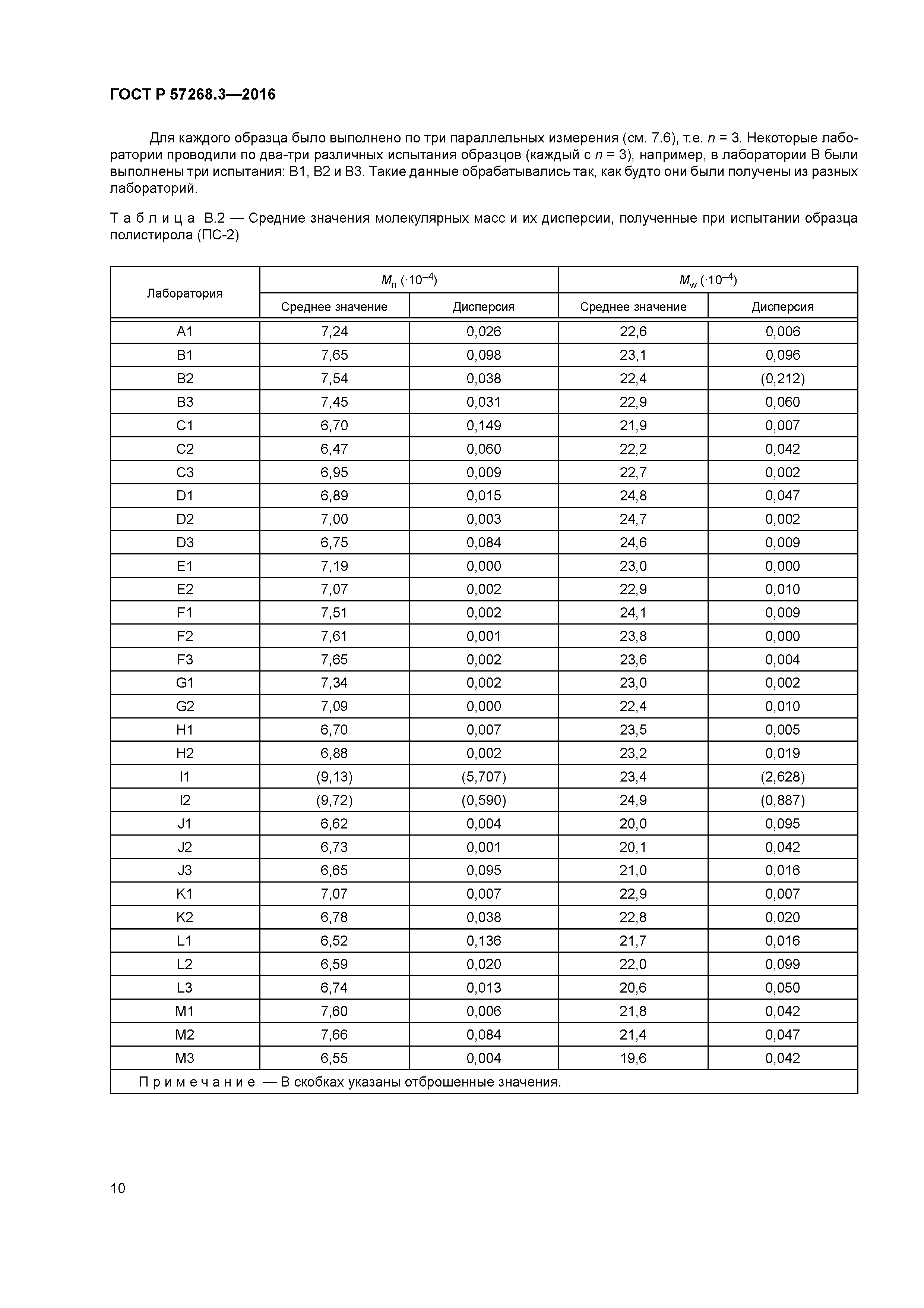
Скачать ГОСТ Р 57268.3-2016 Композиты полимерные. Определение средней молекулярной массы и молекулярно-массового распределения полимеров методом эксклюзионной хроматографии. Часть 3. Низкотемпературный методДата актуализации: 01.01.2021
|
| Обозначение: | ГОСТ Р 57268.3-2016 |
| Обозначение англ: | GOST R 57268.3-2016 |
| Статус: | введен впервые |
| Название рус.: | Композиты полимерные. Определение средней молекулярной массы и молекулярно-массового распределения полимеров методом эксклюзионной хроматографии. Часть 3. Низкотемпературный метод |
| Название англ.: | Polymer composites. Determination of average molecular mass and molecular mass distribution of polymers using size-exclusion chromatography. Part 3. Low-temperature method |
| Дата добавления в базу: | 01.02.2017 |
| Дата актуализации: | 01.01.2021 |
| Дата введения: | 01.07.2017 |
| Область применения: | Стандарт распространяется на полимерные композиты и устанавливает метод определения средней молекулярной массы и молекулярно-массового распределения полимеров методом эксклюзионной хроматографии (ЭХ) при температуре органического растворителя не более 60 °C. Расчет средней молекулярной массы и молекулярно-массового распределения проводят по калибровочной кривой, построенной по стандартным образцам молекулярной массы. Поэтому настоящий метод относят к относительным методам испытания. |
| Оглавление: | 1 Область применения 2 Нормативные ссылки 3 Термины и определения 4 Сущность метода 5 Реактивы 6 Оборудование 7 Проведение испытания 8 Сбор и обработка данных 9 Оформление результатов 10 Прецизионность 11 Протокол испытания Приложение А (справочное) Дополнительная информация по реактивам Приложение В (справочное) Дополнительная информация по межлабораторным испытаниям Приложение ДА (справочное) Оригинальный текст невключенных структурных элементов примененного международного стандарта Приложение ДБ (справочное) Сведения о соответствии ссылочных национальных и межгосударственных стандартов международным стандартам, использованным в качестве ссылочных в примененном международном стандарте Приложение ДВ (справочное) Сопоставление структуры настоящего стандарта со структурой примененного в нем международного стандарта Библиография |
| Разработан: | Объединение юридических лиц Союз производителей композитов ОАО НПО Стеклопластик АНО Центр нормирования, стандартизации и классификации композитов ФГУП Всероссийский научно-исследовательский институт авиационных материалов |
| Утверждён: | 16.11.2016 Федеральное агентство по техническому регулированию и метрологии (1701-ст) |
| Издан: | Стандартинформ (2016 г. ) |
| Нормативные ссылки: |
|






















