Скачать ГОСТ ISO 23409-2014 Презервативы мужские из синтетических материалов. Требования и методы испытанийДата актуализации: 01.01.2021
|
| Обозначение: | ГОСТ ISO 23409-2014 |
| Обозначение англ: | 23409-2014 |
| Статус: | введен впервые |
| Название рус.: | Презервативы мужские из синтетических материалов. Требования и методы испытаний |
| Название англ.: | Male condoms made from synthetic materials. Requirements and test methods |
| Дата добавления в базу: | 12.02.2016 |
| Дата актуализации: | 01.01.2021 |
| Дата введения: | 01.07.2016 |
| Область применения: | Стандарт распространяется на мужские презервативы из синтетических материалов или смеси синтетических материалов и натурального латекса, используемые в качестве средства контрацепции и предотвращения передачи инфекций, передающихся половым путем (STI), и устанавливает требования и методы испытаний. |
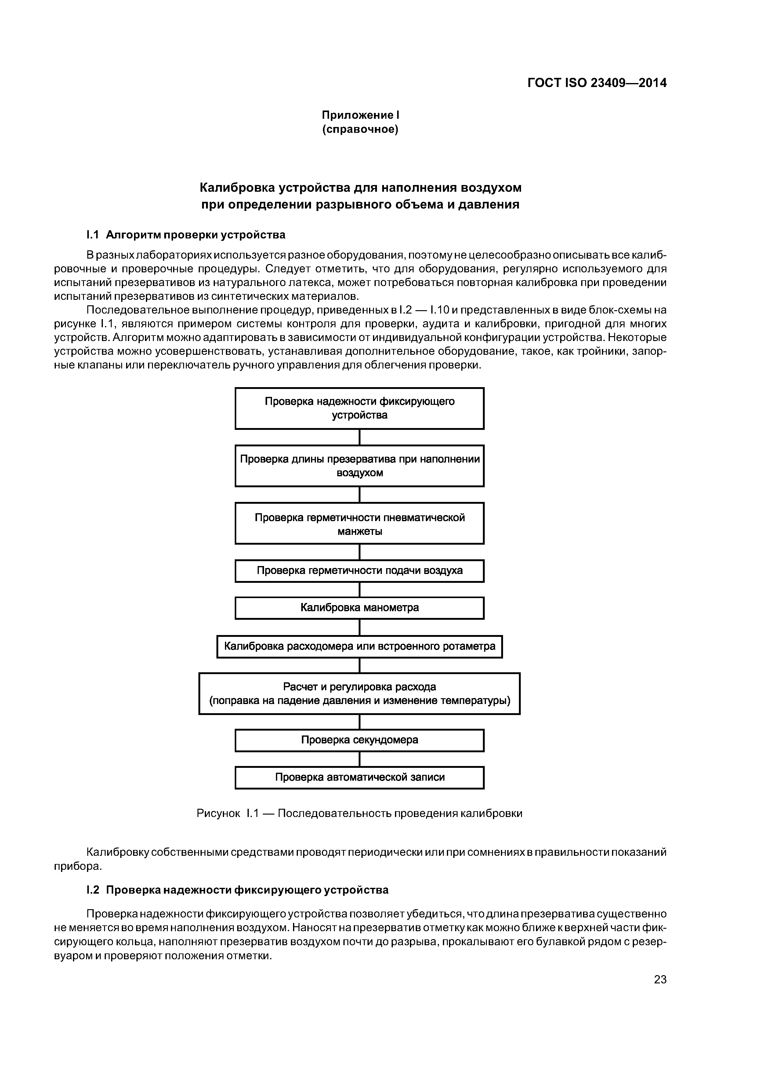
| Оглавление: | 1 Область применения 2 Нормативные ссылки 3 Термины и определения 4 Подтверждение качества 5 Размер партии 6 Биосовместимость 7 Информация об изделии 8 Исполнение 9 Доклинические испытания 10 Клинические испытания (с участием человека) 11 Разрывной объем и давление 12 Герметичность 13 Стабильность и срок годности 14 Дефекты, определяемые визуально 15 Целостность индивидуальной упаковки 16 Упаковка и маркировка 17 Техническое описание и протокол испытаний Приложение А (обязательное) Планы выборочного контроля при оценке соответствия серийно выпускаемых презервативов для использования правил перехода к другому виду контроля Приложение В (справочное) Планы выборочного контроля, предназначенные для оценки соответствия отдельных партий Приложение С (обязательное) Определение массы смазки презервативов в индивидуальной упаковке Приложение D (обязательное) Определение длины Приложение Е (обязательное) Определение ширины Приложение F (обязательное) Определение толщины Приложение G (справочное) Определение барьерных свойств с использованием бактериофагов Приложение Н (обязательное) Определение разрывного объема и давления Приложение I (справочное) Калибровка устройства для наполнения воздухом при определении разрывного объема и давления Приложение J (обязательное) Определение герметичности Приложение К (обязательное) Установление срока годности по результатам определения стабильности в реальном масштабе времени Приложение L (справочное) Руководство по проведению ускоренного старения и анализу результатов Приложение М (обязательное) Определение целостности индивидуальной упаковки Приложение N (справочное) Кондиционирование презервативов в термостате Библиография Приложение ДА (справочное) Сведения о соответствии межгосударственных стандартов ссылочным международным стандартам |
| Разработан: | ФГУП ВНИЦ СМВ ФГУП СТАНДАРТИНФОРМ |
| Утверждён: | 14.11.2014 Межгосударственный Совет по стандартизации, метрологии и сертификации (Inter-Governmental Council on Standardization, Metrology, and Certification 72-П) 20.05.2015 Федеральное агентство по техническому регулированию и метрологии (382-ст) |
| Издан: | Стандартинформ (2015 г. ) |
| Нормативные ссылки: |












































