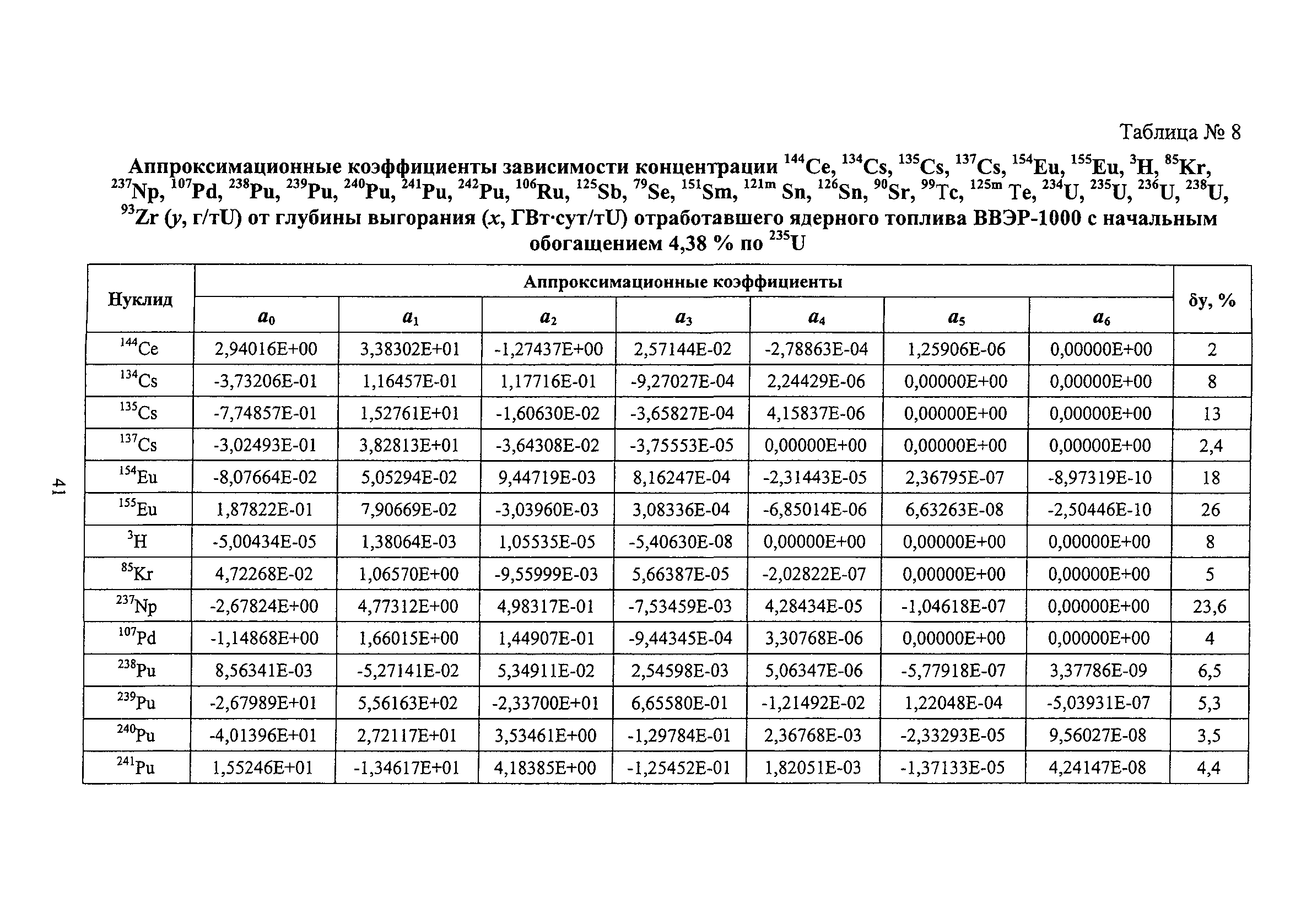
| Область применения: | Руководство по безопасности содержит рекомендации Федеральной службы по экологическому, технологическому и атомному надзору по радионуклидному составу, ядерным константам и теплофизическим характеристикам отработавшего ядерного топлива водо-водяных энергетических реакторов и реакторов большой мощности канальных, используемым при обосновании безопасности объектов использования атомной энергии. |
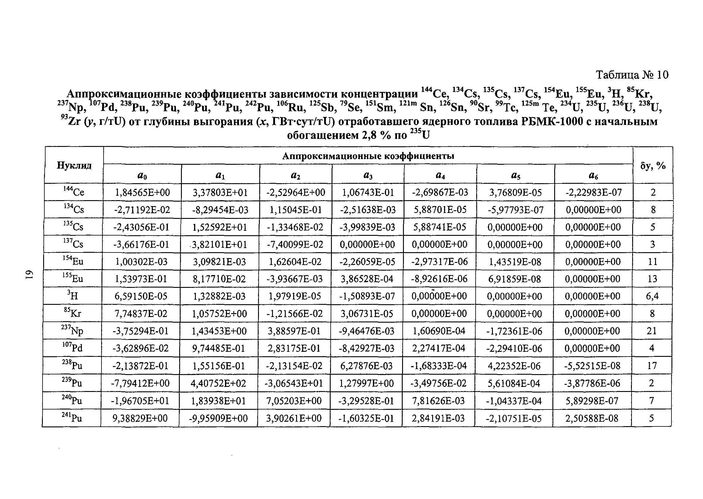
| Оглавление: | I. Общие положения II. Радиационные и теплофизические характеристики отработавшего ядерного топлива Приложение № 1. Радиационные и теплофизические характеристики отработавшего ядерного топлива водо-водяных энергетических реакторов ВВЭР-1000 Приложение № 2. Радиационные и теплофизические характеристики отработавшего ядерного топлива водо-водяных энергетических реакторов ВВЭР-440 Приложение № 3. Радиационные и теплофизические характеристики отработавшего ядерного топлива реакторов большой мощности канальных РБМК-1000 Приложение № 4. Ядерные константы |
| Разработан: | ФБУ НТЦ ЯРБ |
| Утверждён: | 26.03.2014 Федеральная служба по экологическому, технологическому и атомному надзору (119) |
| Издан: | ФБУ НТЦ ЯРБ (2014 г. ) |
| Список изменений: | |
| Чем заменён: | |
| Нормативные ссылки: |
|





































































