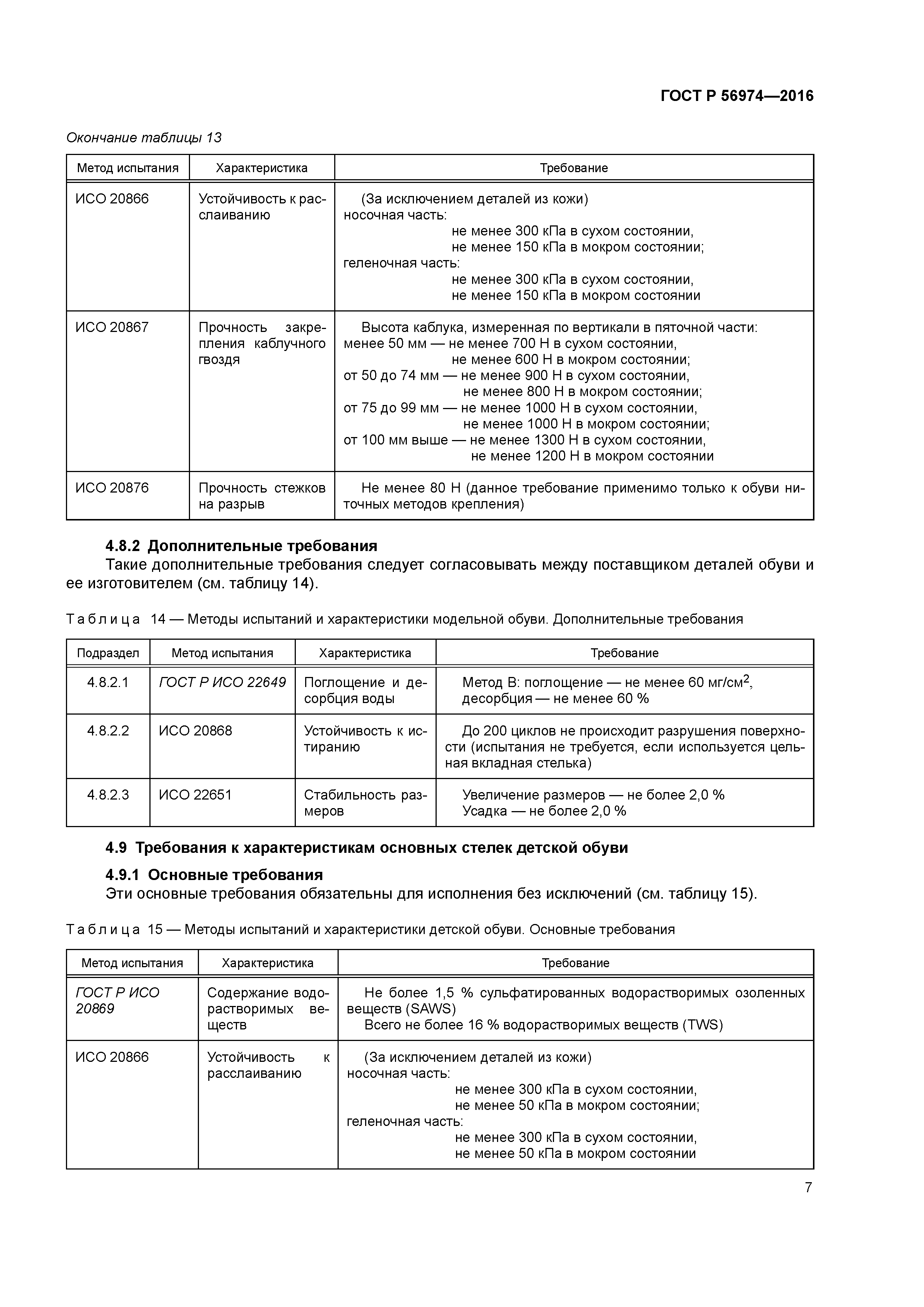
Скачать ГОСТ Р 56974-2016 Обувь. Требования к характеристикам деталей обуви. Основные стелькиДата актуализации: 01.01.2021
|
| Обозначение: | ГОСТ Р 56974-2016 |
| Обозначение англ: | GOST R 56974-2016 |
| Статус: | введен впервые |
| Название рус.: | Обувь. Требования к характеристикам деталей обуви. Основные стельки |
| Название англ.: | Footwear. Performance requirements for components for footwear. Insoles |
| Дата добавления в базу: | 01.02.2017 |
| Дата актуализации: | 01.01.2021 |
| Дата введения: | 01.07.2017 |
| Область применения: | Стандарт устанавливает требования к характеристикам деталей обуви - основных стелек (не в готовой обуви), независимо от материала, с целью оценки их пригодности для конечного использования. Стандарт также устанавливает методы, используемые для оценки соответствия предъявленным требованиям. Стандарт применим к основным стелькам обуви всех видов, приведенных в разделе 3. Стандарт предназначен для использования изготовителем и поставщиком обуви в качестве нормативного документа. Стандарт не предназначен для использования в качестве ссылочного нормативного документа для сертификации третьей стороной готовой обуви, поступающей к потребителю. |
| Оглавление: | 1 Область применения 2 Нормативные ссылки 3 Термины и определения 4 Требования 5 Маркирование и этикетирование Приложение ДА (справочное) Сведения о соответствии национальных стандартов Российской Федерации и действующих в этом качестве межгосударственных стандартов международным стандартам, использованным в качестве ссылочных в примененном международном документе |
| Разработан: | ОАО ВНИИС ТК 412 Текстиль |
| Утверждён: | 20.06.2016 Федеральное агентство по техническому регулированию и метрологии (652-ст) |
| Издан: | Стандартинформ (2016 г. ) |
| Нормативные ссылки: |
|














