Скачать ГОСТ Р 56213.20-2014 Системы промышленной автоматизации и интеграция. Обмен данными характеристик. Часть 20. Услуги по осуществлению поиска информации в словаре концепцийДата актуализации: 01.01.2021
|
| Обозначение: | ГОСТ Р 56213.20-2014 |
| Обозначение англ: | GOST R 56213.20-2014 |
| Статус: | введен впервые |
| Название рус.: | Системы промышленной автоматизации и интеграция. Обмен данными характеристик. Часть 20. Услуги по осуществлению поиска информации в словаре концепций |
| Название англ.: | Industrial automation systems and integration. Exchange of characteristic data. Part 20. Concept dictionary resolution services |
| Дата добавления в базу: | 21.05.2015 |
| Дата актуализации: | 01.01.2021 |
| Дата введения: | 01.07.2015 |
| Область применения: | Стандарт устанавливает требования к интерфейсу, с помощью которого осуществляется поиск информации в словаре концепций. Можно отыскать терминологическую и онтологическую информация, а также найти нужную концепцию. Интерфейс может быть определен как совокупность услуг по осуществлению поиска информации в словаре концепций (CDRS). Услуги достаточно абстрактны и это позволяет устанавливать различные связи и увязка, такие, как например, язык описания интернет услуг (WSDL) с протоколом доступа к простому объекту (SOAP). Всем услугам при реализации требуются соответствующие средства обеспечения. |
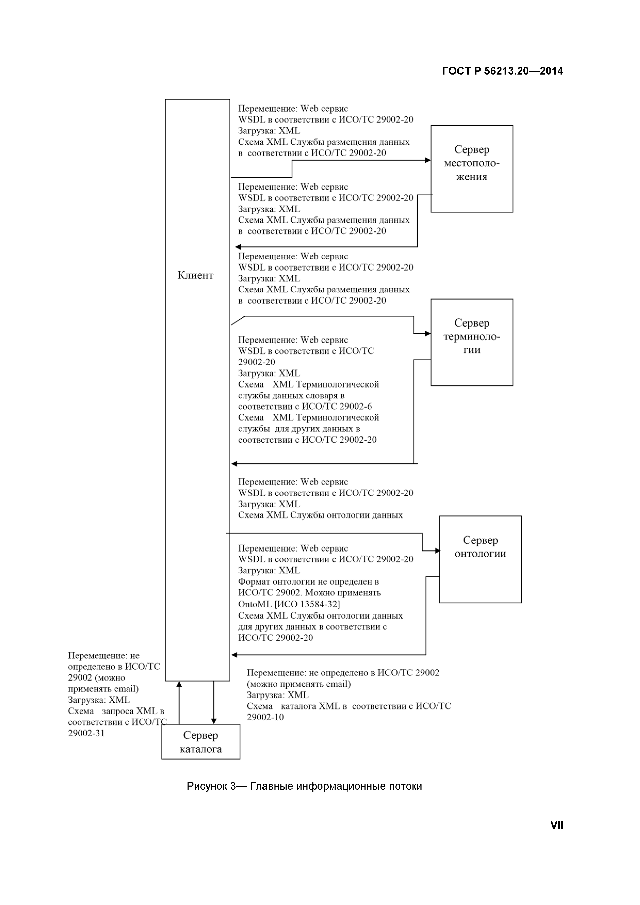
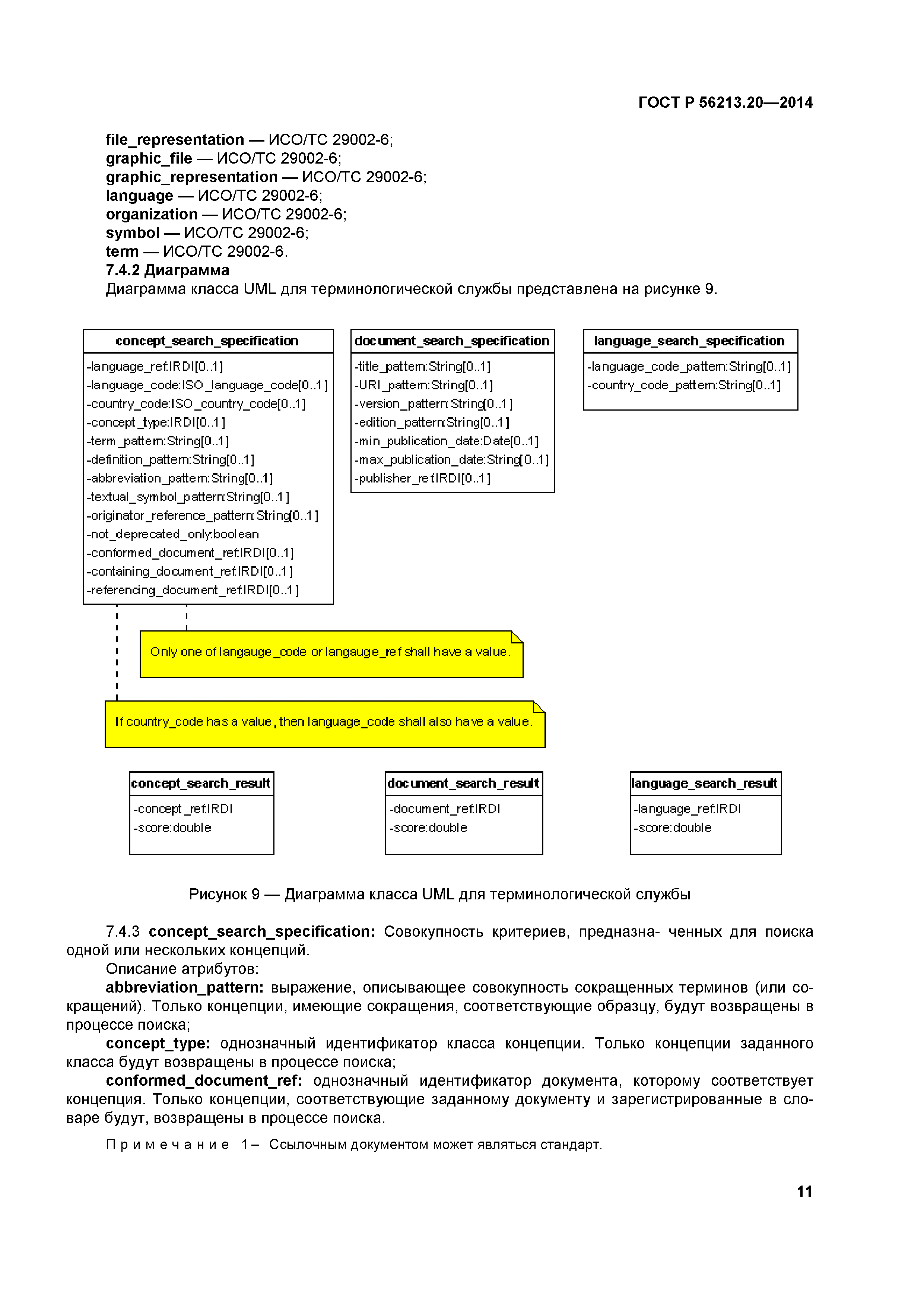
| Оглавление: | 1 Область применения 2 Нормативные ссылки 3 Термины и определения 4 Сокращения 5 Принципы 5.1 Идентификация 5.2 Многоуровневая структура 5.3 Методы получения (информации) 6 Описание услуг и требований 6.1 Служба размещения 6.2 Терминологическая служба 6.3 Онтологическая служба 7 Модели данных 7.1 Общая информация 7.2 Модель данных СОI8 верхнего уровня 7.3 Модель данных Службы размещения (адресации) 7.4 Модель данных терминологической службы 7.5 Модель данных онтологической службы 8 Спецификации интерфейса 8.1 Служба размещения 8.2 Терминологическая служба 8.3 Онтологическая служба 9 Схемы поиска 9.1 Общая информация 9.2 Схема поиска полного текста 9.3 Универсальная схема поиска Приложение А (обязательное) Идентификация документа Приложение В (обязательное) Машинно-интерпретируемые распечатки Приложение С (справочное) дополнительная информация по реализации Приложение D (справочное) Провайдеры услуг Приложение Е (справочное) Руководство по применению Приложение ДА (справочное) Сведения о соответствии ссылочных международных стандартов и документов национальным стандартам Российской Федерации Библиография |
| Разработан: | ФБУ ФЦК |
| Утверждён: | 11.11.2014 Росстандарт (1516-ст) |
| Издан: | Стандартинформ (2014 г. ) |
| Список изменений: |
|
| Нормативные ссылки: |
|













































Текстовое изменение Поправка от 01.06.2015