Скачать Рекомендации по расчету вентиляционных систем противодымной защиты общественных зданий

Дата актуализации: 01.01.2021

Рекомендации по расчету вентиляционных систем противодымной защиты общественных зданий

Статус:справочные материалы, мп, тпр
Название рус.:Рекомендации по расчету вентиляционных систем противодымной защиты общественных зданий
Дата добавления в базу:21.05.2015
Дата актуализации:01.01.2021
Область применения:Приведены рекомендации по организации противодымной защиты зданий высотой до 16 этажей, по размещению клапанов и вентиляторов, обвязке вентиляторов и расходу общеобменной вентиляции. Дан аналитический метод расчета систем противодымной защиты зданий повышенной этажности. Для зданий меньшей этажности предложены рекомендации по расчету площади проходного сечения устройств дымоудаления из отдельных помещений, в том числе подвальных. Для инженерно-технических работников научно-исследовательских организаций
Оглавление:Предисловие
1. Вентиляционные системы противодымной защиты общественных зданий повышенной этажности
   Общие положения
   Конструктивные и технические требования
   Исходные данные для расчета
   Расчет параметров систем
2. Вентиляционные системы противодымной защиты общественных зданий обычной этажности
   Общие положения
   Конструктивные и технические требования
   Расчет параметров систем
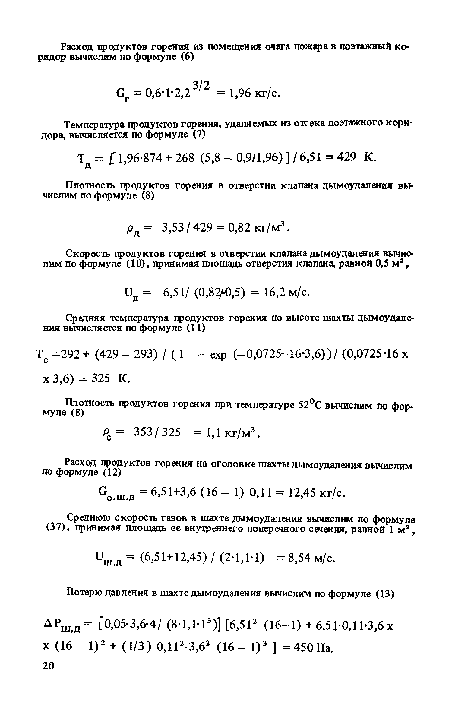
Приложение 1. Примеры расчетов вентиляционных систем противодымной защиты общественных зданий повышенной этажности
Приложение 2. Пример расчета вентиляционной системы противодымной защиты одноэтажного общественного здания
Разработан: ВНИИПО МВД СССР
ЦНИИЭП учебных зданий Госгражданстроя при Госстрое СССР
Утверждён: ЦНИИЭП учебных зданий Госгражданстроя
Издан: Стройиздат (1987 г. )
Нормативные ссылки: