Скачать ГОСТ Р 56648-2015 База электронная компонентная для ракетно-космической техники. Входной контроль и дополнительные испытания. Общие положения

Дата актуализации: 01.01.2021

ГОСТ Р 56648-2015

База электронная компонентная для ракетно-космической техники. Входной контроль и дополнительные испытания. Общие положения

Обозначение: ГОСТ Р 56648-2015
Обозначение англ: GOST R 56648-2015
Статус:введен впервые
Название рус.:База электронная компонентная для ракетно-космической техники. Входной контроль и дополнительные испытания. Общие положения
Название англ.:Electronic components for rocket and space technology. Input inspection and additional testing. General provisions
Дата добавления в базу:01.02.2017
Дата актуализации:01.01.2021
Дата введения:01.05.2016
Область применения:Стандарт распространяется на электронную компонентную базу иностранного и отечественного производства для разработки, производства и ремонта ракетно-космической техники гражданского (научного и социально-экономического) и коммерческого назначения. Перечень электронной компонентной базы иностранного и отечественного производства, на которую распространяется стандарт, представлен в приложении А.
Оглавление:1 Область применения
2 Нормативные ссылки
3 Термины и определения
4 Обозначения и сокращения
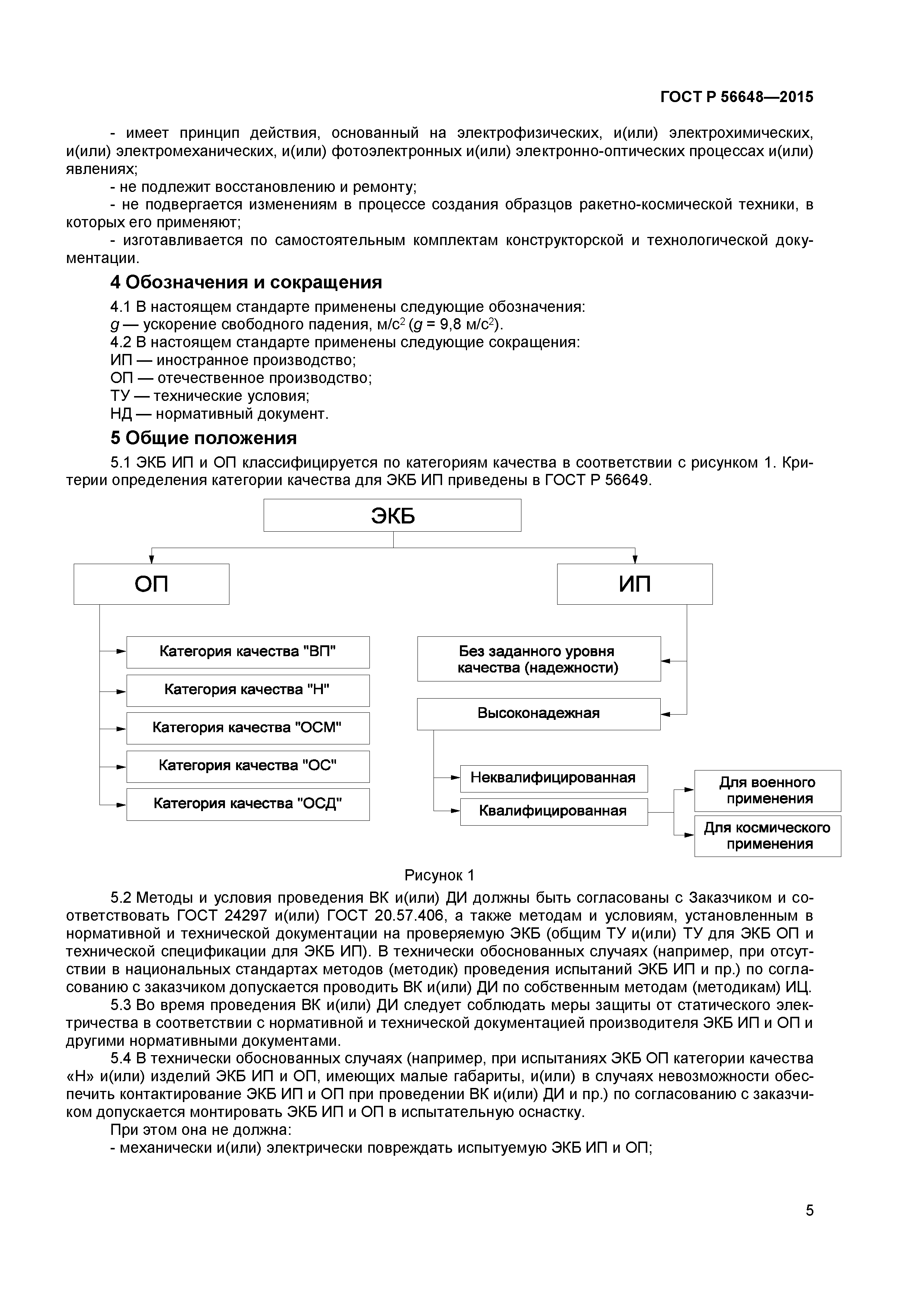
5 Общие положения
6 Входной контроль и дополнительные испытания электронной компонентной базы отечественного производства
7 Входной контроль и дополнительные испытания электронной компонентной базы иностранного производства
Приложение А (обязательное) Перечень электронной компонентной базы, на которую распространяется настоя щи й стандарт
Библиография
Разработан: ОАО Российские космические системы
Утверждён:20.10.2015 Федеральное агентство по техническому регулированию и метрологии (1589-ст)
Издан: Стандартинформ (2016 г. )
Нормативные ссылки:
ГОСТ Р 56648-2015ГОСТ Р 56648-2015ГОСТ Р 56648-2015ГОСТ Р 56648-2015ГОСТ Р 56648-2015ГОСТ Р 56648-2015ГОСТ Р 56648-2015ГОСТ Р 56648-2015ГОСТ Р 56648-2015ГОСТ Р 56648-2015ГОСТ Р 56648-2015ГОСТ Р 56648-2015ГОСТ Р 56648-2015ГОСТ Р 56648-2015ГОСТ Р 56648-2015ГОСТ Р 56648-2015ГОСТ Р 56648-2015ГОСТ Р 56648-2015