Скачать Административный регламент Федеральной службы по надзору в сфере природопользования по исполнению государственной функции по контролю и надзору за соблюдением в пределах своей компетенции требований законодательства Российской Федерации в области охраны атмосферного воздухаДата актуализации: 01.01.2021 |
| Статус: | утратил силу |
| Название рус.: | Административный регламент Федеральной службы по надзору в сфере природопользования по исполнению государственной функции по контролю и надзору за соблюдением в пределах своей компетенции требований законодательства Российской Федерации в области охраны атмосферного воздуха |
| Дата добавления в базу: | 01.02.2017 |
| Дата актуализации: | 01.01.2021 |
| Дата введения: | 19.06.2009 |
| Дата окончания срока действия: | 01.07.2017 |
| Область применения: | Административный регламент Федеральной службы по надзору в сфере природопользования по исполнению государственной функции по контролю и надзору за соблюдением в пределах своей компетенции требований законодательства Российской Федерации в области охраны атмосферного воздуха разработан в целях повышения качества и эффективности проверок, проводимых государственными инспекторами по охране природы, защиты прав юридических лиц и индивидуальных предпринимателей при проведении государственного контроля и надзора за соблюдением требований законодательства Российской Федерации в области охраны атмосферного воздуха, и определяет сроки и последовательность действий (административных процедур) при осуществлении полномочий по государственному контролю за соблюдением требований законодательства Российской Федерации в области охраны атмосферного воздуха |
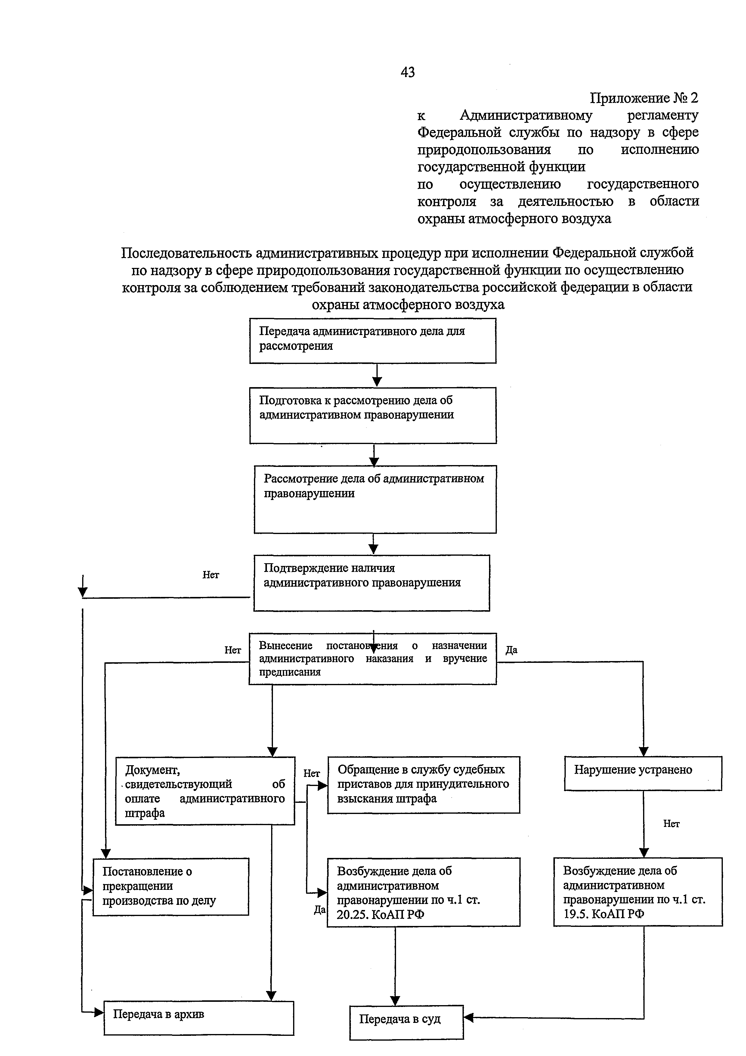
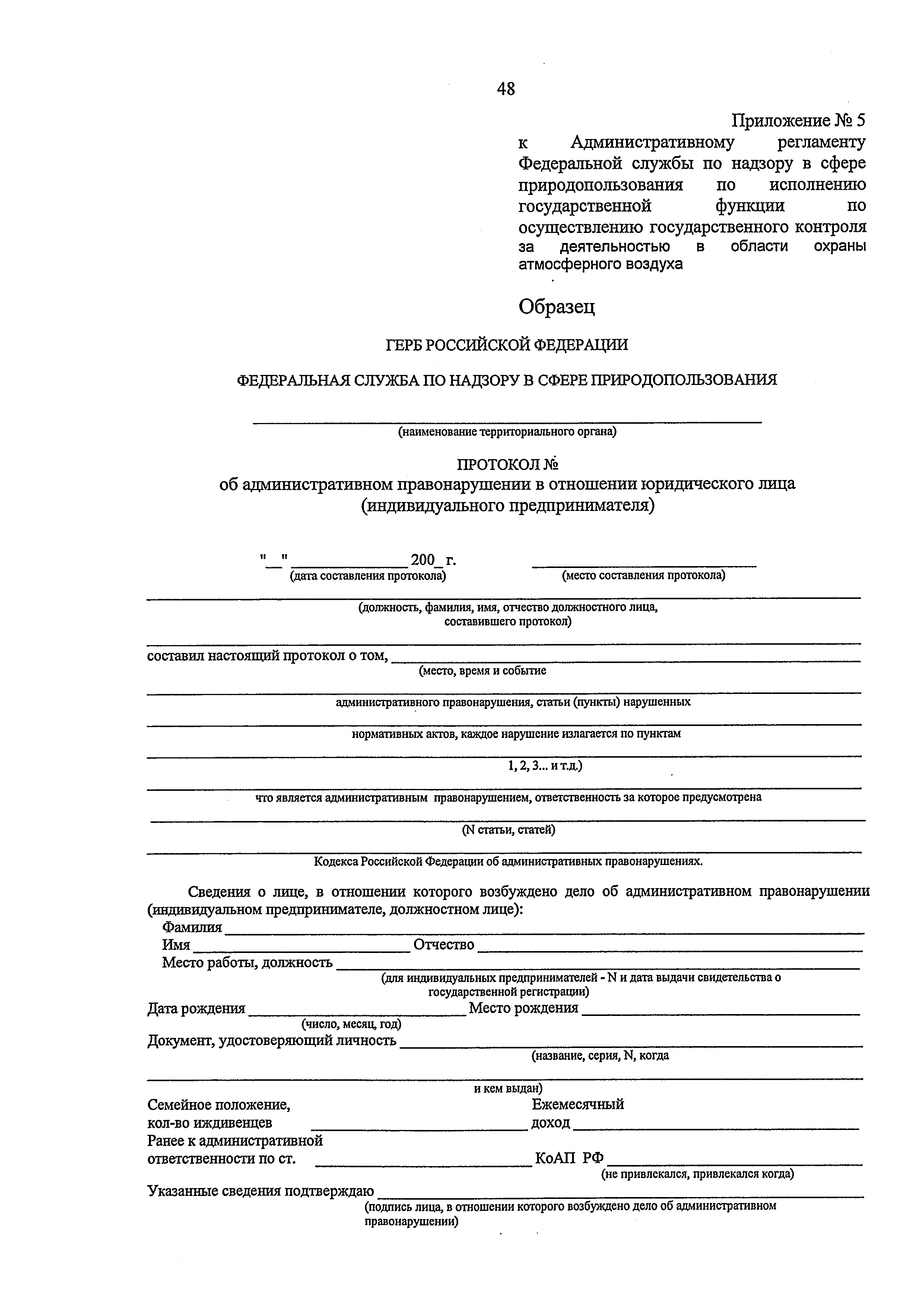
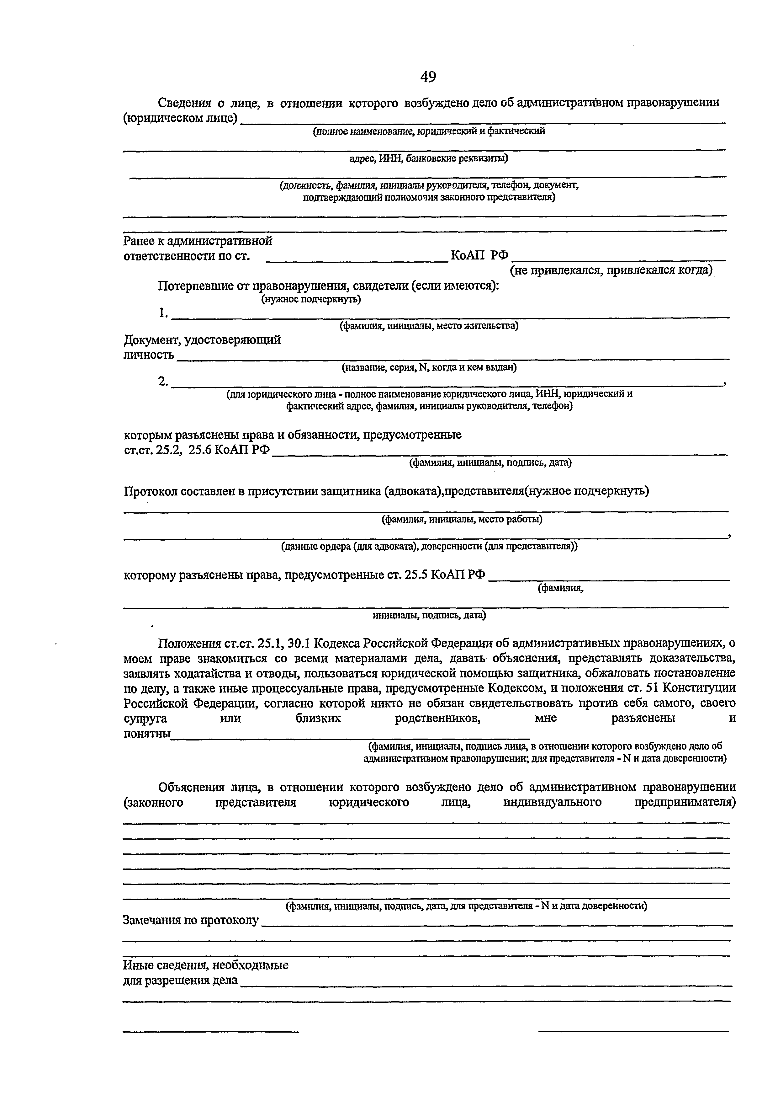
| Оглавление: | I. Общие положения II. Требования к порядку исполнения государственной функции III. Административные процедуры IV. Порядок и формы контроля за исполнением государственной функции V. Порядок обжалования действий (бездействия) должностного лица, а также принимаемого им решения при исполнении государственной функции Приложение № 1 Приложение № 2 Приложение № 3 Приложение № 4 Приложение № 5 Приложение № 6 Приложение № 7 Приложение № 8 Приложение № 9 |
| Утверждён: | 31.10.2008 Минприроды России (Russian Federation Minprirody 300) |
| Издан: | Бюллетень нормативных актов федеральных органов исполнительной власти (от 08.06.2009 г. № 23) |
| Список изменений: |
|
| Нормативные ссылки: |
|

























































Текстовое изменение № 1 от 19.02.2010









