Скачать ГОСТ Р 56845-2015 Информатизация здоровья. Информационное взаимодействие с персональными медицинскими приборами. Часть 20601. Прикладной профиль. Оптимизированный протокол обменаДата актуализации: 01.01.2021
|
| Обозначение: | ГОСТ Р 56845-2015 |
| Обозначение англ: | GOST R 56845-2015 |
| Статус: | заменен |
| Название рус.: | Информатизация здоровья. Информационное взаимодействие с персональными медицинскими приборами. Часть 20601. Прикладной профиль. Оптимизированный протокол обмена |
| Название англ.: | Health informatics. Point-of-care medical device communication. Part 20601. Application profile. Optimized exchange protocol |
| Дата добавления в базу: | 01.02.2017 |
| Дата актуализации: | 01.01.2021 |
| Дата введения: | 01.11.2016 |
| Дата окончания срока действия: | 01.05.2020 |
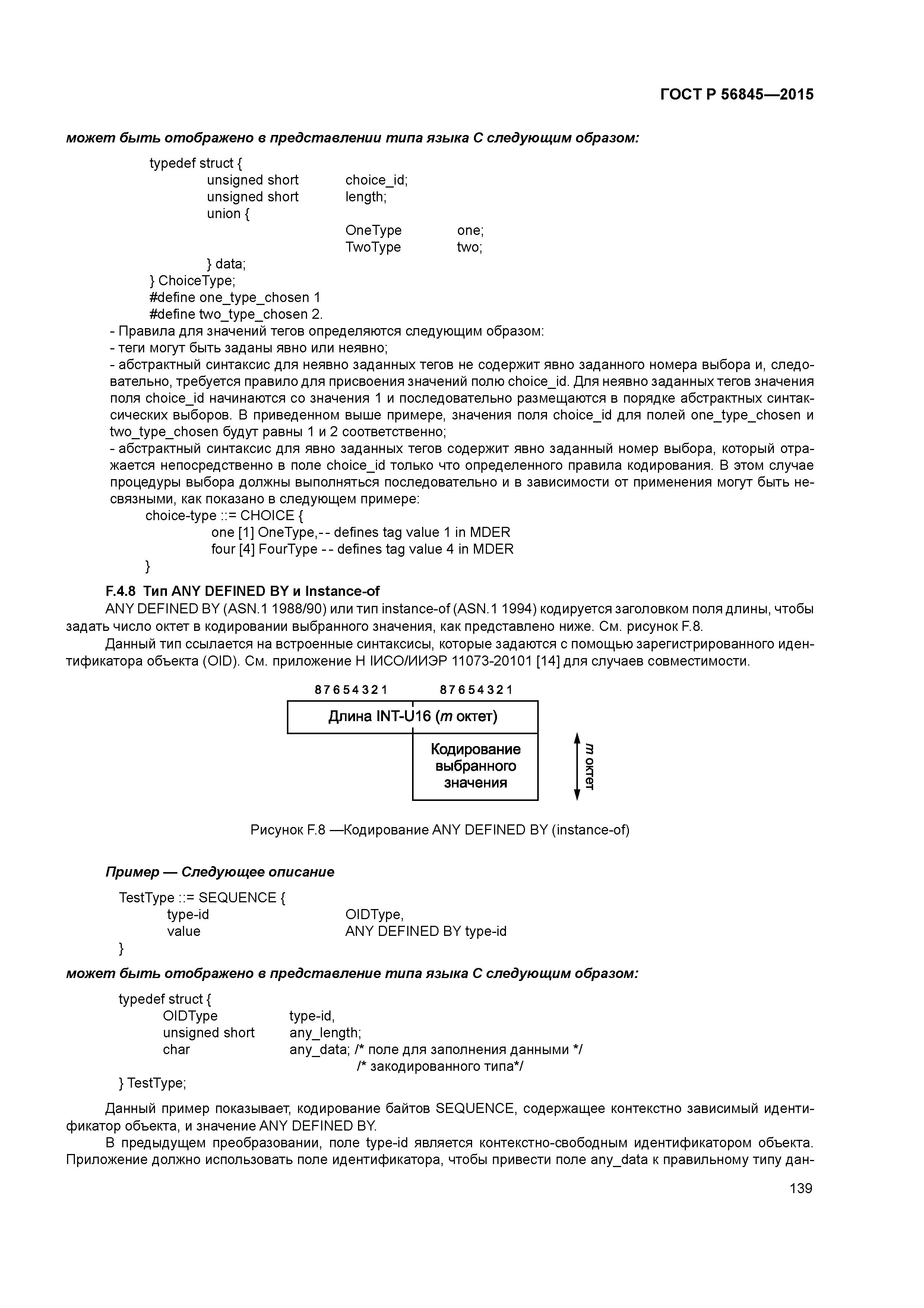
| Область применения: | В рамках контекста серии стандартов ИСО/ИИЭР 11073 по взаимодействию приборов стандарт определяет общую структуру для создания абстрактной модели персональных медицинских данных, доступных в транспортно-независимом синтаксисе передачи, требуемого для установления логических соединений между системами и для обеспечения средств представления и сервисов, необходимых для осуществления задач связи. По мере возможности протокол оптимизируется в соответствии с персональными медицинскими требованиями использования и улучшается за счет общепринятых методов и средств. |
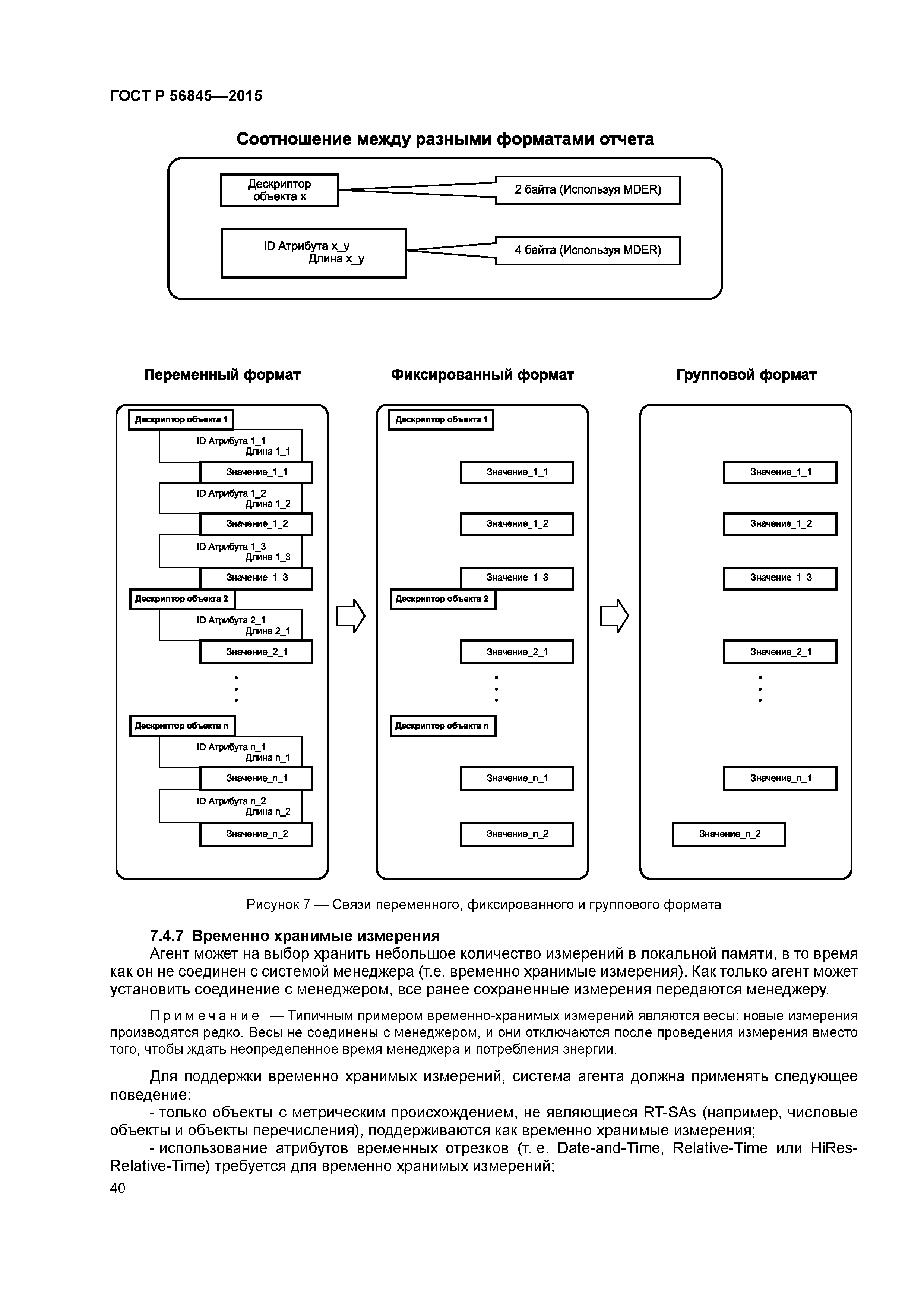
| Оглавление: | 1 Обзор 1.1 Область применения 1.2 Цель 1.3 Контекст 2 Нормативные ссылки 3 Термины, определения и сокращения 3.1 Термины и определения 3.2 Сокращения 4 Основные принципы 5 Введение в персональные медицинские приборы (ИИЭР 11073) 5.1 Общие положения 5.2 Информационная модель предметной области (DIM) 5.3 Сервисная модель 5.4 Коммуникационная модель 6 DIM персонального медицинского прибора 6.1 Общие положения 6.2 Использование номенклатуры 6.3 Определения классов персональных медицинских объектов 6.4 Правила расширения информационной модели 7 Сервисная модель персонального медицинского прибора 7.1 Общие положения 7.2 Сервис ассоциации 7.3 Сервисы доступа к объектам 7.4 Специальная реализация доступа к объекту сервисов EVENT REPORT для персональных медицинских приборов 8 Модель коммуникаций 8.1 Общие положения 8.2 Контекст системы 8.3 Коммуникационные характеристики 8.4 Конечные автоматы 8.5 Процедура соединения 8.6 Неассоциированная процедура 8.7 Ассоциированная процедура 8.8 Процедура конфигурирования 8.9 Процедура Выполнения 8.10 Процедура Завершения ассоциации 8.11 Кодирование сообщений 8.12 Координация времени 9 Модель соответствия 9.1 Применимость 9.2 Спецификация соответствия 9.3 Декларации о соответствии реализации (ICS) 9.4 Общее соответствие 9.5 Дополнения к устройствам/расширения ICS Приложение А (обязательное) Определения языка ASN.1 Приложение В (справочное) Пример спецификации шкалы и диапазона Приложение С (справочное) Концепция РМ-блока Приложение D (справочное) Типы транспортного профиля Приложение Е (обязательное) Таблицы состояний Приложение F (обязательное) Правила кодирования медицинских приборов (MDER) Приложение G (справочное) Закодированные определения типов данных Приложение Н (справочное) Примеры Приложение I (обязательное) Коды номенклатуры Приложение J (справочное) История появления и изменения Приложение ДА (справочное) Сведения о соответствии ссылочных международных стандартов и документов национальным стандартам Российской Федерации Библиография |
| Разработан: | ООО Корпоративные электронные системы ФГБУ ЦНИИОИЗ Минздрава |
| Утверждён: | 28.12.2015 Федеральное агентство по техническому регулированию и метрологии (2233-ст) |
| Издан: | Стандартинформ (2016 г. ) |
| Нормативные ссылки: |
|
















































































































































































