Скачать ГОСТ 32931-2015 Трубы стальные профильные для металлоконструкций. Технические условияДата актуализации: 01.01.2021 ГОСТ 32931-2015
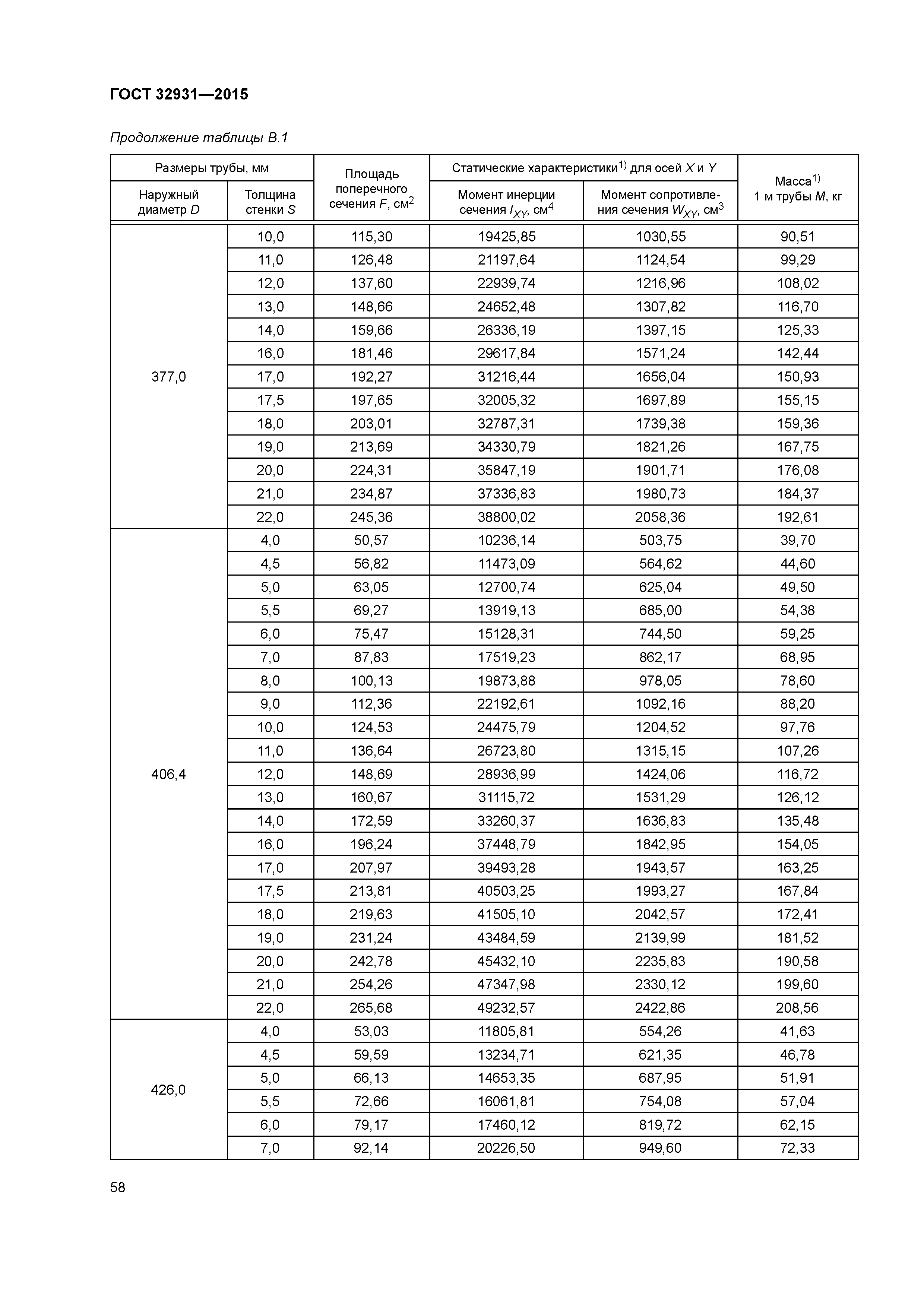
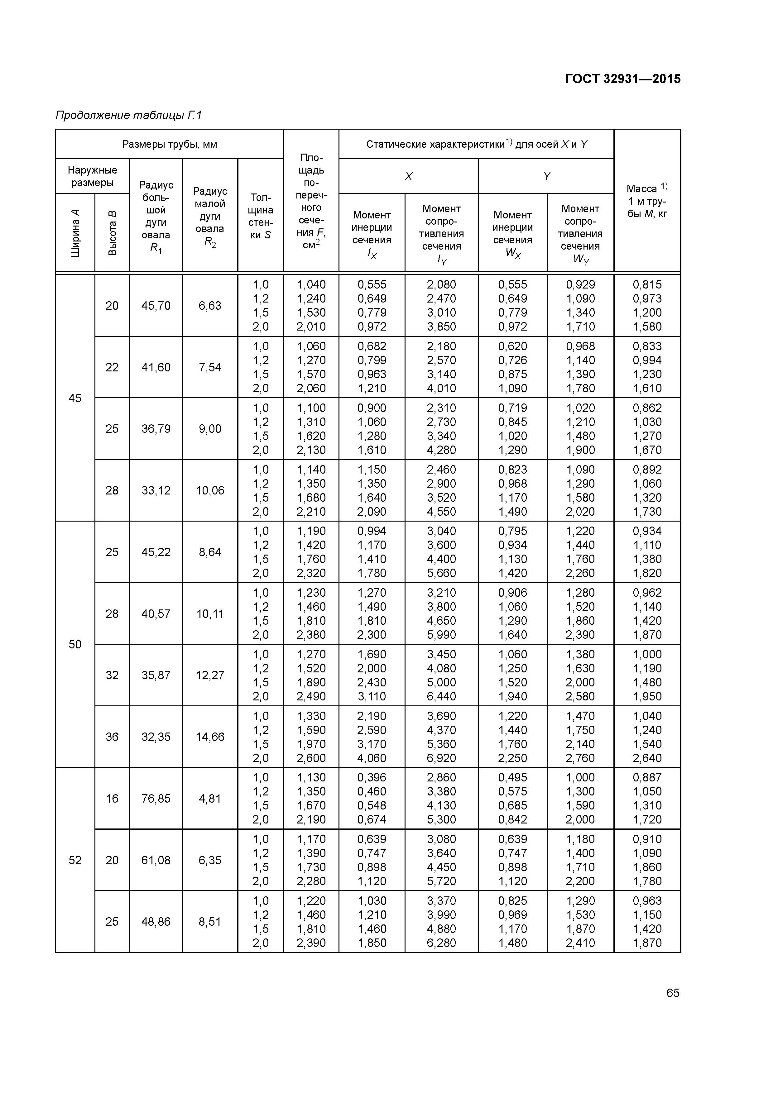
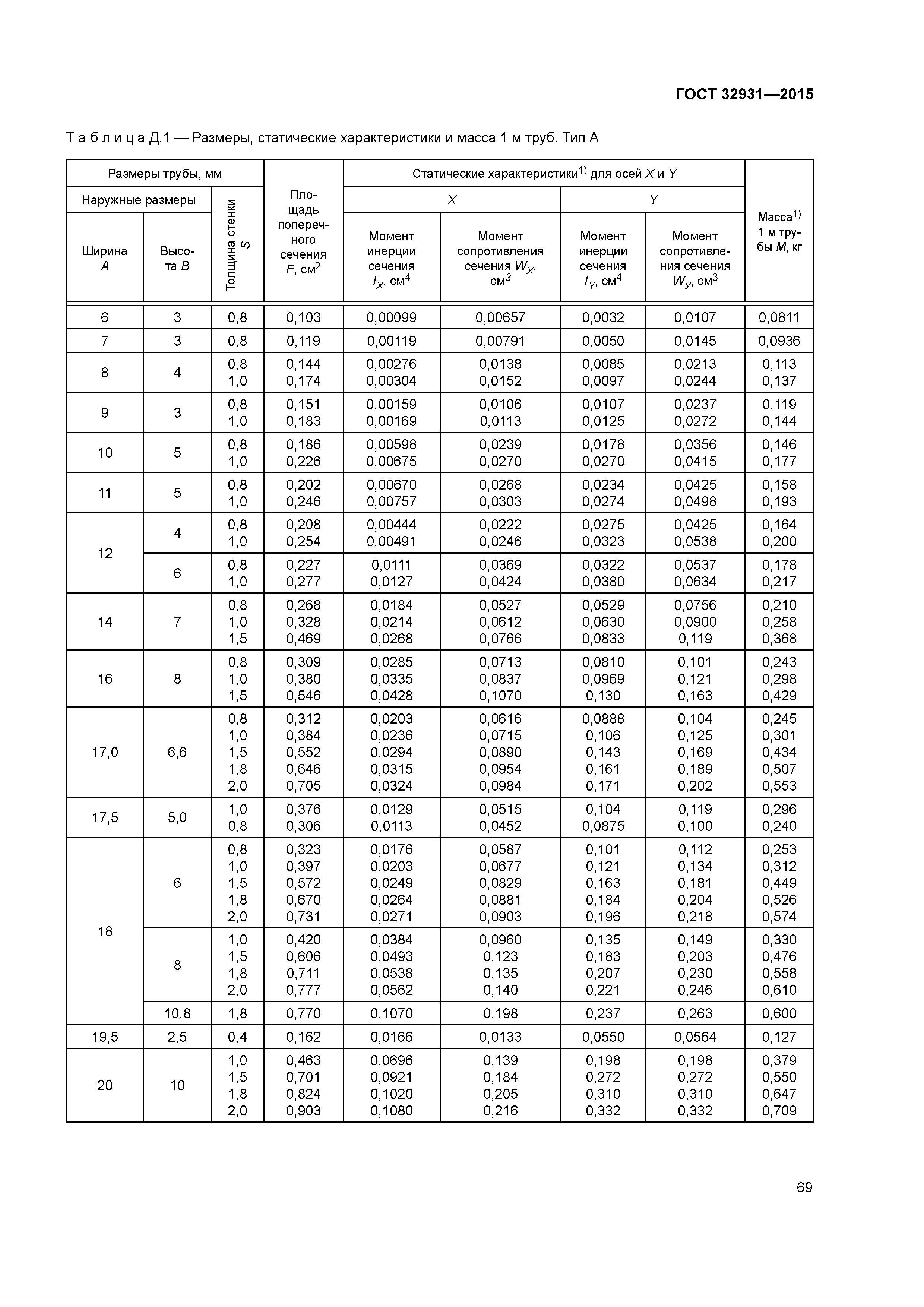
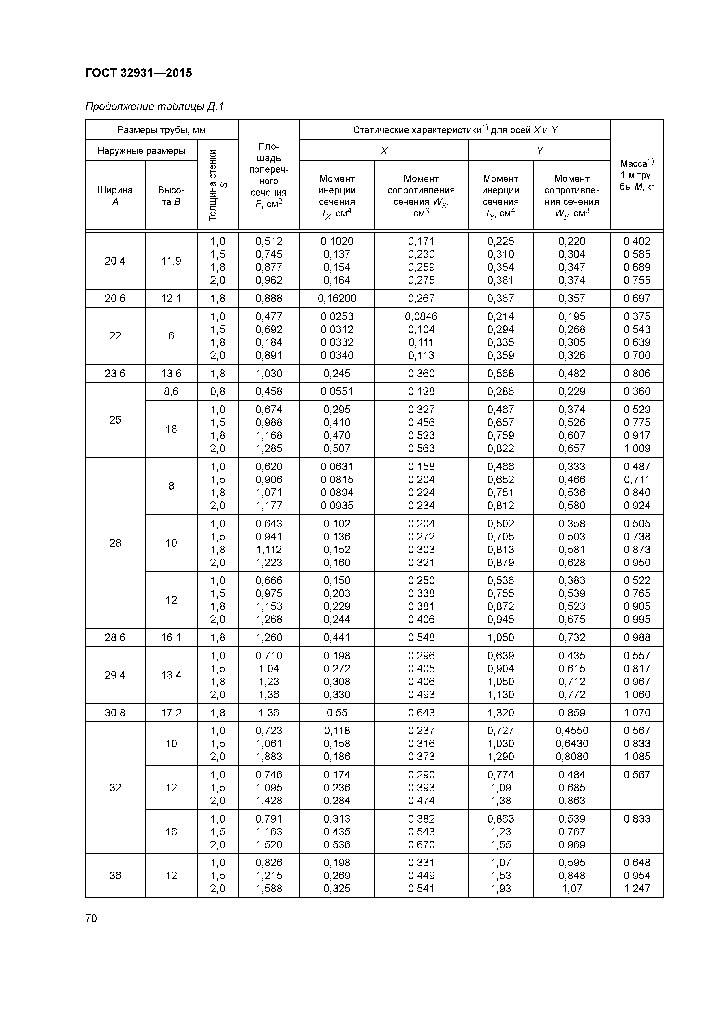
Трубы стальные профильные для металлоконструкций. Технические условия| Обозначение: | ГОСТ 32931-2015 | | Обозначение англ: | GOST 32931-2015 | | Статус: | введен впервые | | Название рус.: | Трубы стальные профильные для металлоконструкций. Технические условия | | Название англ.: | Profile steel pipes for metal constructions. Specifications | | Дата добавления в базу: | 01.02.2017 | | Дата актуализации: | 01.01.2021 | | Дата введения: | 01.09.2016 | | Область применения: | Стандарт распространяется на круглые, квадратные, прямоугольные, овальные и плоскоовальные трубы для металлоконструкций из углеродистой и низколегированной стали. | | Оглавление: | 1 Область применения 2 Нормативные ссылки 3 Термины и определения 4 Обозначения 5 Сортамент 6 Технические требования 6.1 Способ производства 6.2 Химический состав 6.3 Механические свойства 6.4 Предельные отклонения размеров, формы профиля и длины труб 6.5 Параметры сварного шва 6.6 Качество поверхности 6.7 Сплошность металла 6.8 Отделка концов 6.9 Маркировка и упаковка 7 Требования безопасности и охраны окружающей среды 8 Правила приемки 9 Методы контроля и испытаний 10 Транспортирование и хранение 11 Гарантии изготовителя Приложение А (обязательное) Квадратные трубы. Форма профиля и размеры труб Приложение Б (обязательное) Прямоугольные трубы. Форма профиля и размеры труб Приложение В (обязательное) Круглые трубы. Форма профиля и размеры труб Приложение Г (обязательное) Овальные трубы. Форма профиля и размеры труб Приложение Д (обязательное) Плоскоовальные трубы. Форма профиля и размеры труб Приложение Е (справочное) Расчет статических характеристик и массы Библиография | | Разработан: | ТК 357 Стальные и чугунные трубы и баллоны ОАО РосНИТИ
| | Утверждён: | 18.06.2015 Межгосударственный Совет по стандартизации, метрологии и сертификации (Inter-Governmental Council on Standardization, Metrology, and Certification 47) 19.01.2016 Федеральное агентство по техническому регулированию и метрологии (9-ст)
| | Издан: | Стандартинформ (2016 г. )
| | Нормативные ссылки: |   ГОСТ 1497-84 «Металлы. Методы испытаний на растяжение»  ГОСТ 3845-75 «Трубы металлические. Метод испытания гидравлическим давлением»  ГОСТ 10006-80 «Трубы металлические. Метод испытания на растяжение»  ГОСТ 28548-90 «Трубы стальные. Термины и определения»  ГОСТ 16504-81 «Система государственных испытаний продукции. Испытания и контроль качества продукции. Основные термины и определения»  ГОСТ 7502-98 «Рулетки измерительные металлические. Технические условия»  ГОСТ 166-89 «Штангенциркули. Технические условия»  ГОСТ 427-75 «Линейки измерительные металлические. Технические условия»  ГОСТ 9454-78 «Металлы. Метод испытания на ударный изгиб при пониженных, комнатной и повышенных температурах»  ГОСТ 22536.0-87 «Сталь углеродистая и чугун нелегированный. Общие требования к методам анализа»  ГОСТ 22536.2-87 «Сталь углеродистая и чугун нелегированный. Методы определения серы»  ГОСТ 22536.5-87 «Сталь углеродистая и чугун нелегированный. Методы определения марганца»  ГОСТ 22536.8-87 «Сталь углеродистая и чугун нелегированный. Методы определения меди»  ГОСТ 22536.11-87 «Сталь углеродистая и чугун нелегированный. Методы определения титана»  ГОСТ 22536.1-88 «Сталь углеродистая и чугун нелегированный. Методы определения общего углерода и графита»  ГОСТ 22536.3-88 «Сталь углеродистая и чугун нелегированный. Методы определения фосфора»  ГОСТ 22536.4-88 «Сталь углеродистая и чугун нелегированный. Методы определения кремния»  ГОСТ 22536.6-88 «Сталь углеродистая и чугун нелегированный. Методы определения мышьяка»  ГОСТ 22536.7-88 «Сталь углеродистая и чугун нелегированный. Методы определения хрома»  ГОСТ 22536.9-88 «Сталь углеродистая и чугун нелегированный. Методы определения никеля»  ГОСТ 22536.12-88 «Сталь углеродистая и чугун нелегированный. Методы определения ванадия»  ГОСТ 6507-90 «Микрометры. Технические условия»  ГОСТ 18360-93 «Калибры-скобы листовые для диаметров от 3 до 260 мм. Размеры»  ГОСТ 7565-81 «Чугун, сталь и сплавы. Метод отбора проб для определения химического состава»  ГОСТ 7661-67 «Глубиномеры индикаторные. Технические условия» ГОСТ 8026-92 «Линейки поверочные. Технические условия»  ГОСТ 26877-2008 «Металлопродукция. Методы измерений отклонений формы» ГОСТ 10692-2015 «Трубы стальные, чугунные и соединительные детали к ним. Приемка, маркировка, упаковка, транспортирование и хранение» ГОСТ 31458-2015 «Трубы стальные, чугунные и соединительные детали к ним. Документы о приемочном контроле»  ГОСТ 1.2-2009 «Межгосударственная система стандартизации. Стандарты межгосударственные, правила и рекомендации по межгосударственной стандартизации. Правила разработки, принятия, применения, обновления и отмены»  ГОСТ Р 54157-2010 «Трубы стальные профильные для металлоконструкций. Технические условия»  ГОСТ 13663-86 «Трубы стальные профильные. Технические требования»  ГОСТ 8642-68 «Трубы стальные овальные. Сортамент»  ГОСТ 8644-68 «Трубы стальные плоскоовальные. Сортамент»  ГОСТ 1.0-92 «Межгосударственная система стандартизации. Основные положения»  ГОСТ 8645-68 «Трубы стальные прямоугольные. Сортамент»  ГОСТ 8639-82 «Трубы стальные квадратные. Сортамент»
|
                                                                               
|