Скачать Временная методика по расчету количества вредных веществ, выбрасываемых в атмосферу при сжигании топлива, сушке угля и плавке металла на предприятиях угольной промышленностиДата актуализации: 01.01.2021
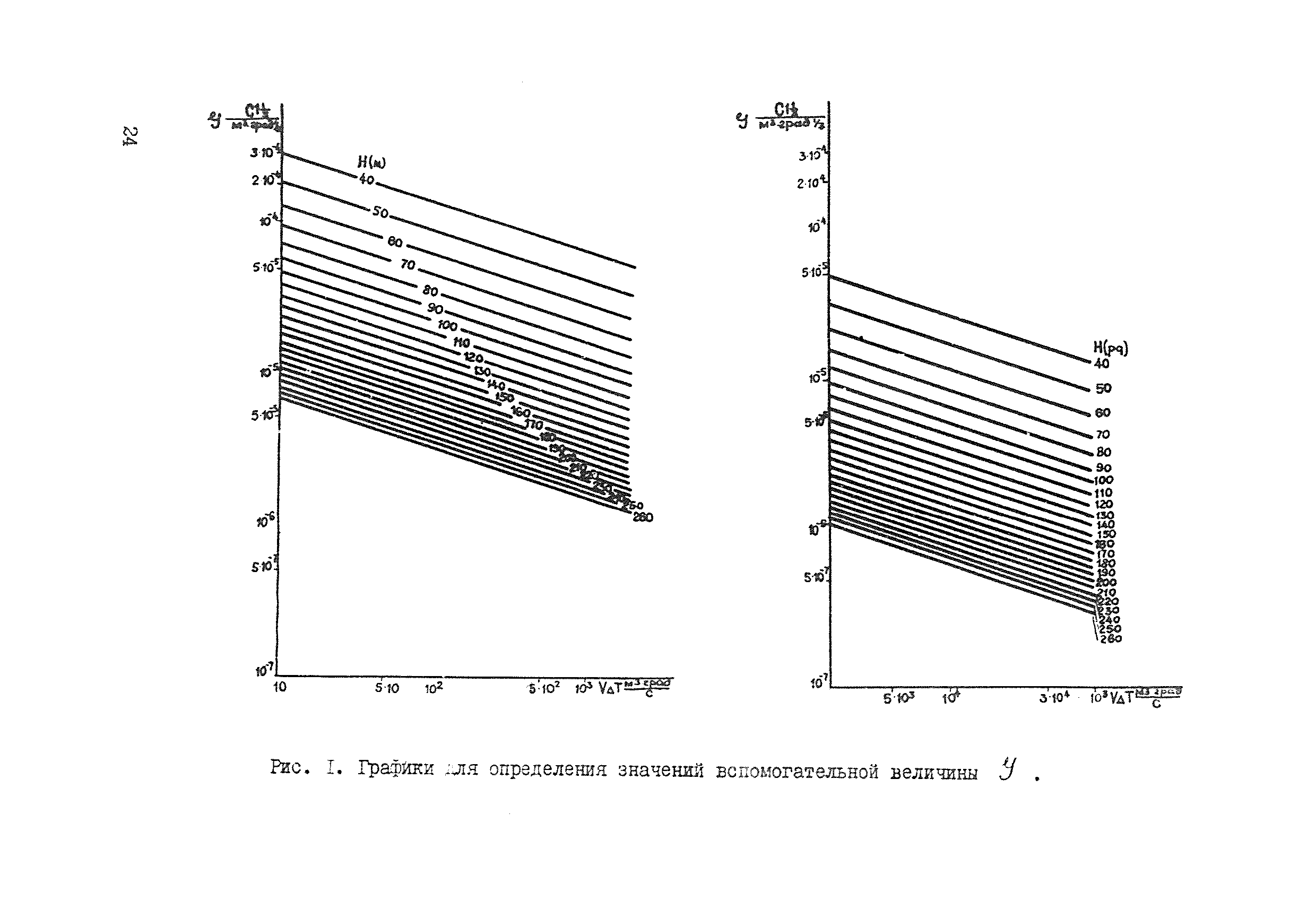
Временная методика по расчету количества вредных веществ, выбрасываемых в атмосферу при сжигании топлива, сушке угля и плавке металла на предприятиях угольной промышленности| Статус: | справочные материалы, мп, тпр | | Название рус.: | Временная методика по расчету количества вредных веществ, выбрасываемых в атмосферу при сжигании топлива, сушке угля и плавке металла на предприятиях угольной промышленности | | Дата добавления в базу: | 01.02.2017 | | Дата актуализации: | 01.01.2021 | | Область применения: | Временная методика предназначена для инженерно-технического персонала промышленных предприятий для ориентировочных расчетов количества вредных выбросов в атмосферу при сжигании топлива в промышленных и коммунально-бытовых котельных, сушке угля на обогатительных фабриках, плавке металла в электросталеплавильных печах и вагранках машиностроительных и рудоремонтных заводов | | Оглавление: | Введение 1. Расчет количества вредных веществ, выбрасываемых в атмосферу при сжигании топлива в котельных 2. Расчет количества вредных веществ, выбрасываемых в атмосферу сушильными установками обогатительных фабрик 3. Расчет количества вредных веществ, выбрасываемых в атмосферу вагранками и электросталеплавильными печами 4. Определение предельно допустимых выбросов вредных веществ от основных источников загрязнения атмосферы Приложение 1. Расчетные характеристики твердых топлив Приложение 2. Примеры расчета Рекомендуемый список литературы по вопросу расчета вредных выбросов в атмосферу от промышленных предприятий | | Разработан: | ИОТТ НИИОСуголь
| | Утверждён: | 25.03.1976 Зам. Министра угольной промышленности СССР
| | Нормативные ссылки: | |
                                              
|