Скачать ФЕРм 81-03-10-2001 Сборник 10. Оборудование связи (редакция 2017 г.). Оборудование связи. Федеральные единичные расценки на монтаж оборудованияДата актуализации: 01.01.2021
|
| Обозначение: | ФЕРм 81-03-10-2001 |
| Обозначение англ: | FERm 81-03-10-2001 |
| Статус: | заменен |
| Название рус.: | Сборник 10. Оборудование связи (редакция 2017 г.). Оборудование связи. Федеральные единичные расценки на монтаж оборудования |
| Дата добавления в базу: | 05.05.2017 |
| Дата актуализации: | 01.01.2021 |
| Дата введения: | 28.04.2017 |
| Дата окончания срока действия: | 08.04.2020 |
| Область применения: | Сборник предназначен для определения затрат на монтаж оборудования связи. |
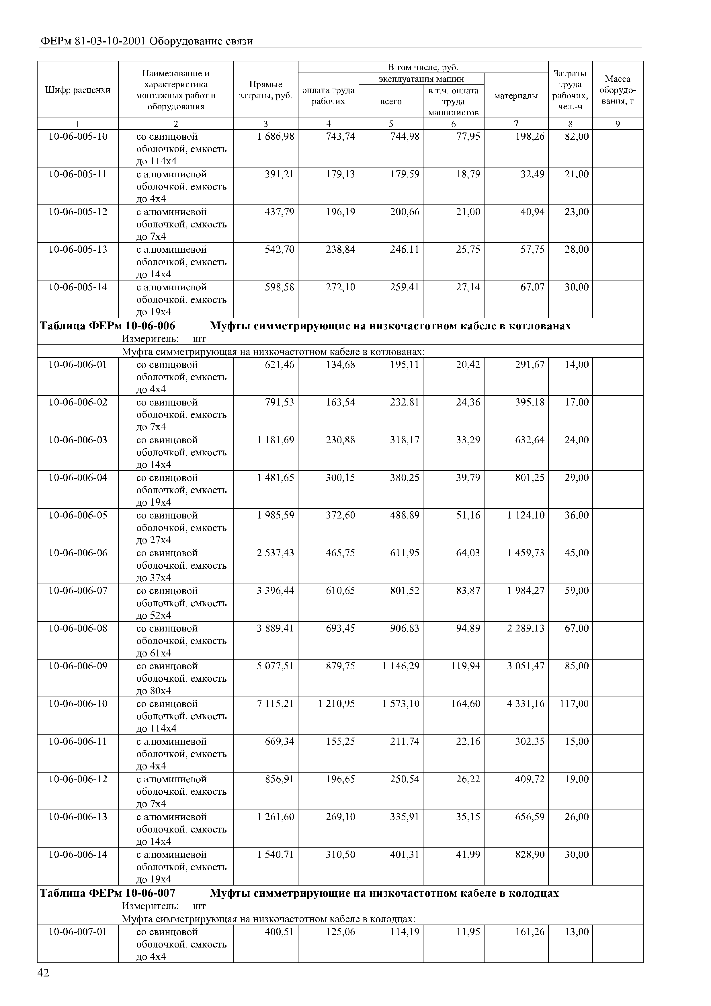
| Оглавление: | Отдел 1. Городская телефонная связь Раздел 1. Станции телефонные автоматические Раздел 2. Кроссы Раздел 3. Аппаратура уплотнения межстанционных связей Раздел 4. Желоба металлические воздушные Раздел 5. Кабели и провода станционные Отдел 2. Местная телефонная связь Раздел 1. Станции телефонные автоматические малой емкости Раздел 2. Оперативно-телефонная связь Раздел 3. Аппараты телефонные Раздел 4. Станции телефонные автоматические квазиэлектронные Раздел 5. Станции телефонные интегральные квазиэлектронные ИАТСКЭ "ИСТОК" Отдел 3. Междугородная проводная связь Раздел 1. Линейно-аппаратные цехи Раздел 2. Станции телефонные междугородные ручные и полуавтоматические Раздел 3. Станции телефонные междугородные автоматические и электронные Раздел 4. Станции телеграфные Раздел 5. Настройка каналов связи Отдел 4. Радиосвязь, радиовещание, радиофикация и телевидение Раздел 1. Передатчики мощностью до 2000 кВт Раздел 2. Детали мощных передатчиков Раздел 3. Передатчики ультракоротковолновые и станции телевизионные Раздел 4. Фидеры высокочастотные Раздел 5. Аппаратура УБС антенной коммутации и антенных устройств передающих радиостанций Раздел 6. Заземление высокочастотное Раздел 7. Охлаждение передатчиков Раздел 8. Аппаратно-студийное оборудование телевизионных центров и радио домов Раздел 9. Радиорелейные линии связи Раздел 10. Радиосвязь с подвижными объектами Раздел 11. Радиотрансляционные узлы Раздел 12. Оборудование звукотехнических установок театрально-зрелищных предприятий Отдел 5. Антенны, волноводы, фидеры и сигнальное освещение мачт и башен Раздел 1. Антенны приемные коллективного пользования Раздел 2. Антенно-фидерные тракты Отдел 6. Линии связи Раздел 1. Линии связи кабельные междугородные Раздел 2. Линии связи кабельные городские Раздел 3. Линии связи кабельные волоконно-оптические Раздел 4. Настройка синхронных цифровых систем передачи Раздел 5. Измерение воздушных линий связи Отдел 7. Связь служебная на железнодорожном транспорте Раздел 1. Радиосвязь Раздел 2. Проводная связь Раздел 3. Кабельные магистральные линии связи Отдел 8. Электрическая тревожная, пожарная, вызывная и дистанционная сигнализация Раздел 1. Электрическая тревожная и пожарная сигнализация Раздел 2. Электрочасофикация Отдел 9. Промышленные телевизионные установки Отдел 10. Системы обеспечения безопасности объектов Приложения |
| Утверждён: | 30.12.2016 Министерство строительства и жилищно-коммунального хозяйства Российской Федерации (1039/пр) |
| Список изменений: | |
| Заменяет собой: | |
| Чем заменён: |

















































































Текстовое изменение № 1
