Скачать ГОСТ Р МЭК 61883-7-2016 Аудио-/видеоаппаратура бытового назначения. Цифровой интерфейс. Часть 7. Передача системы В ITU-R BO.1294Дата актуализации: 01.01.2021
|
| Обозначение: | ГОСТ Р МЭК 61883-7-2016 |
| Обозначение англ: | GOST R IEC 61883-7-2016 |
| Статус: | введен впервые |
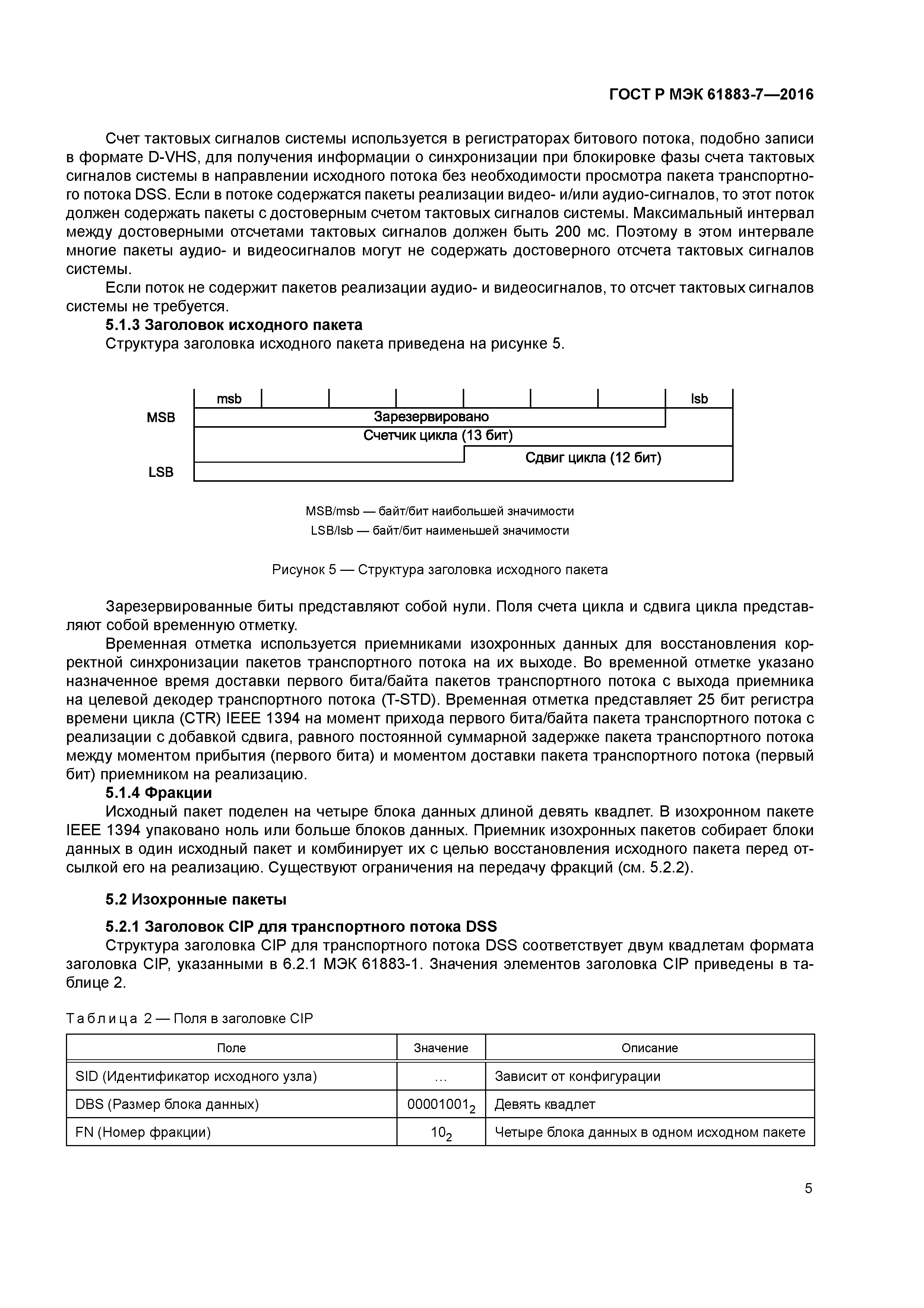
| Название рус.: | Аудио-/видеоаппаратура бытового назначения. Цифровой интерфейс. Часть 7. Передача системы В ITU-R BO.1294 |
| Название англ.: | Consumer audio/video equipment. Digital interface. Part 7. Transmission of ITU-R BO.1294 System B |
| Дата добавления в базу: | 01.02.2017 |
| Дата актуализации: | 01.01.2021 |
| Дата введения: | 01.11.2017 |
| Область применения: | Стандарт устанавливает процедуры составления пакетов (пакетизации) и передачи транспортных потоков системы В стандарта ITU-R BO.1294 (ВО.1294 МСЭ-Р) (система прямого телевизионного вещания/DSS) посредством последовательной шины IEEE 1394. |
| Оглавление: | 1 Область применения 2 Нормативные ссылки 3 Термины, определения и сокращения 3.1 Термины и определения 3.2 Сокращения 4 Транспортный поток DSS 5 Построение пакета данных IEEE 1394 5.1 Исходные пакеты 5.2 Изохронные пакеты 6 Передача изохронных пакетов 6.1 Запаздывающие пакеты Приложение А (обязательное) Размер буфера при передаче DSS Приложение ДА (справочное) Сведения о соответствии ссылочных международных стандартов национальным стандартам |
| Разработан: | АНО НТЦ СЭ ИСЭП |
| Утверждён: | 01.11.2016 Федеральное агентство по техническому регулированию и метрологии (1548-ст) |
| Издан: | Стандартинформ (2016 г. ) Стандартинформ (2019 г. ) |
| Нормативные ссылки: |














