Скачать ФЕРм 81-03-10-2001 Сборник 10. Оборудование связи (2020). Федеральные единичные расценки на монтаж оборудованияДата актуализации: 01.01.2021
|
| Обозначение: | ФЕРм 81-03-10-2001 |
| Обозначение англ: | FERm 81-03-10-2001 |
| Статус: | взамен |
| Название рус.: | Сборник 10. Оборудование связи (2020). Федеральные единичные расценки на монтаж оборудования |
| Дата добавления в базу: | 01.01.2021 |
| Дата актуализации: | 01.01.2021 |
| Дата введения: | 31.03.2020 |
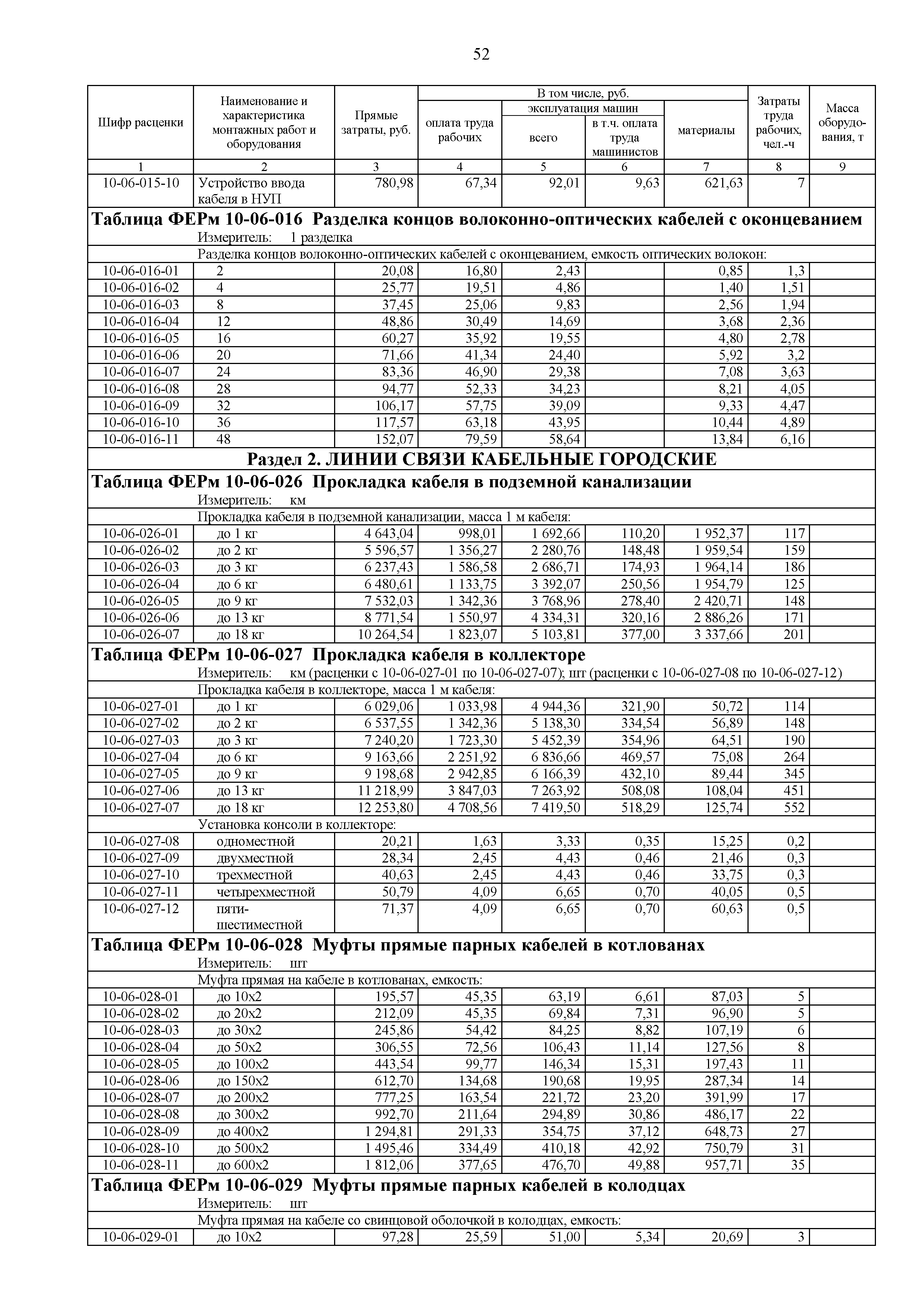
| Область применения: | В ФЕРм сборника 10 учтены вспомогательные ненормируемые материальные ресурсы для производства монтажных работ в размере 2 % от затрат труда рабочих, учтенных расценками. ФЕРм сборника 10 «Оборудование связи» предназначены для определения затрат на монтаж оборудования связи |
| Оглавление: | I. Общие положения III. Федеральные единичные расценки на монтаж оборудования Отдел 1. Городская телефонная связь Раздел 1. Станции телефонные автоматические Раздел 2. Кроссы Раздел 3. Аппаратура уплотнения межстанционных связей Раздел 4. Желоба металлические воздушные Раздел 5. Кабели и провода станционные Отдел 2. Местная телефонная связь Раздел 1. Станции телефонные автоматические малой емкости Раздел 2. Оперативно-телефонная связь Раздел 3. Аппараты телефонные Раздел 4. Станции телефонные автоматические квазиэлектронные Раздел 5. Станции телефонные интегральные квазиэлектронные ИАТСКЭ "ИСТОК" Отдел 3. Междугородная проводная связь Раздел 1. Линейно-аппаратные цехи Раздел 2. Станции телефонные междугородные ручные и полуавтоматические Раздел 3. Станции телефонные междугородные автоматические и электронные Раздел 4. Станции телеграфные Раздел 5. Настройка каналов связи Отдел 4. Радиосвязь, радиовещание, радиофикация и телевидение Раздел 1. Передатчики мощностью до 2000 квт Раздел 2. Детали мощных передатчиков Раздел 3. Передатчики ультракоротковолновые и станции телевизионные Раздел 4. Фидеры высокочастотные Раздел 5. Аппаратура УБС антенной коммутации и антенных устройств передающих радиостанции Раздел 6. Заземление высокочастотное Раздел 7. Охлаждение передатчиков Раздел 8. Аппаратно-студийное оборудование телевизионных центров и радиодомов. Раздел 9. Радиорелейные линии связи Раздел 10. Радиосвязь с подвижными объектами Раздел 11. Радиотрансляционные узлы Раздел 12. Оборудование звукотехнических установок театрально-зрелищных предприятий Отдел 5. Антенны, волноводы, фидеры и сигнальное освещение мачт и башен Раздел 1. Антенны приемные коллективного пользования Раздел 2. Антенно-фидерные тракты Отдел 6. Линии связи Раздел 1. Линии связи кабельные междугородные Раздел 2. Линии связи кабельные городские Раздел 3. Линии связи кабельные волоконно-оптические Раздел 4. Настройка синхронных цифровых систем передачи Раздел 5. Измерение воздушных линий связи Отдел 7. Связь служебная на железнодорожном транспорте.’ Раздел 1. Радиосвязь Раздел 2. Проводная связь Раздел 3. Кабельные магистральные линии связи Отдел 8. Электрическая тревожная, пожарная, вызывная и дистанционная сигнализация Раздел 1. Электрическая тревожная и пожарная сигнализация Раздел 2. Электрочасофикация Отдел 9. Промышленные телевизионные установки Отдел 10. Системы обеспечения безопасности объектов IV. Приложения |
| Утверждён: | 26.12.2019 Министерство строительства и жилищно-коммунального хозяйства Российской Федерации (876/пр) |
| Список изменений: |
|
| Заменяет собой: |




















































































Текстовое изменение № от 01.07.2020
