Скачать Административный регламент Федеральной службы по надзору в сфере природопользования по предоставлению государственной услуги по лицензированию деятельности по сбору, транспортированию, обработке, утилизации, обезвреживанию, размещению отходов I - IV классов опасностиДата актуализации: 01.01.2021 |
| Статус: | действует |
| Название рус.: | Административный регламент Федеральной службы по надзору в сфере природопользования по предоставлению государственной услуги по лицензированию деятельности по сбору, транспортированию, обработке, утилизации, обезвреживанию, размещению отходов I - IV классов опасности |
| Дата добавления в базу: | 01.02.2017 |
| Дата актуализации: | 01.01.2021 |
| Дата введения: | 09.08.2016 |
| Область применения: | Административный регламент Федеральной службы по надзору в сфере природопользования по предоставлению государственной услуги по лицензированию деятельности по сбору, транспортированию, обработке, утилизации, обезвреживанию, размещению отходов I - IV классов опасности определяет сроки и последовательность административных процедур (действий) Росприроднадзора и его территориальных органов, порядок взаимодействия между структурными подразделениями Росприроднадзора и территориальными органами Росприроднадзора, их должностными лицами, взаимодействия Росприроднадзора и территориальных органов Росприроднадзора с заявителями, иными органами государственной власти при предоставлении государственной услуги |
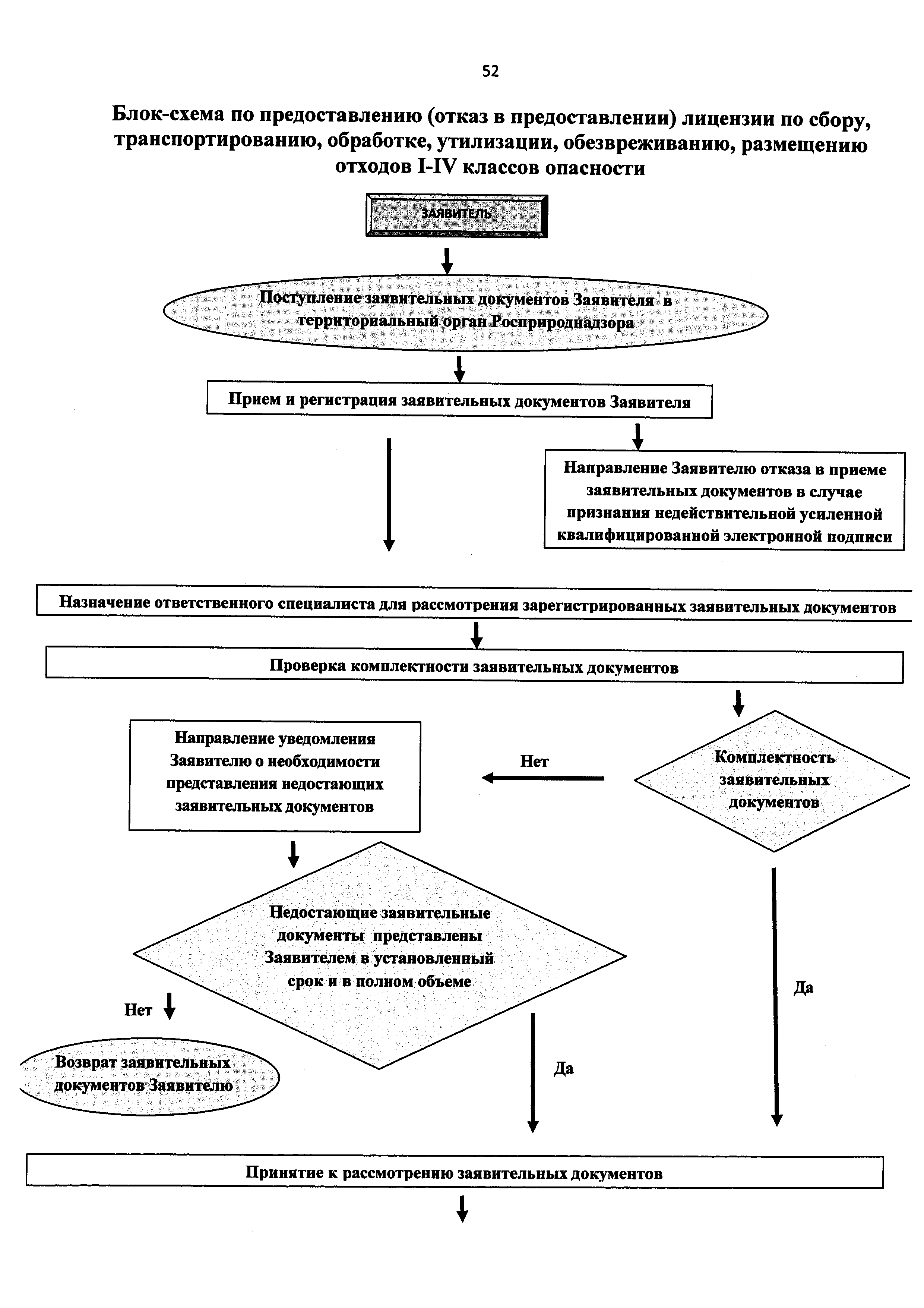
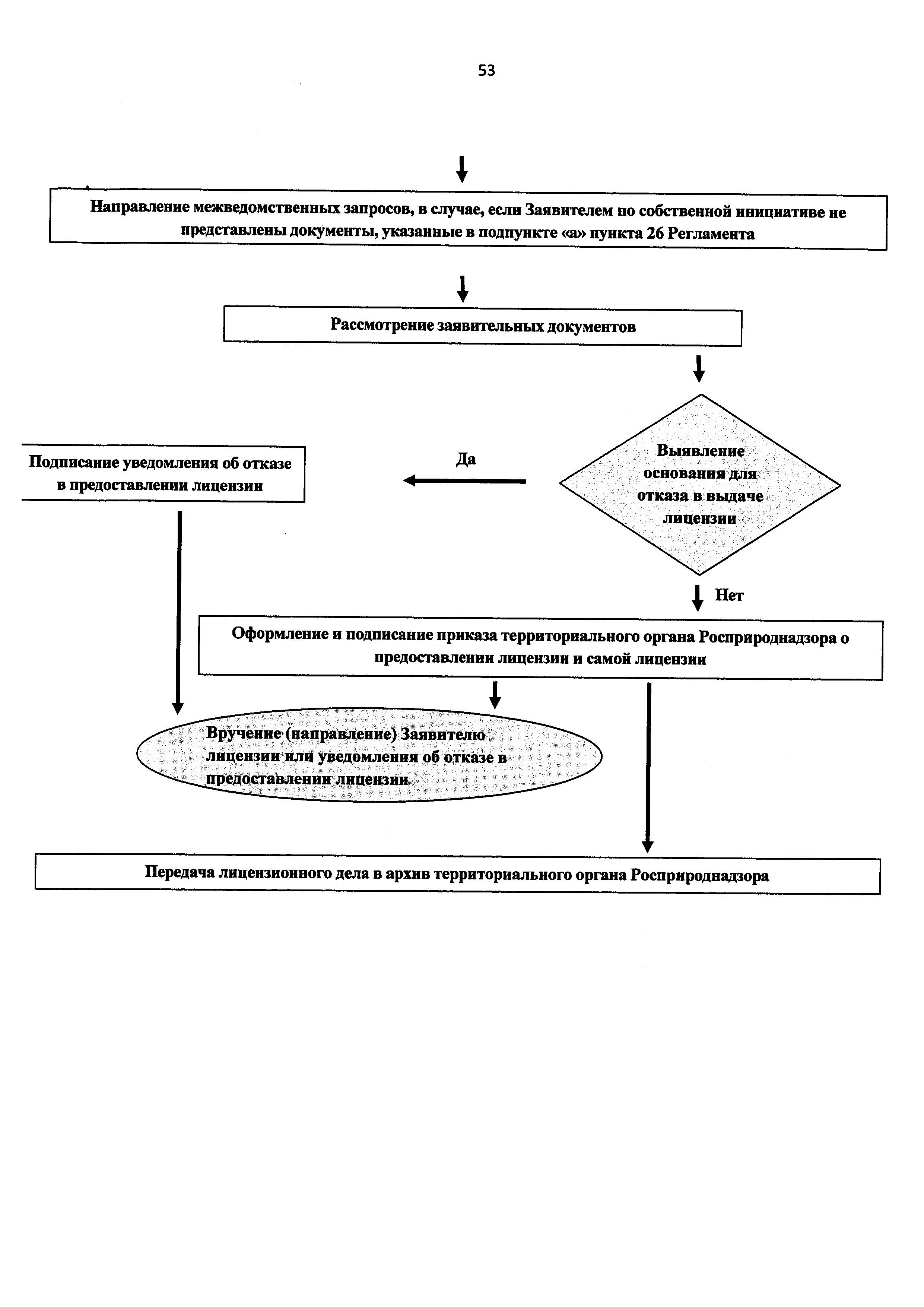
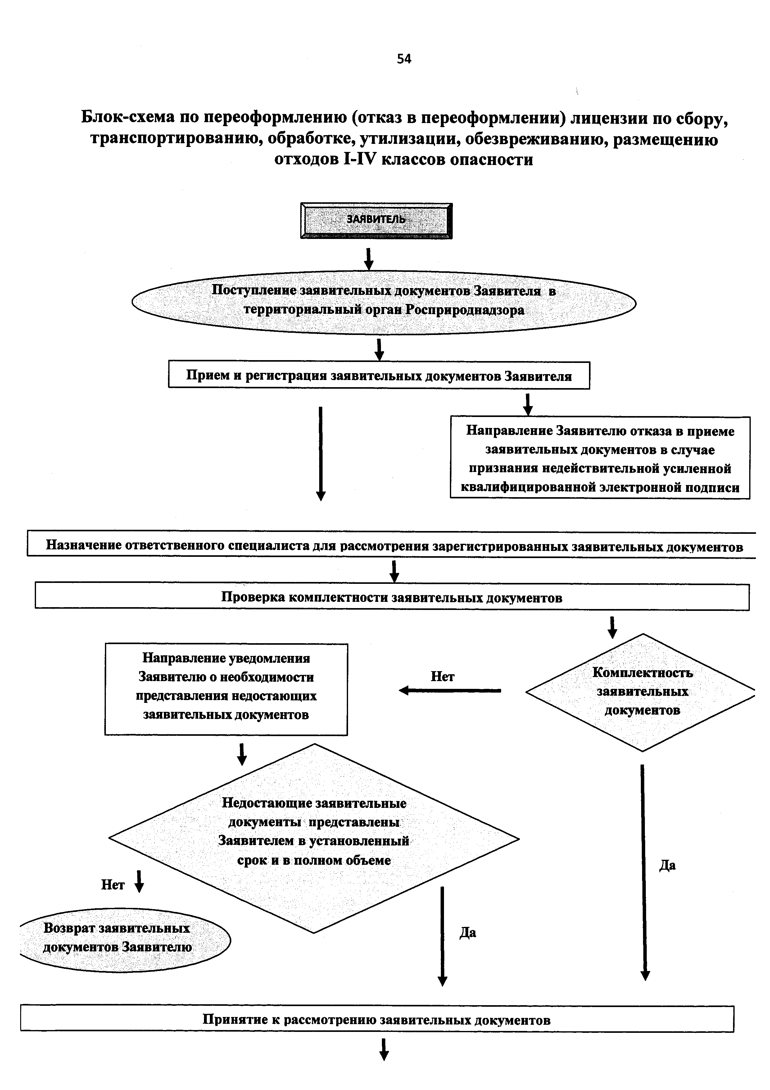
| Оглавление: | I. Общие положения II. Стандарт предоставления государственной услуги III. Состав, последовательность и сроки выполнения административных процедур, требования к порядку их выполнения IV. Формы контроля за предоставлением государственной услуги V. Досудебный (внесудебный) порядок обжалования решений и действий (бездействия) федерального органа исполнительной власти, предоставляющего государственную услугу, а также его должностных лиц Приложение № 1. Почтовые адреса территориальных органов Росприроднадзора для направления заявления и документов, необходимых для получения государственной услуги Приложение № 2. Условные обозначения Блок-схема по предоставлению (отказ в предоставлении) лицензии по сбору, транспортированию, обработке, утилизации, обезвреживанию, размещению отходов I - IV классов опасности Блок-схема по переоформлению (отказ в переоформлении) лицензии по сбору, транспортированию, обработке, утилизации, обезвреживанию, размещению отходов I - IV классов опасности Блок-схема по выдаче дубликата или копии лицензии по сбору, транспортированию, обработке, утилизации, обезвреживанию, размещению отходов I - IV классов опасности Блок-схема по прекращению действия лицензии по сбору, транспортированию, обработке, утилизации, обезвреживанию, размещению отходов I - IV классов опасности Блок-схема по предоставлению сведений о конкретной лицензии по сбору, транспортированию, обработке, утилизации, обезвреживанию, размещению отходов I - IV классов опасности Блок-схема по формированию и направлению межведомственных запросов в государственные органы и организации, в распоряжении которых находятся документы и сведения, необходимые для предоставления государственной услуги |
| Утверждён: | 01.07.2016 Министерство природных ресурсов и экологии Российской Федерации (379) |
| Издан: | Официальный интернет-портал правовой информации (www.pravo.gov.ru) (от 29.07.2016 г. Номер опубликования: 0001201607290020) |
| Нормативные ссылки: |
|



























































