Скачать ГОСТ Р 55901-2013 Руководящие указания по обоснованию и разработке стандартов на системы менеджмента для инновационных сфер деятельностиДата актуализации: 01.01.2021
|
| Обозначение: | ГОСТ Р 55901-2013 |
| Обозначение англ: | GOST R 55901-2013 |
| Статус: | введен впервые |
| Название рус.: | Руководящие указания по обоснованию и разработке стандартов на системы менеджмента для инновационных сфер деятельности |
| Название англ.: | Guidelines for the justification and development of management system standards in the sphere of innovation activities |
| Дата добавления в базу: | 21.05.2015 |
| Дата актуализации: | 01.01.2021 |
| Дата введения: | 01.09.2014 |
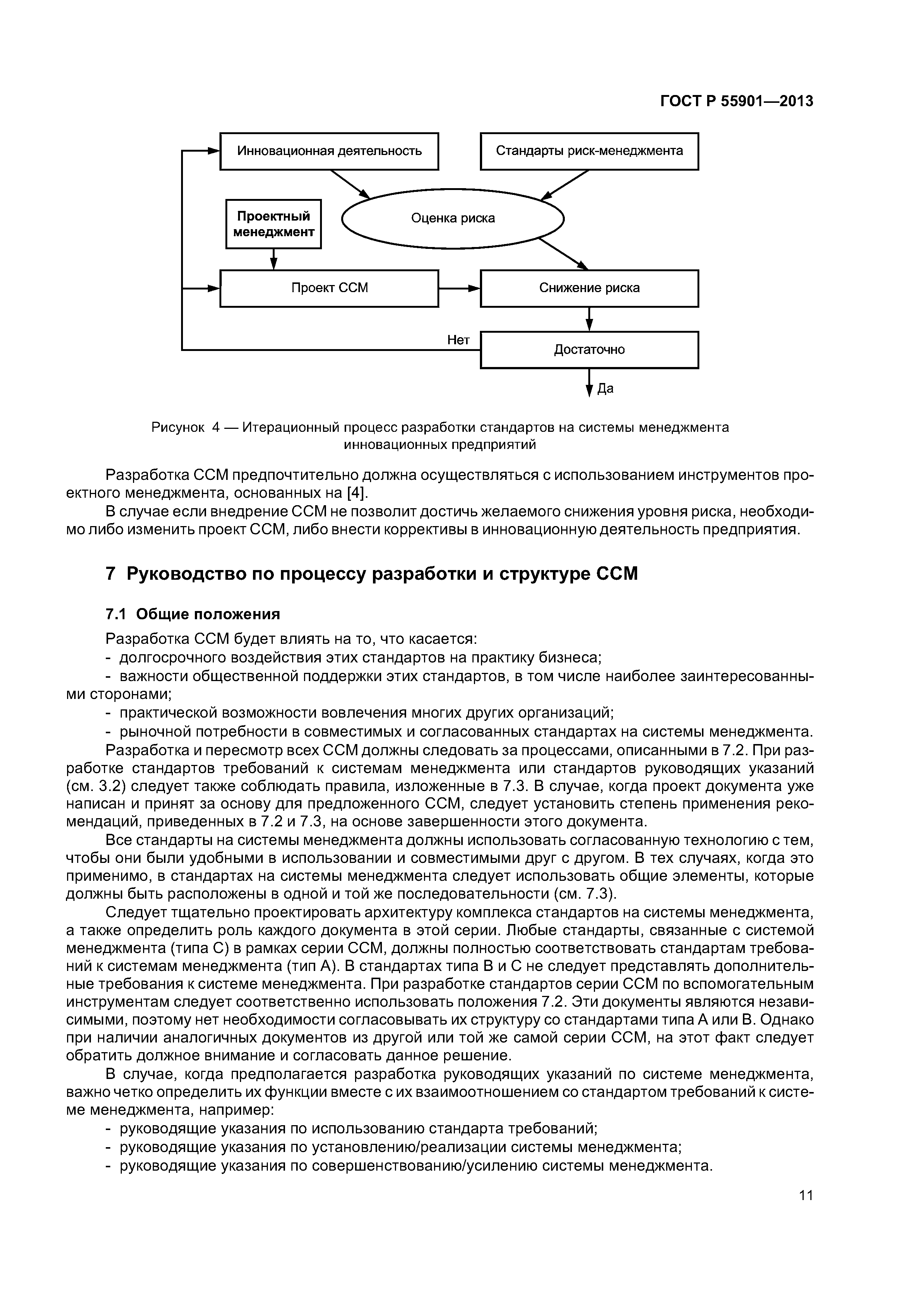
| Область применения: | Стандарт устанавливает: обоснование и определение стоимости предложенного проекта стандарта на систему менеджмента с целью оценки его коммерческой пригодности; руководящие указания по методологии (процессу) разработки и поддержанию (т.е. пересмотру и изменению) стандартов на системы менеджмента с целью обеспечения их совместимости и улучшения согласованности; руководящие указания по терминологии, структуре и общим элементам в стандартах на системы менеджмента с целью обеспечения совместимости, а также улучшения согласованности и облегчения использования. Стандарт применяют при разработке стандартов на системы менеджмента в инновационных сферах деятельности, новых или пересмотренных, гарантируя при этом, что эти стандарты удовлетворяют критериям коммерческой своевременности и совместимости. При применении настоящего стандарта организации могут разрабатывать стандарты на системы менеджмента, которые удовлетворяют потребностям рынка, и не допускать разработку стандартов, которые являются излишне сложными для внедрения. Стандарт следует применять также для обеспечения совместимости и согласованности между стандартами на системы менеджмента. Стандарт предназначен для применения всеми организациями, которые разрабатывают требования к системе менеджмента, а также руководящие указания и стандарты, имеющие отношение к системам менеджмента. Его могут использовать организации, разрабатывающие стандарты на международном, региональном и национальном уровнях, которые рассматривают или уже разрабатывают стандарты на систему менеджмента и/или сопоставимые документы. |
| Оглавление: | 1 Область применения 2 Нормативные ссылки 3 Термины и определения 4 Сокращения 5 Общие принципы 6 Процесс анализа обоснования и критерии 6.1 Общие положения 6.2 Процесс анализа обоснования 6.3 Критерии для анализа обоснования 7 Руководство по процессу разработки и структуре ССМ 7.1 Общие положения 7.2 Процесс разработки ССМ 7.3 Модель стандарта на систему менеджмента, структура и общие элементы Приложение А (справочное) Вопросы-критерии для анализа обоснования Приложение Б (справочное) Общие элементы стандартов на системы менеджмента ИСО Приложение В (справочное) Описание предлагаемых инструментов менеджмента для инновационных предприятий Библиография |
| Разработан: | ТК 100 Стратегический и инновационный менеджмент |
| Утверждён: | 17.12.2013 Федеральное агентство по техническому регулированию и метрологии (2269-ст) |
| Издан: | Стандартинформ (2015 г. ) |
| Нормативные ссылки: |
|




















































