Скачать Руководство по безопасности Методические рекомендации по проведению количественного анализа риска аварий на опасных производственных объектах магистральных нефтепроводов и нефтепродуктопроводовДата актуализации: 01.01.2021 |
| Статус: | действует |
| Название рус.: | Руководство по безопасности "Методические рекомендации по проведению количественного анализа риска аварий на опасных производственных объектах магистральных нефтепроводов и нефтепродуктопроводов" |
| Дата добавления в базу: | 01.02.2017 |
| Дата актуализации: | 01.01.2021 |
| Дата введения: | 17.06.2016 |
| Область применения: | Руководство по безопасности содержит порядок количественной и балльной оценки риска и определения степени опасности промышленных аварий на линейных частях и площадочных сооружениях опасных производственных объектов магистральных нефте- и нефтепродуктопроводов, перечень основных показателей риска аварии для этих частей и сооружений, а также методики расчета или оценки таких показателей. Руководство по безопасности распространяется на указанные объекты, на которых обращаются опасные вещества — нефть и нефтепродукты (бензины, дизельные топлива и авиационные керосины). |
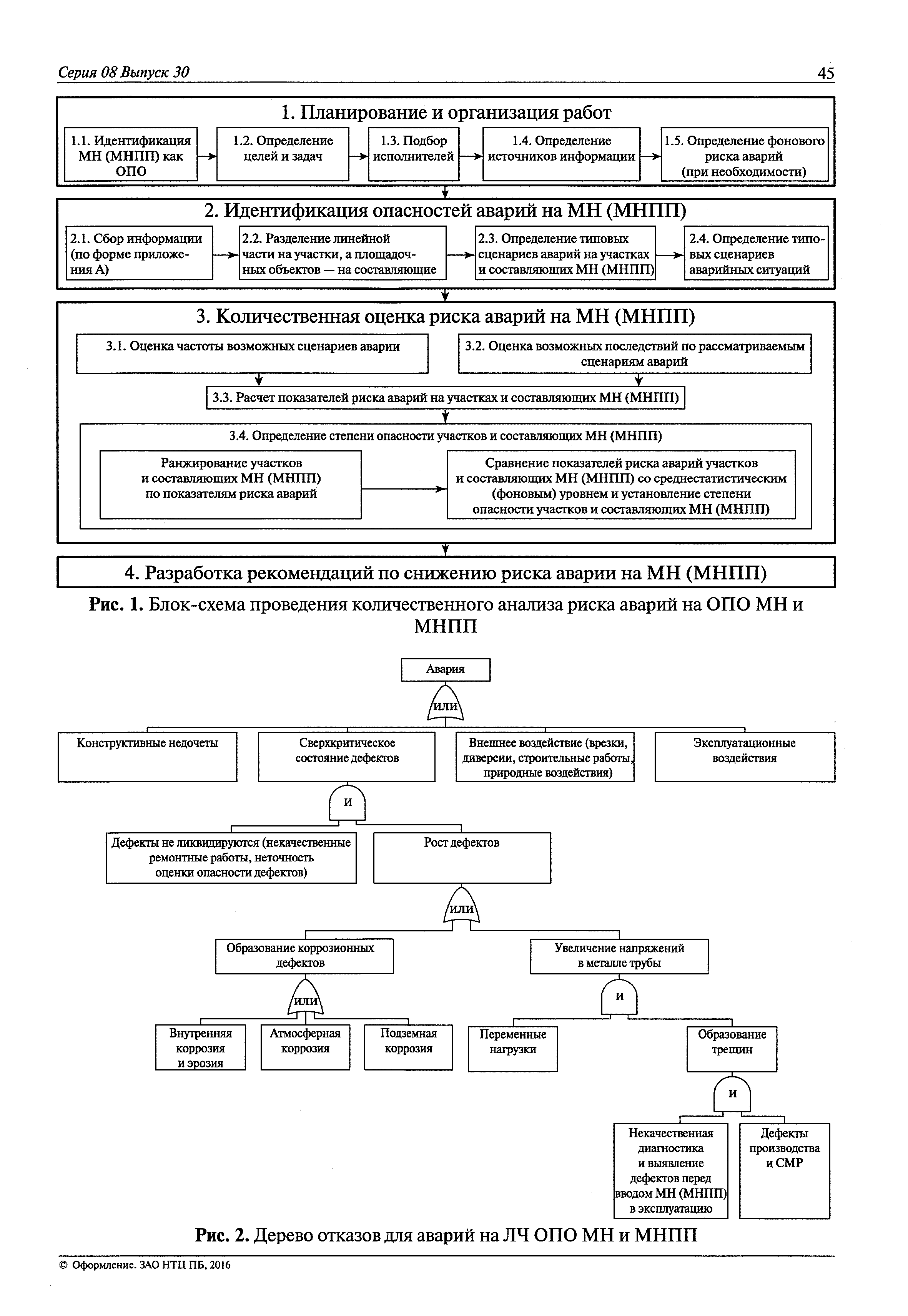
| Оглавление: | I Общие положения II Методические принципы оценки риска авария на опасных производственных объектах магистральных нефтепроводов и магистральных нефтепродуктопроводов III Этапы проведения количественного анализа риска аварий на опасных производственных объектах магистральных нефтепроводов и магистральных нефтепродуктопроводов IV Типовые сценарии аварий на площадочных сооружениях опасных производственных объектов магистральных нефтепроводов и магистральных нефтепродуктопроводов V Количественная оценка риска аварий на опасных производственных объектах магистральных нефтепроводов и магистральных нефтепродуктопроводов. Оценка частоты возможных сценариев аварий VI Оформление результатов количественного анализа риска аварий на опасных производственных объектах магистральных нефтепроводов и магистральных нефтепродуктопроводов Приложение 1. Перечень используемых сокращений и обозначений Приложение 2. Термины и их определения Приложение 3. Рисунки и таблицы Приложение 4. Перечень исходной информации, необходимой для проведения количественного анализа риска аварий на ОНО МН и МНПП Приложение 5. Балльная оценка факторов влияния состояния ОНО МН и МНПП на степень риска аварий Приложение 6. Оценка частоты аварий на линейной части ОНО МН и МНПП Приложение 7. Расчет вероятных зон действия поражающих факторов аварий Приложение 8. Расчет показателей риска аварий Приложение 9. Расчет объемов выброса нефти (нефтепродуктов) и площадей разлива при авариях на линейной части ОНО МН и МНПП и площадочных сооружениях ОНО МН и МНПП |
| Утверждён: | 17.06.2016 Федеральная служба по экологическому, технологическому и атомному надзору (228) |
| Издан: | ЗАО НТЦ ПБ (2016 г. ) |
| Заменяет собой: | |
| Нормативные ссылки: |
|
















































































































