Скачать ОСТ 37.001.032-72 Замки и приводы замков дверей и багажников автомобилей и автобусов. Технические требования и методы испытанийДата актуализации: 01.01.2021
|
| Обозначение: | ОСТ 37.001.032-72 |
| Обозначение англ: | OST 37.001.032-72 |
| Статус: | действует |
| Название рус.: | Замки и приводы замков дверей и багажников автомобилей и автобусов. Технические требования и методы испытаний |
| Дата добавления в базу: | 01.02.2017 |
| Дата актуализации: | 01.01.2021 |
| Дата введения: | 01.07.1973 |
| Область применения: | Стандарт распространяется на замки и приводы замков дверей и багажников легковых и грузовых автомобилей и автобусов и устанавливает технические требования и методы испытаний. |
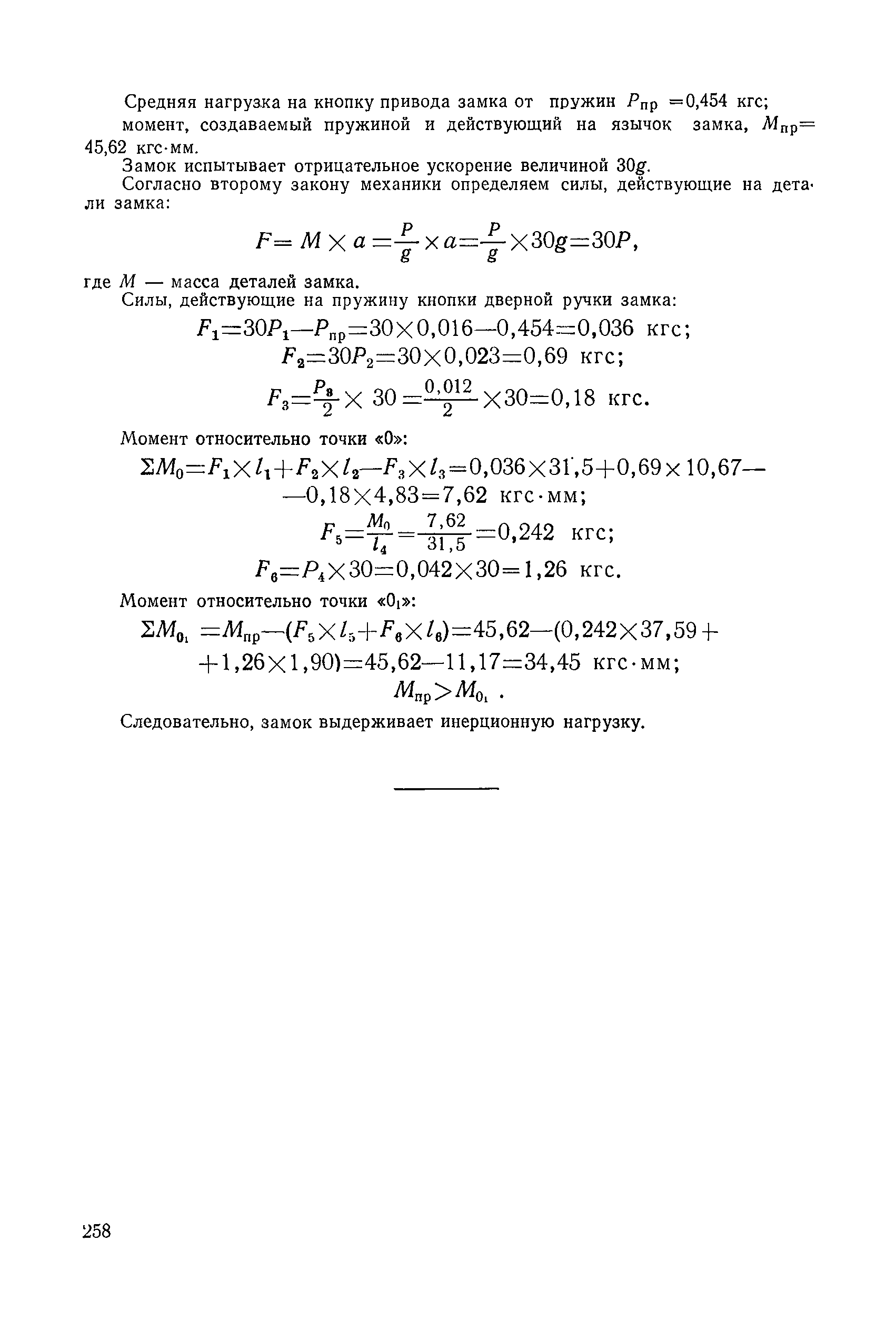
| Оглавление: | 1 Общие технические требования 2 Методы испытаний и правила приемки 3 Долговечность и гарантия 4 Маркировка, упаковка, транспортирование и хранение Приложение 1. Термины и их определения, принятые в стандарте Приложение 2 (рекомендуемое). Пример расчета замка двери на возможность открытия под действием инерционной нагрузки |
| Утверждён: | 29.09.1972 Министерство автомобильной промышленности СССР (5) |
| Издан: | Издательство стандартов (1974 г. ) |

















