Скачать НД 2-020101-040 Часть V.Техническое наблюдение за постройкой судов (редакция 2014 года)Дата актуализации: 01.01.2021
|
| Обозначение: | НД 2-020101-040 |
| Обозначение англ: | ND 2-020101-040 |
| Статус: | не действует |
| Название рус.: | Часть V.Техническое наблюдение за постройкой судов (редакция 2014 года) |
| Дата добавления в базу: | 21.05.2015 |
| Дата актуализации: | 01.01.2021 |
| Дата введения: | 01.07.2014 |
| Дата окончания срока действия: | 01.07.2015 |
| Область применения: | Положения части Правил технического наблюдения за постройкой судов и изготовлением материалов и изделий для судов применяются при техническом наблюдении за постройкой судов, подлежащих техническому наблюдению Регистра. Положения части могут применяться с учетом особенностей и отличий в процессах постройки судна, присущих стране, в которой Регистр осуществляет техническое наблюдение. Положения части могут применяться при техническом наблюдении за переоборудованием, модернизацией и ремонтом судов. |
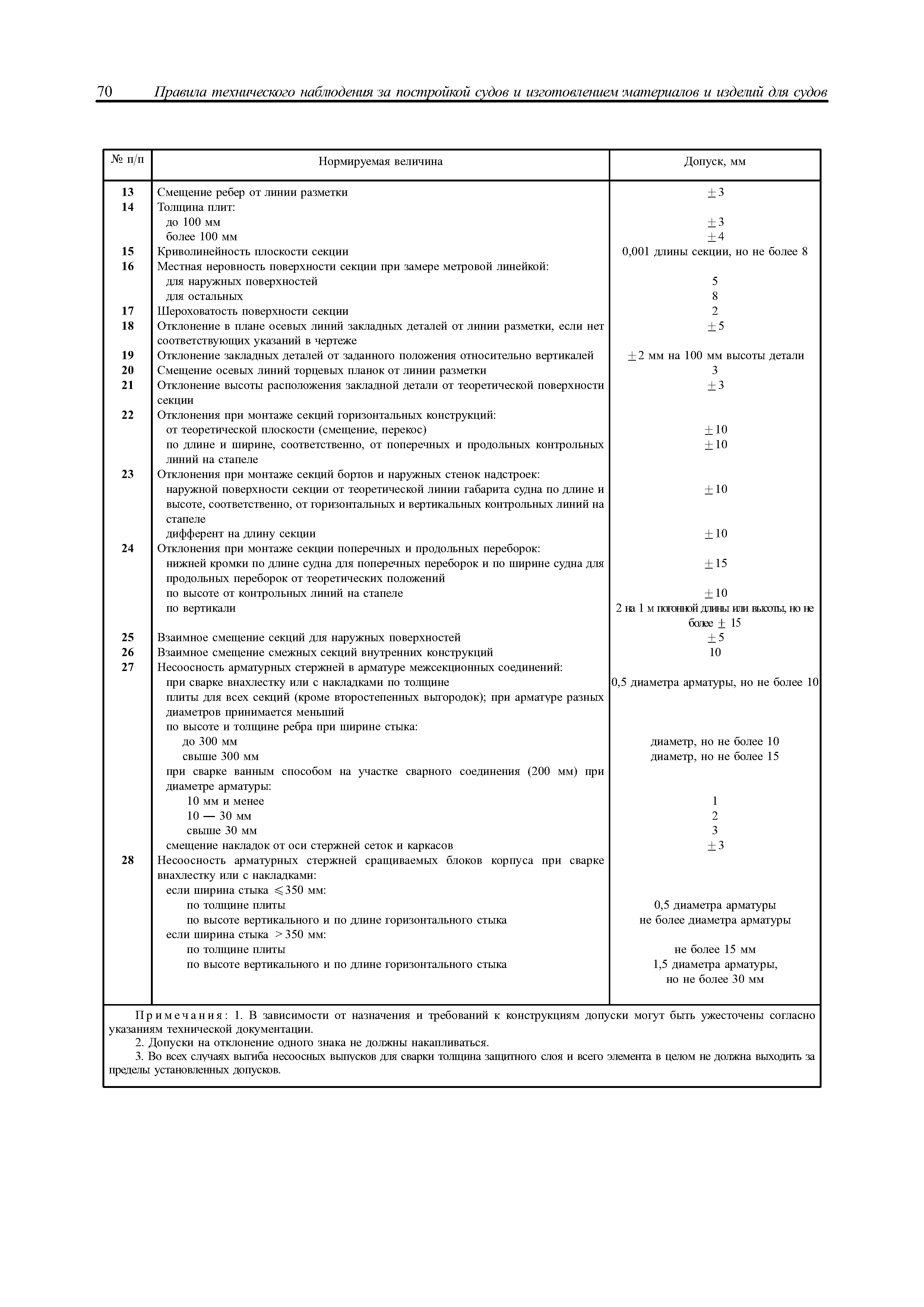
| Оглавление: | 1 Общие положения 2 Корпус Приложение 1. Допустимые величины стрелок прогиба, бухтин, ребристости (гофрировки), вмятин и «домиков» на листах полотнищ корпусных конструкций Приложение 2. Допустимые величины стрелок прогиба и перекоса набора корпуса Приложение 3. Обработка металла (основные положения по контролю) Приложение 4. Допустимые отклонения при сборке корпуса судна Приложение 5. Контроль монтажа корпуса на стапеле Приложение 6. Контроль вырезки отверстий и вварки деталей, узлов и конструкций в замкнутый контур Приложение 7. Допустимые отклонения от размеров фундаментов Приложение 8. Контроль монтажных стыков при постройке корпуса по частям с последующим раздельным спуском Приложение 9. Методы испытаний водонепроницаемости корпуса Приложение 10. Допустимые отклонения, мм, от размеров корпуса в зависимости от длины судна Приложение 11. Инструктивные указания по кренованию судов Приложение 12. Инструктивные указания по взвешиванию судов Приложение 13. Допустимые отклонения при изготовлении и монтаже секций железобетонных корпусов судов Приложение 14. Нормы испытаний железобетонных судов и плавсредств на непроницаемость Приложение 15. Окончательный инспекционный отчет о подготовке поверхности к нанесению защитного покрытия Приложение 16. Лист согласования окрасочных работ 3 Устройства, оборудование и снабжение 4 Противопожарная защита 5 Механизмы Приложение. Длительность испытаний главных и вспомогательных механизмов на швартовных и ходовых испытаниях 6 Валопроводы Приложение. Инструкция по оформлению материалов по крутильным колебаниям валопроводов судовых пропульсивных установок и агрегатов 7 Движители 8 Системы и трубопроводы Приложение. Методические указания по монтажу гибких соединений 9 Котлы, теплообменные аппараты и сосуды под давлением 10 Электрическое оборудование Приложение 1. Примерный перечень хозяйственного и бытового оборудования Приложение 2. Обобщенная таблица минимальных расстояний от электрического оборудования до корпусных конструкций и соседнего оборудования Приложение 3. Методические указания по осмотру электрического оборудования при постройке судна Приложение 4. Методические указания по способам проверки герметизации кабельных проходов и трубопроводов Приложение 5. Методические указания по измерению сопротивления изоляции электрического оборудования при постройке судна Приложение 6. Методические указания по проведению швартовных испытаний электрического оборудования Приложение 7. Методические указания по проверке качества коммутации электрических машин Приложение 8. Сведения для проверок и испытаний электрического оборудования судна Приложение 9. Испытание электрической прочности изоляции Приложение 10. Продолжительность проверок и испытаний электрического оборудования при швартовных и ходовых испытаниях судна 11 Холодильные установки Приложение 1. Условия проведения испытаний классифицируемых СХУ Приложение 2. Измерение параметров классифицируемых СХУ Приложение 3. Испытания классифицируемых СХУ с использованием имитационных средств 12 Оборудование автоматизации 13 Спасательные средства 14 Сигнальные средства Приложение 1. Проверка установки сигнальных средств на судах Приложение 2. Освидетельствование сигнальных средств в период швартовных и ходовых испытаний судов 15 Радиооборудование 16 Навигационное оборудование Приложение 1. Рекомендации по установке магнитных компасов Приложение 2. Рекомендации по определению «безопасного расстояния» для магнитного компаса Приложение 3. Размещение электрического и электронного оборудования на ходовом мостике и вблизи него Приложение 4. Рекомендации по установке судовой аппаратуры автоматической идентификационной системы Приложение 5. Руководство по установке судового радиолокационного оборудования 17 Устройства по предотвращению загрязнения с судов 18 Швартовные и ходовые испытания Приложение. Технические требования к выполнению измерений вибрации на морских судах 19 Первоначальные освидетельствования судна в процессе его постройки и испытаний с целью оформления и выдачи на судно свидетельств, регламентируемых международными конвенциями и кодексами Алфавитно-предметный указатель |
| Разработан: | Российский морской регистр судоходства |
| Утверждён: | 09.06.2014 Российский морской регистр судоходства |
| Издан: | Российский морской регистр судоходства (2014 г. ) |
| Список изменений: | |
| Заменяет собой: |










































































































































































































































































































































































Текстовое изменение 340-22-726ц от 01.07.2014

Текстовое изменение 340-19-763ц от 05.09.2014

Текстовое изменение 322-05-783ц от 01.07.2014









