Скачать Административный регламент по предоставлению Федеральной службой по экологическому, технологическому и атомному надзору государственной услуги по аттестации экспертов в области промышленной безопасностиДата актуализации: 01.01.2021 |
| Статус: | действует |
| Название рус.: | Административный регламент по предоставлению Федеральной службой по экологическому, технологическому и атомному надзору государственной услуги по аттестации экспертов в области промышленной безопасности |
| Дата добавления в базу: | 01.02.2017 |
| Дата актуализации: | 01.01.2021 |
| Дата введения: | 21.02.2016 |
| Область применения: | Административный регламент по предоставлению Федеральной службой по экологическому, технологическому и атомному надзору государственной услуги по аттестации экспертов в области промышленной безопасности устанавливает порядок, сроки и последовательность административных процедур (действий) Ростехнадзора при предоставлении государственной услуги по аттестации экспертов в области промышленной безопасности, а также порядок взаимодействия Ростехнадзора с заявителями при предоставлении государственной услуги по аттестации экспертов в области промышленной безопасности |
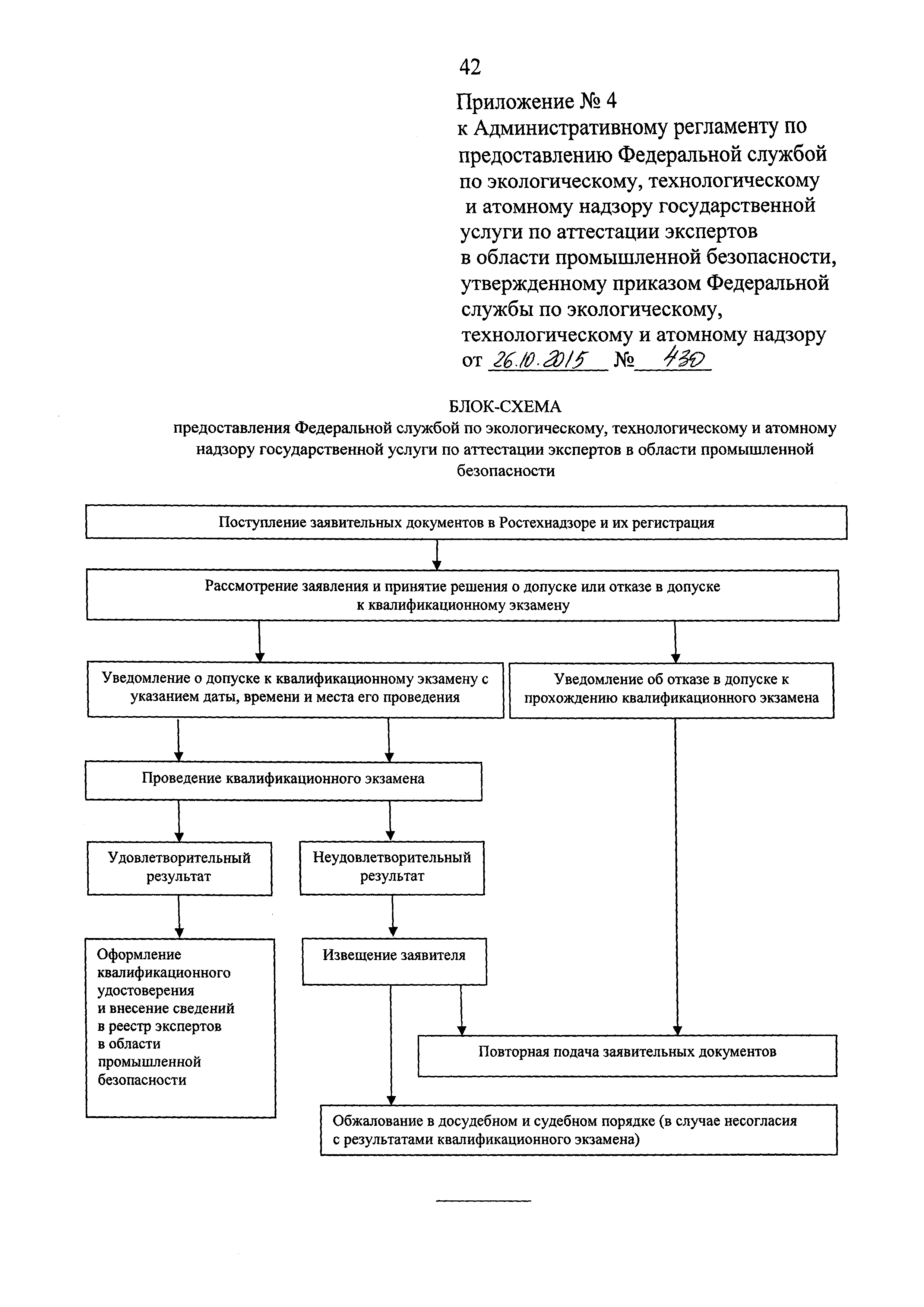
| Оглавление: | I. Общие положения II. Стандарт предоставления государственной услуги III. Состав, последовательность и сроки выполнения административных процедур (действий), требования к порядку их выполнения, в том числе особенности выполнения административных процедур (действий) в электронной форме IV. Формы контроля за предоставлением государственной услуги V. Досудебный (внесудебный) порядок обжалования решений и действий (бездействия) Ростехнадзора, предоставляющего государственную услугу, а также его должностных лиц Приложение № 1. Заявление об аттестации эксперта в области промышленной безопасности Приложение № 2. Заявление о переоформлении квалификационного удостоверения эксперта в области промышленной безопасности и о внесении изменений в реестр экспертов Приложение № 3. Заявление о выдаче дубликата квалификационного удостоверения эксперта в области промышленной безопасности Приложение № 4. Блок-схема предоставления Федеральной службой по экологическому, технологическому и атомному надзору государственной услуги по аттестации экспертов в области промышленной безопасности Приложение № 5. Квалификационное удостоверение эксперта в области промышленной безопасности |
| Утверждён: | 26.10.2015 Федеральная служба по экологическому, технологическому и атомному надзору (430) |
| Издан: | Официальный интернет-портал правовой информации (www.pravo.gov.ru) (от 10.02.2016 г. Номер опубликования: 0001201602100018) |
| Список изменений: |
|
| Нормативные ссылки: |
|












































Текстовое изменение № 1 от 12.08.2017




































































































































































































































