Скачать ГОСТ 33523-2015 Ресурсосбережение. Упаковка. Требования к использованной упаковке для ее переработки в качестве вторичных энергетических ресурсовДата актуализации: 01.01.2021
|
| Обозначение: | ГОСТ 33523-2015 |
| Обозначение англ: | GOST 33523-2015 |
| Статус: | введен впервые |
| Название рус.: | Ресурсосбережение. Упаковка. Требования к использованной упаковке для ее переработки в качестве вторичных энергетических ресурсов |
| Название англ.: | Resources saving. Packaging. Requirements for packaging recoverable in the form of energy recovery |
| Дата добавления в базу: | 01.02.2017 |
| Дата актуализации: | 01.01.2021 |
| Дата введения: | 01.08.2016 |
| Область применения: | Стандарт устанавливает требования к использованной упаковке для ее переработки в качестве вторичных энергетических ресурсов, включая процедуру оценки соответствия этим требованиям. Стандарт распространяется на область хозяйственной деятельности, находящуюся под контролем хозяйствующих субъектов, несущих ответственность за поступление на любом из этапов упаковки или упакованной продукции в обращение на рынок, в результате чего осуществляют передачу, связанную с упаковкой или упакованной продукцией от одних субъектов хозяйственной деятельности другим. |
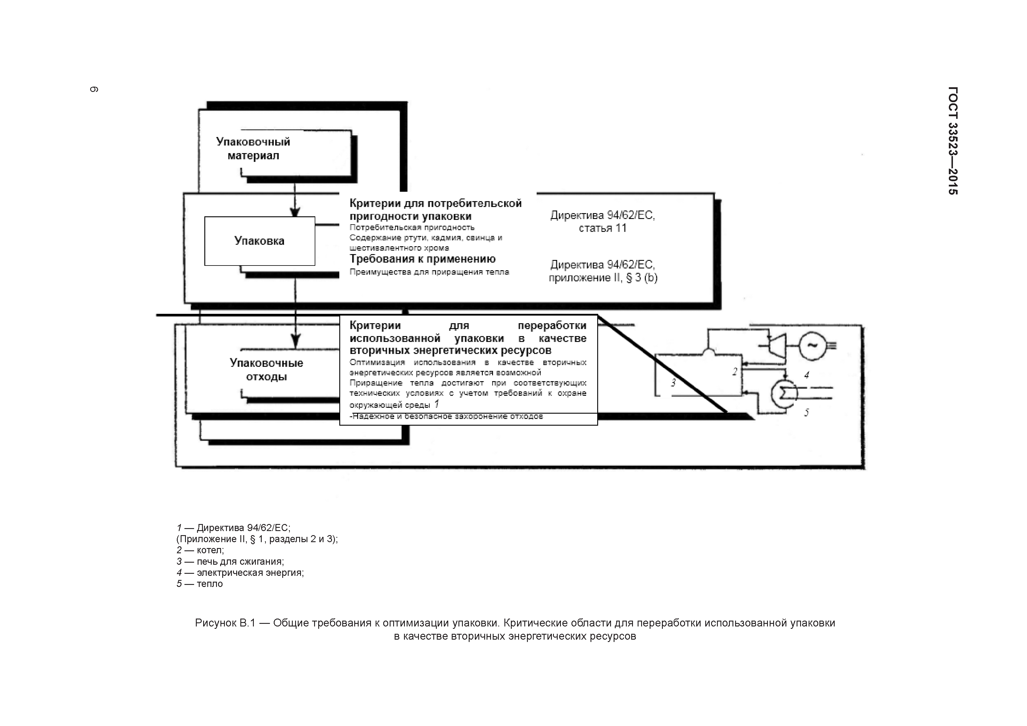
| Оглавление: | 1 Область применения 2 Нормативные ссылки 3 Термины и определения 4 Определение минимальной удельной теплотворной способности 5 Требования 6 Реализация требований настоящего стандарта 6.1 Условие применения 6.2 Оценка возможности 6.3 Декларация соответствия Приложение А (обязательное) Определение приращения тепла и теоретической минимальной Приложение В (справочное) Определение минимальной удельной теплотворной способности при сжигании использованных упаковок, переработка которых в качестве вторичных энергетических ресурсов позволяет оптимизировать промышленную энергетическую систему Приложение С (справочное) Вещества и материалы, которые могут отрицательно влиять на процессы переработки использованных упаковок в качестве вторичных энергетических ресурсов, а также материалы, комбинации материалов или конструкции упаковки, которые могут быть причиной проблем при их переработке в качестве вторичных энергетических ресурсов Приложение D (справочное) Примерный формат декларации соответствия настоящему стандарту Приложение ДА (справочное) Связь между настоящим стандартом и основными требованиями директивы 94/62/ЕС Библиография |
| Разработан: | ФГУП ВНИИ СМТ |
| Утверждён: | 29.09.2015 Межгосударственный Совет по стандартизации, метрологии и сертификации (Inter-Governmental Council on Standardization, Metrology, and Certification 80-П) 12.11.2015 Федеральное агентство по техническому регулированию и метрологии (1768-ст) |
| Издан: | Стандартинформ (2016 г. ) |
| Нормативные ссылки: |
|


















