Скачать Административный регламент Министерства Российской Федерации по делам гражданской обороны, чрезвычайным ситуациям и ликвидации последствий стихийных бедствий исполнения государственной функции по осуществлению федерального государственного надзора в области защиты населения и территорий от чрезвычайных ситуаций природного и техногенного характераДата актуализации: 01.01.2021 |
| Статус: | действует |
| Название рус.: | Административный регламент Министерства Российской Федерации по делам гражданской обороны, чрезвычайным ситуациям и ликвидации последствий стихийных бедствий исполнения государственной функции по осуществлению федерального государственного надзора в области защиты населения и территорий от чрезвычайных ситуаций природного и техногенного характера |
| Дата добавления в базу: | 01.02.2017 |
| Дата актуализации: | 01.01.2021 |
| Дата введения: | 24.07.2016 |
| Область применения: | Осуществление федерального государственного надзора в области защиты населения и территорий от чрезвычайных ситуаций природного и техногенного характера |
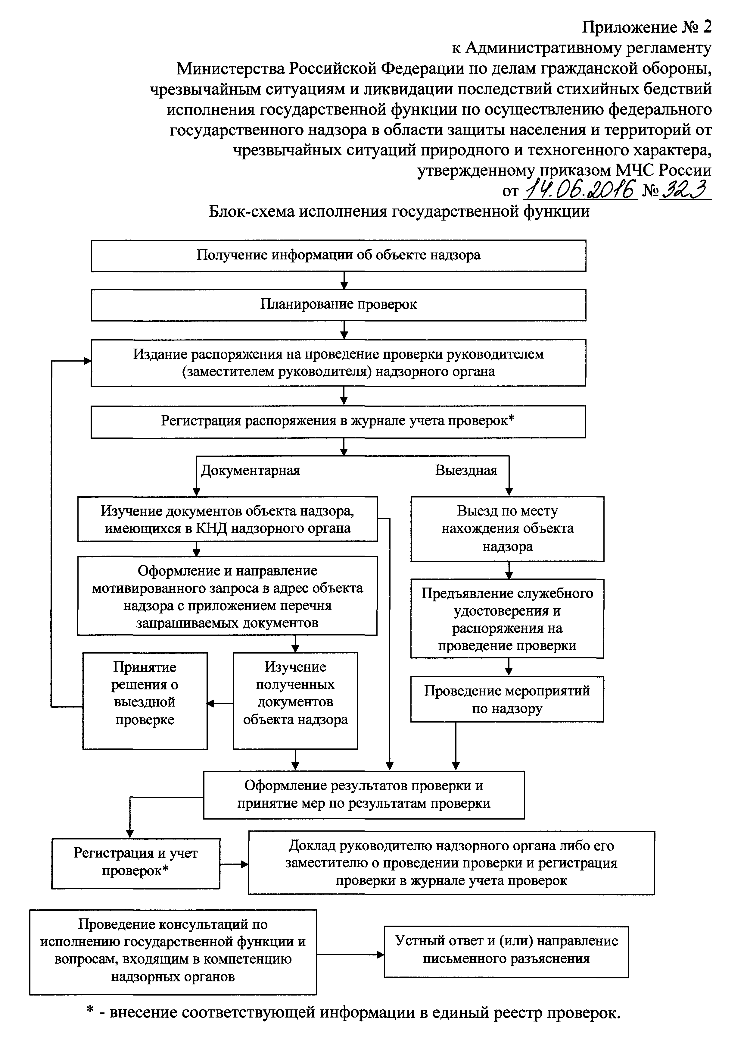
| Оглавление: | I. Общие положения II. Требования к порядку исполнения государственной функции III. Состав, последовательность и сроки выполнения административных процедур (действий), требования к порядку их выполнения, в том числе особенности выполнения административных процедур (действий) в электронной форме IV. Порядок и формы контроля за исполнением государственной функции V. Досудебный (внесудебный) порядок обжалования решений и действий (бездействия) надзорных органов, а также их должностных лиц Приложение № 1. Перечень органов, осуществляющих федеральный государственный надзор в области защиты населения и территорий от чрезвычайных ситуаций природного и техногенного характера Приложение № 2. Блок-схема исполнения государственной функции Приложение № 3. Журнал учета объектов надзора Приложение № 4. План проведения плановых проверок Приложение № 5. Журнал учета проверок Приложение № 6. Журнал учета дел об административных правонарушениях Приложение № 7. Учетная карточка личной консультации гражданина |
| Утверждён: | 14.06.2016 МЧС России (Russian Federation MChS 323) |
| Издан: | Официальный интернет-портал правовой информации (www.pravo.gov.ru) (от 13.07.2016 г. Номер опубликования: 0001201607130010) |
| Список изменений: |
|
| Нормативные ссылки: |
|


























































Текстовое изменение № 2 от 18.03.2018



















































































