Скачать ГОСТ Р 57268.5-2016 Композиты полимерные. Определение средней молекулярной массы и молекулярно-массового распределения полимеров методом эксклюзионной хроматографии. Часть 5. Метод детектирования по рассеянию светаДата актуализации: 01.01.2021
|
| Обозначение: | ГОСТ Р 57268.5-2016 |
| Обозначение англ: | GOST R 57268.5-2016 |
| Статус: | введен впервые |
| Название рус.: | Композиты полимерные. Определение средней молекулярной массы и молекулярно-массового распределения полимеров методом эксклюзионной хроматографии. Часть 5. Метод детектирования по рассеянию света |
| Название англ.: | Polymer composites. Determination of average molecular mass and molecular mass distribution of polymers using size-exclusion chromatography. Part 5. Method using light-scattering detection |
| Дата добавления в базу: | 01.02.2017 |
| Дата актуализации: | 01.01.2021 |
| Дата введения: | 01.07.2017 |
| Область применения: | Стандарт распространяется на полимерные композиты и устанавливает общий метод определения средней молекулярной массы и молекулярно-массового распределения полимеров методом эксклюзионной хроматографии с детектированием по рассеянию света (ЭХ-ДРС), то есть методом эксклюзионной хроматографии (ЭХ) с детектированием по рассеянию света. Расчет средней молекулярной массы и молекулярно-массового распределения проводят по значениям молекулярной массы и массовой концентрации, непрерывно определяемым в ходе испытания. Значения молекулярной массы в каждый момент времени выхода рассчитывают абсолютным способом путем одновременного использования концентрационного детектора и детектора по рассеянию света (ДРС). По этой причине настоящий метод относят к абсолютным методам испытаний. |
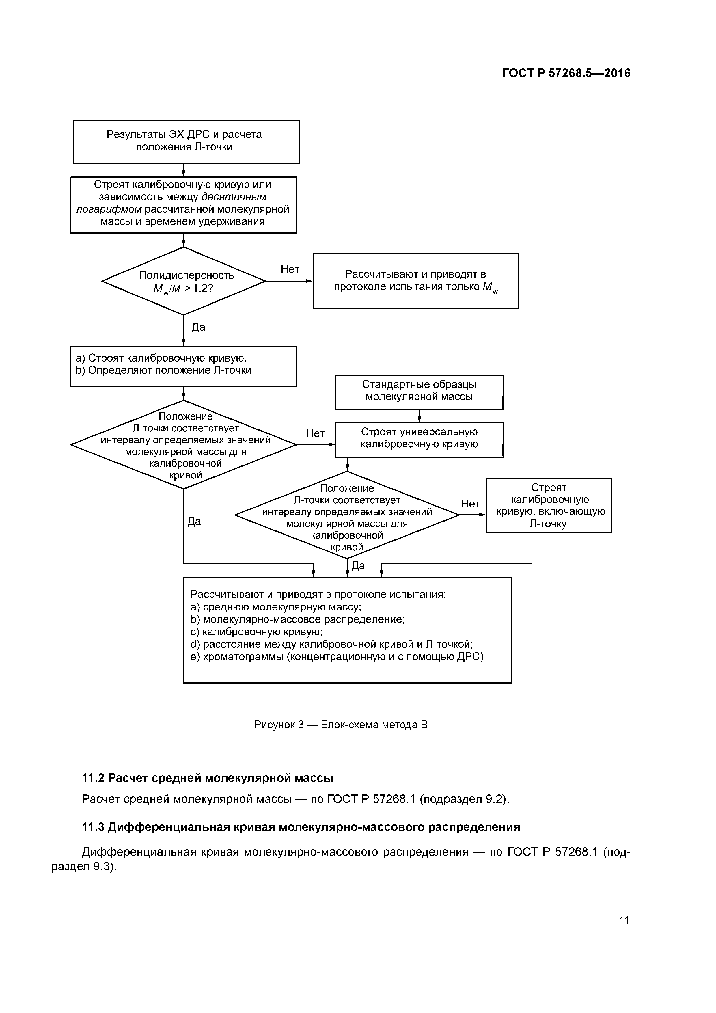
| Оглавление: | 1 Область применения 2 Нормативные ссылки 3 Термины и определения 4 Обозначения 5 Сущность метода 6 Реактивы 7 Оборудование 8 Проведение испытания 9 Калибровка 10 Сбор и обработка данных 11 Оформление результатов 12 Презиционность 13 Протокол испытания Приложение А (справочное) Межлабораторное испытание Приложение В (справочное) Информация о рассеянии света Приложение С (справочное) Построение калибровочной кривой в области низких молекулярных масс Приложение ДА (справочное) Сведения о соответствии ссылочных национальных и межгосударственных стандартов международным стандартам, использованным в качестве ссылочных в примененном международном стандарте Приложение ДБ (справочное) Сопоставление структуры настоящего стандарта со структурой примененного в нем международного стандарта Библиография |
| Разработан: | Объединение юридических лиц Союз производителей композитов ОАО НПО Стеклопластик АНО Центр нормирования, стандартизации и классификации композитов ФГУП Всероссийский научно-исследовательский институт авиационных материалов |
| Утверждён: | 16.11.2016 Федеральное агентство по техническому регулированию и метрологии (1703-ст) |
| Издан: | Стандартинформ (2016 г. ) |
| Нормативные ссылки: |
|


























