Скачать ГОСТ 24718-2014 Полосы из платины, палладия и сплавов на их основе. Технические условия

Дата актуализации: 01.01.2021

ГОСТ 24718-2014

Полосы из платины, палладия и сплавов на их основе. Технические условия

Обозначение: ГОСТ 24718-2014
Обозначение англ: GOST 24718-2014
Статус:взамен
Название рус.:Полосы из платины, палладия и сплавов на их основе. Технические условия
Название англ.:Strips made of platinum, palladium and its base alloys. Specifications
Дата добавления в базу:21.05.2015
Дата актуализации:01.01.2021
Дата введения:01.01.2016
Область применения:Стандарт распространяется на холоднокатаные полосы из платины, палладия и сплавов на их основе, применяемые в приборостроении и других отраслях промышленности.
Оглавление:1 Область применения
2 Нормативные ссылки
3 Термины и определения
4 Условные обозначения и сокращения
5 Технические требования
6 Правила приемки
7 Методы контроля
8 Транспортирование и хранение
9 Гарантии изготовителя
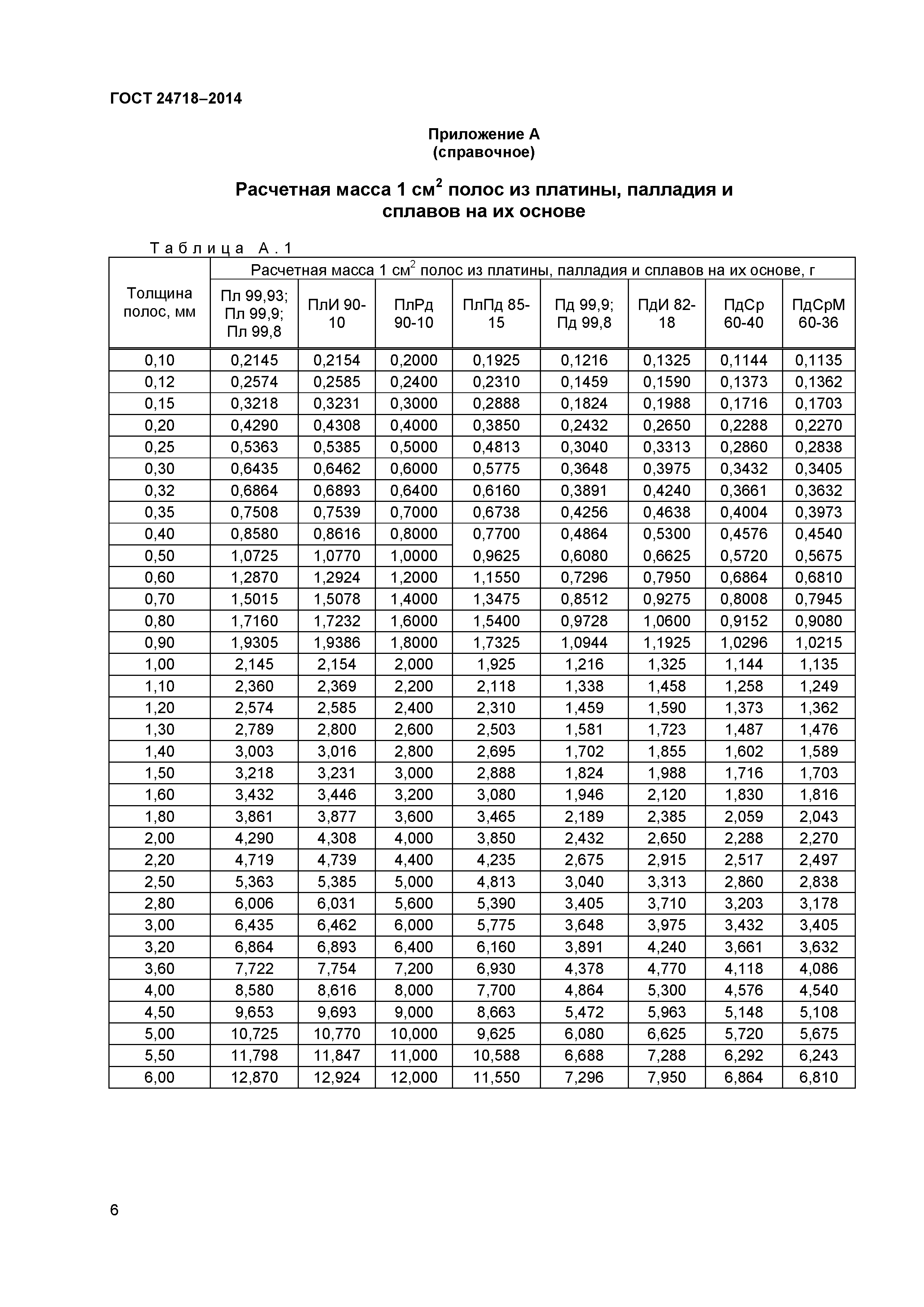
Приложение А (справочное) Расчетная масса 1 см2 полос из платины, палладия и сплавов на их основе
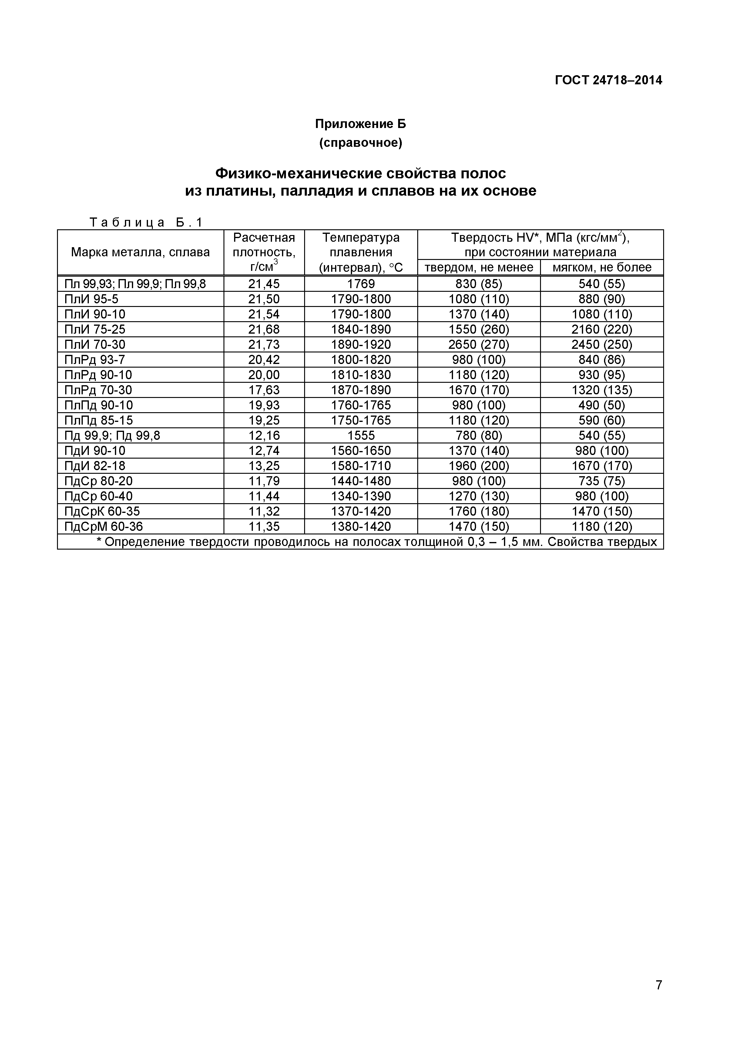
Приложение Б (справочное) Физико-механические свойства полос из платины, палладия и сплавов на их основе
Разработан: Екатеринбургский завод по обработке цветных металлов
Утверждён:20.10.2014 Межгосударственный Совет по стандартизации, метрологии и сертификации (Inter-Governmental Council on Standardization, Metrology, and Certification 71-П)
25.03.2015 Федеральное агентство по техническому регулированию и метрологии (163-ст)
Издан: Стандартинформ (2015 г. )
Заменяет собой:
Нормативные ссылки:
ГОСТ 24718-2014ГОСТ 24718-2014ГОСТ 24718-2014ГОСТ 24718-2014ГОСТ 24718-2014ГОСТ 24718-2014ГОСТ 24718-2014ГОСТ 24718-2014ГОСТ 24718-2014ГОСТ 24718-2014ГОСТ 24718-2014