Скачать ГОСТ Р 56175-2014 Трубы обсадные и насосно-компрессорные для нефтяной и газовой промышленности. Рекомендации по эксплуатации и обслуживаниюДата актуализации: 01.01.2021
|
| Обозначение: | ГОСТ Р 56175-2014 |
| Обозначение англ: | GOST R 56175-2014 |
| Статус: | отменен |
| Название рус.: | Трубы обсадные и насосно-компрессорные для нефтяной и газовой промышленности. Рекомендации по эксплуатации и обслуживанию |
| Название англ.: | Casing and tubing for petroleum and natural gas industries. Recommendation for care and use |
| Дата добавления в базу: | 21.05.2015 |
| Дата актуализации: | 01.01.2021 |
| Дата введения: | 01.01.2015 |
| Дата окончания срока действия: | 01.11.2018 |
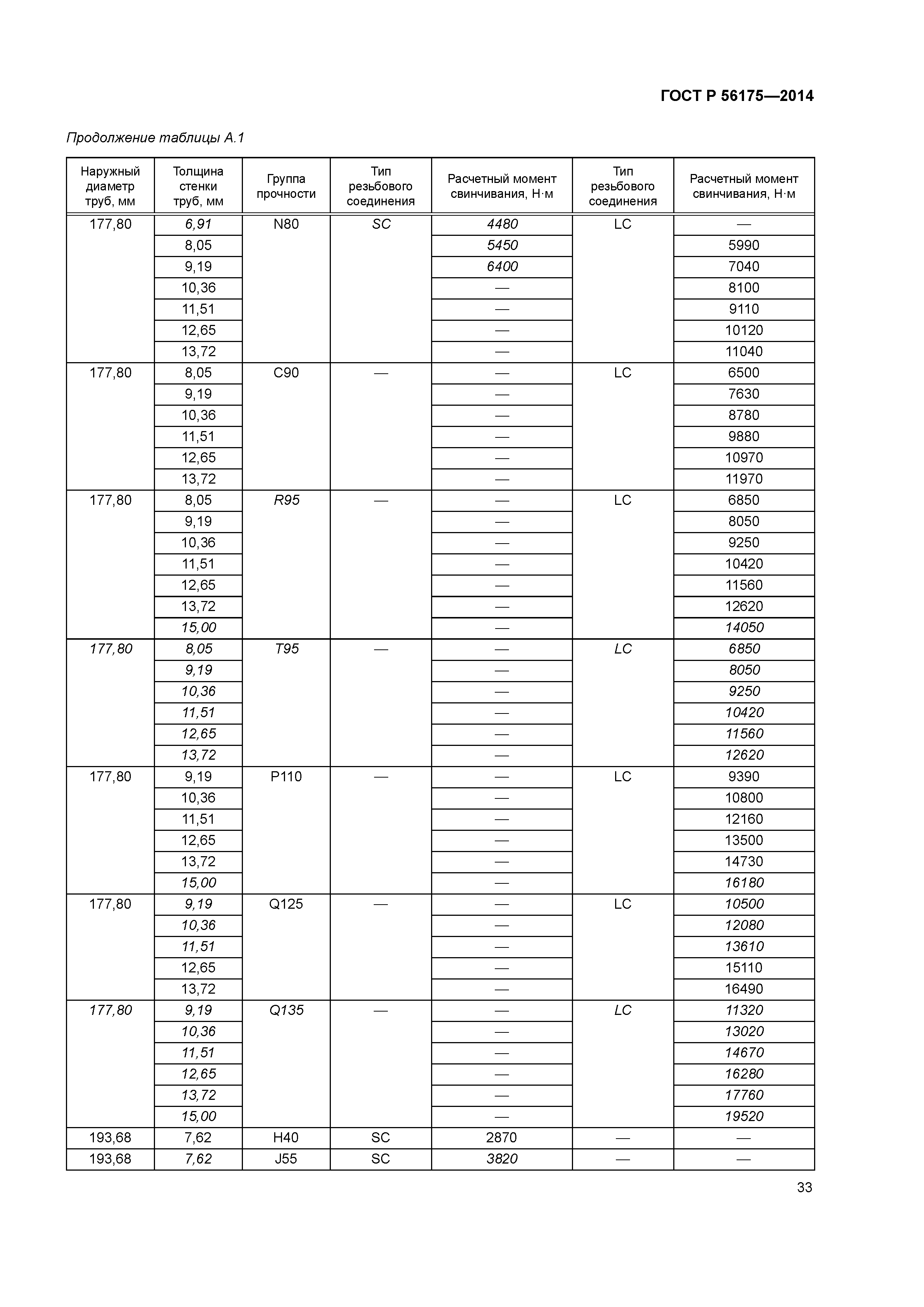
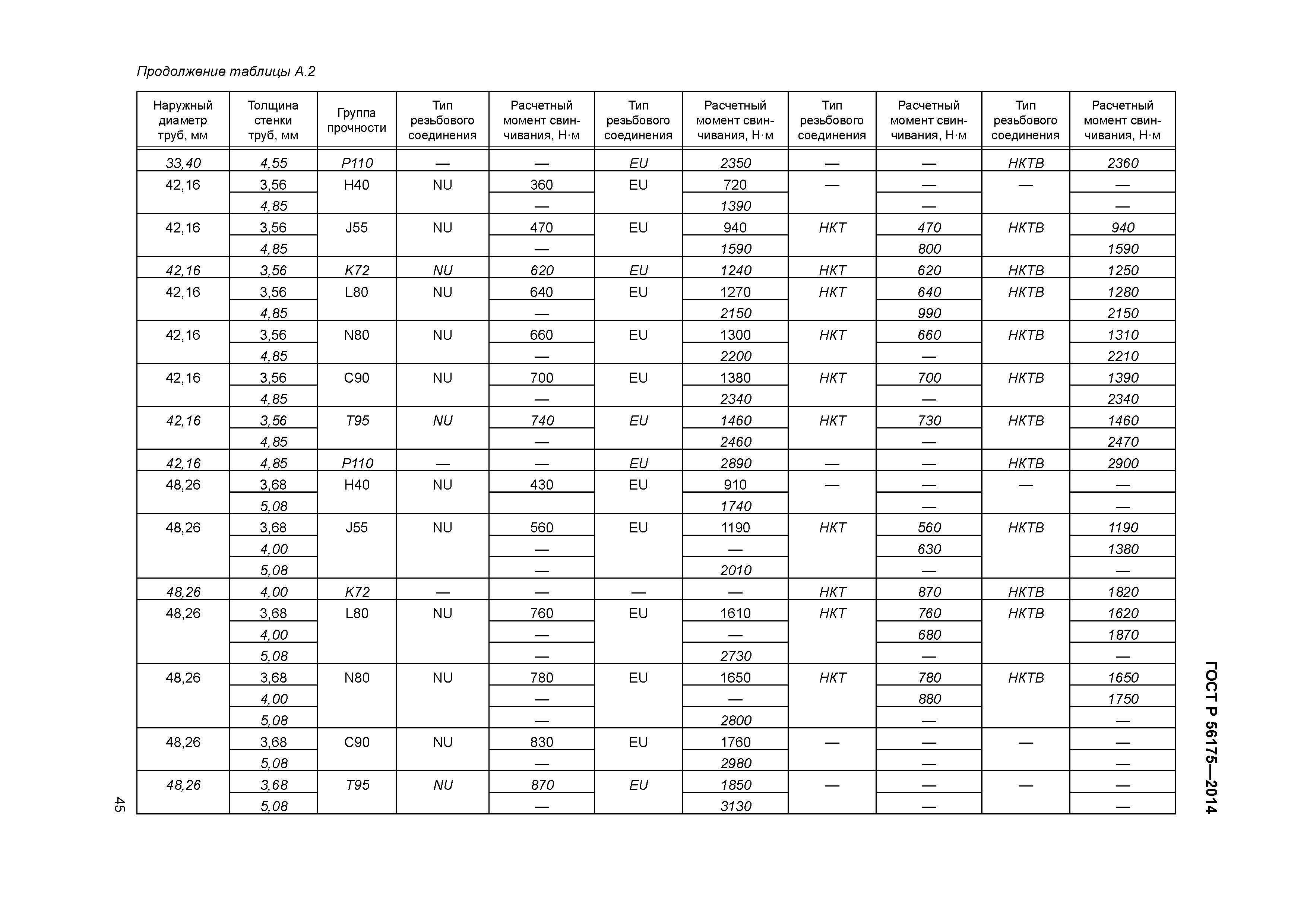
| Область применения: | Стандарт содержит рекомендации по обслуживанию и эксплуатации обсадных и насосно-компрессорных труб, в том числе по порядку спуска и подъема, посадке труб в муфты и свинчиванию в промысловых условиях. Приводит рекомендуемые расход смазки, моменты свинчивания труб размеров, групп прочности и типов резьбовых соединений по ГОСТ Р 53366, а также рекомендации по транспортированию, погрузочно-разгрузочным операциям, хранению, инспекции. |
| Оглавление: | 1 Область применения 2 Нормативные ссылки 3 Термины и сокращения 4 Порядок спуска и подъема обсадных труб 4.1 документирование процесса подготовки и спуска колонны 4.2 Контроль и подготовка труб 4.3 Подъем труб на буровую установку 4.4 Нанесение смазки 4.5 Посадка трубы в муфту 4.6 Свинчивание и спуск колонны 4.7 Защита труб протекторами 4.8 Подъем колонны из скважины 4.9 Причины неисправностей при сборке и эксплуатации 5 Порядок спуска и подъема насосно-компрессорных труб 5.1 документирование процесса подготовки и спуска колонны 5.2 Контроль и подготовка труб 5.3 Подъем труб на буровую установку 5.4 Нанесение смазки 5.5 Посадка трубы в муфту 5.6 Свинчивание и спуск колонны 5.7 Подъем колонны из скважины 5.8 Причины неисправностей при сборке и эксплуатации 6 Транспортирование, погрузочно-разгрузочные операции и хранение труб 6.1 Общие положения 6.2 Транспортирование 6.3 Погрузочно-разгрузочные операции 6.4 Хранение 7 Контроль и классификация труб, бывших в употреблении 7.1 Общие положения 7.2 Порядок контроля и классификации 7.3 Контроль состояния поверхности тела труб и резьбовых соединений 7.4 Оценка пригодности к эксплуатации 8 Защита от коррозии 8.1 Коррозионное разрушение 8.2 Защита от коррозии обсадных труб 8.3 Защита от коррозии насосно-компрессорных труб 9 Ремонт поврежденных труб и резьбовых соединений Приложение А (справочное) Расчетные значения моментов свинчивания резьбовых соединений Приложение В (справочное) Соответствие резьбовых соединений, упомянутых в настоящем стандарте, и резьбовых соединений, применявшихся ранее в национальной промышленности Приложение ДА (справочное) Сравнение структуры настоящего стандарта со структурой примененного в нем международного стандарта Библиография Приложение ДБ (рекомендуемое) Рекомендации по проверке соответствия резьбовых соединений закупленных обсадных и насосно-компрессорных труб |
| Разработан: | ПК 7 Трубы нарезные нефтяного сортамента ТК 357 Стальные и чугунные трубы и баллоны |
| Утверждён: | 16.10.2014 Федеральное агентство по техническому регулированию и метрологии (1347-ст) |
| Издан: | Стандартинформ (2015 г. ) |
| Список изменений: |
|
| Нормативные ссылки: |
|




































































Текстовое изменение № 1 от 01.09.2017




