Скачать ГОСТ 33626-2015 Топливо твердое из бытовых отходов. Методы отбора пробДата актуализации: 01.01.2021
|
| Обозначение: | ГОСТ 33626-2015 |
| Обозначение англ: | GOST 33626-2015 |
| Статус: | введен впервые |
| Название рус.: | Топливо твердое из бытовых отходов. Методы отбора проб |
| Название англ.: | Solid recovered fuel. Methods for sampling |
| Дата добавления в базу: | 01.02.2017 |
| Дата актуализации: | 01.01.2021 |
| Дата введения: | 01.01.2017 |
| Область применения: | Стандарт описывает методы отбора проб топлива твердого из бытовых отходов, например, на месте производства, из поставляемых партий или из складируемых запасов. Отбор может осуществляться как ручным способом, так и механическим. |
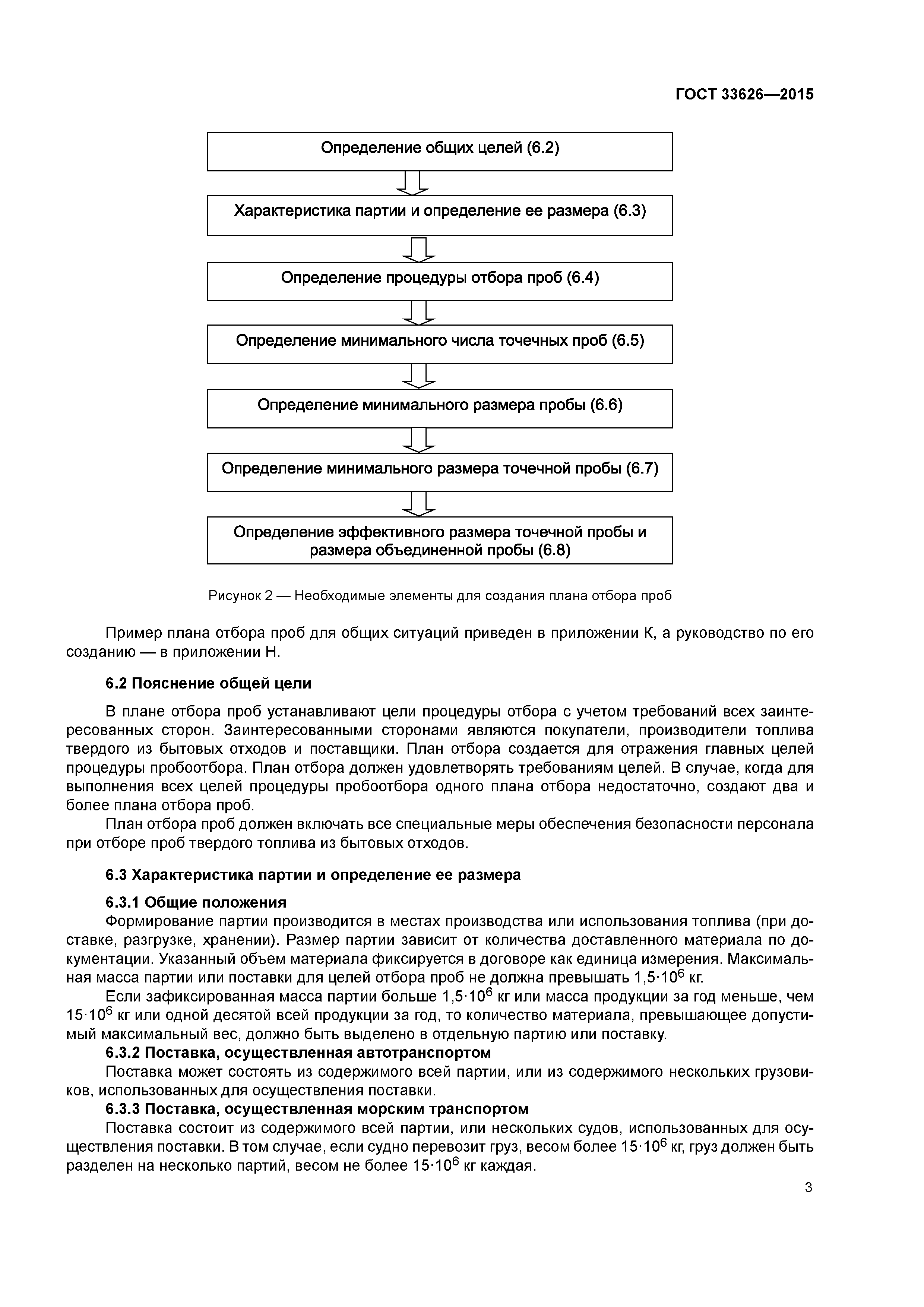
| Оглавление: | 1 Область применения 2 Нормативные ссылки 3 Термины и определения 4 Обозначения 5 Общие положения 6 Подготовка плана отбора проб 7 Осуществление плана отбора проб 8 Обработка и хранение проб 9 Прецизионность Приложение А (обязательное) Пошаговая инструкция создания плана отбора проб Приложение Б (обязательное) Осуществление отбора проб из потока материала Приложение В (обязательное) Осуществление отбора проб из штабеля или транспортного средства Приложение Г (обязательное) Определение минимального размера точечной пробы, отбираемой на перепаде потока Приложение Д (обязательное) Определение минимального размера точечной пробы, отбираемой от неподвижной партии или из транспортного средства Приложение Е (обязательное) Определение минимального размера пробы Приложение Ж (обязательное) Оборудование для отбора проб Приложение И (обязательное) Минимальный размер объединенной пробы, требуемой для анализа Приложение К (обязательное) Стандартные планы отбора проб для общих ситуаций Приложение Л (справочное) дополнительная информация о прецизионности Приложение М (справочное) Распределение точечных проб Приложение Н (справочное) Руководство по составлению плана отбора проб Приложение ДА (справочное) Сведения о соответствии ссылочных межгосударственных стандартов международным стандартам, использованным в качестве ссылочных в примененном международном стандарте |
| Разработан: | ФГУП ВНИИ СМТ |
| Утверждён: | 27.10.2015 Межгосударственный Совет по стандартизации, метрологии и сертификации (Inter-Governmental Council on Standardization, Metrology, and Certification 81-П) 13.11.2015 Федеральное агентство по техническому регулированию и метрологии (1799-ст) |
| Издан: | Стандартинформ (2016 г. ) |
| Нормативные ссылки: |
















































