Скачать Рекомендации по проектированию и изготовлению ячеистобетонных конструкций, армированных каркасами из волнообразных сетокДата актуализации: 01.01.2021 |
| Статус: | действует |
| Название рус.: | Рекомендации по проектированию и изготовлению ячеистобетонных конструкций, армированных каркасами из волнообразных сеток |
| Дата добавления в базу: | 01.02.2017 |
| Дата актуализации: | 01.01.2021 |
| Область применения: | Рекомендации распространяются на проектирование и изготовление однослойных стеновых панелей, крупных блоков и панелей покрытий из ячеистого бетона для строительства промышленных и гражданских зданий, изготовляемых в индивидуальных формах и резательной технологии. |
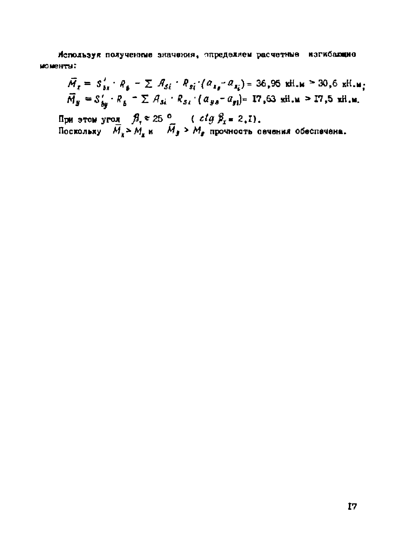
| Оглавление: | 1. Общие положения 2. Проектирование конструкций, армированных каркасами из волнообразных сеток 3. Конструктивные особенности каркасов с поперечной волнообразно изогнутой арматурой 4. Изготовление арматурных каркасов 5. Правила приемки и методы испытания каркасов 6. Нанесение антикоррозионного покрытия на каркасы 7. Хранение и транспортирование каркасов 8. Установка каркасов в форму 9. Распалубка, кантование и транспортирование конструкций Приложение 1. Пример расчета стеновой панели промышленных зданий на косой изгиб Приложение 2. Схема приспособления для изгиба поперечных стержней |
| Разработан: | ВНИИстром им. П.П. Будникова Минстройматериалов СССР НИИЖБ |
| Утверждён: | 21.02.1985 ГУП НИИЖБ |
| Издан: | НИИЖБ (1985 г. ) |
| Нормативные ссылки: |
|


















