Скачать ГОСТ Р МЭК 61883-5-2016 Аудио-/видеоаппаратура бытового назначения. Цифровой интерфейс. Часть 5. Передача данных SDL-DVCRДата актуализации: 01.01.2021
|
| Обозначение: | ГОСТ Р МЭК 61883-5-2016 |
| Обозначение англ: | GOST R IEC 61883-5-2016 |
| Статус: | введен впервые |
| Название рус.: | Аудио-/видеоаппаратура бытового назначения. Цифровой интерфейс. Часть 5. Передача данных SDL-DVCR |
| Название англ.: | Consumer audio/video equipment. Digital interface. Part 5. SDL-DVCR data transmission |
| Дата добавления в базу: | 01.02.2017 |
| Дата актуализации: | 01.01.2021 |
| Дата введения: | 01.11.2017 |
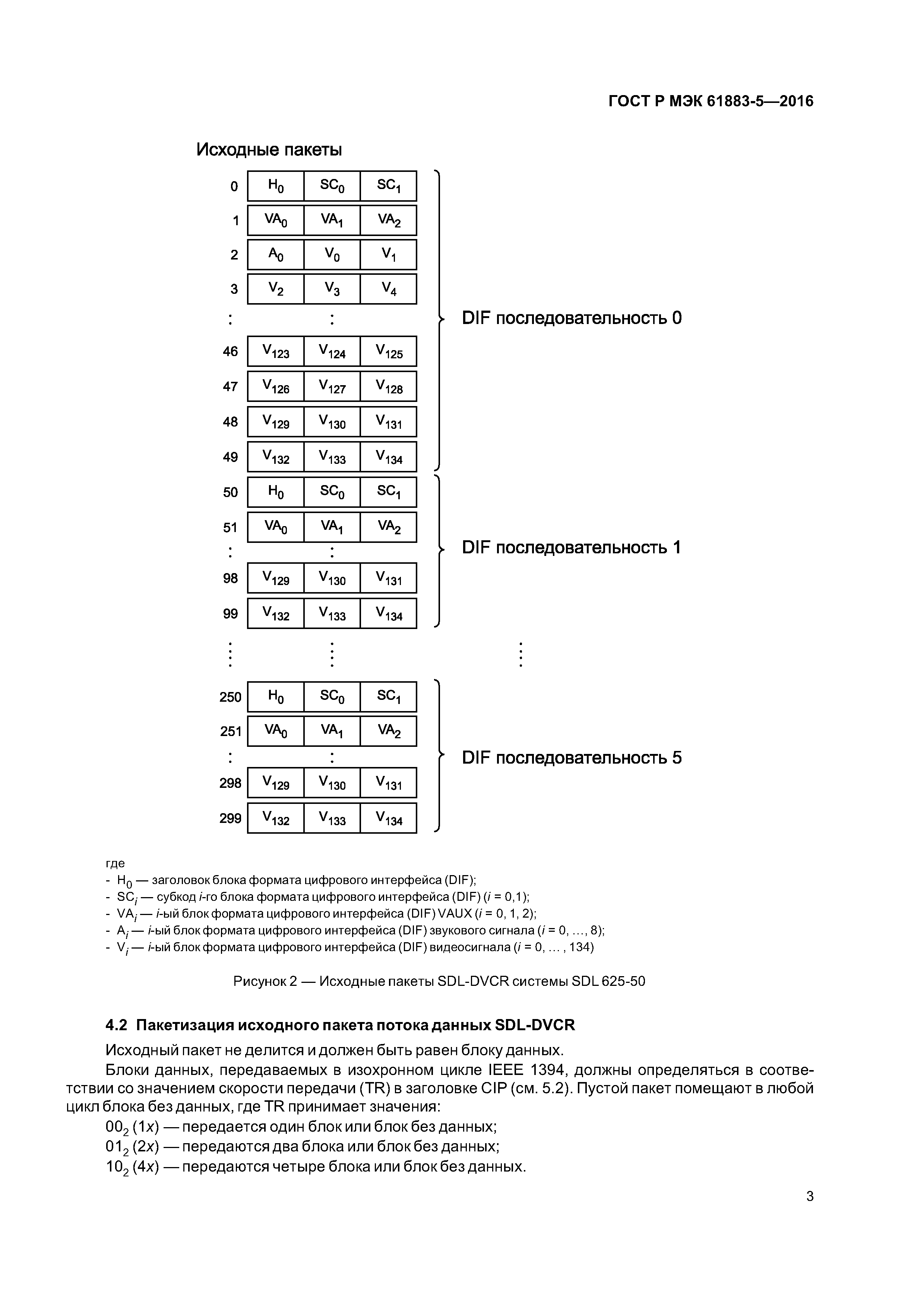
| Область применения: | Стандарт устанавливает формат пакета и синхронизацию передачи данных цифрового кассетного видеомагнитофона с режимом высокой степени сжатия со стандартной четкостью изображения (SDL-DVCR). В стандарте определены технические требования к пакету стандарта IEEE 1394, заголовку общего изохронного пакета (CIP) для телевизионных систем SDL525-60 и SDL625-50 и синхронизации передачи. |
| Оглавление: | 1 Область применения 2 Нормативные ссылки 3 Сокращения 4 Построение пакета данных IЕЕЕ 1394 5 Заголовок СIР Приложение ДА (справочное) Сведения о соответствии ссылочных международных стандартов национальным стандартам Российской Федерации (и действующим в этом качестве межгосударственным стандартам) Библиография |
| Разработан: | АНО НТЦ СЭ ИСЭП |
| Утверждён: | 20.10.2016 Федеральное агентство по техническому регулированию и метрологии (1451-ст) |
| Издан: | Стандартинформ (2016 г. ) |
| Нормативные ссылки: |













