Скачать Сборник 66. Наружные инженерные сети (редакция 2017 г.). Наружные инженерные сети. Федеральные единичные расценки на ремонтно-строительные работыДата актуализации: 01.01.2021 |
| Статус: | не действует |
| Название рус.: | Сборник 66. Наружные инженерные сети (редакция 2017 г.). Наружные инженерные сети. Федеральные единичные расценки на ремонтно-строительные работы |
| Дата добавления в базу: | 05.05.2017 |
| Дата актуализации: | 01.01.2021 |
| Дата введения: | 28.04.2017 |
| Дата окончания срока действия: | 31.03.2020 |
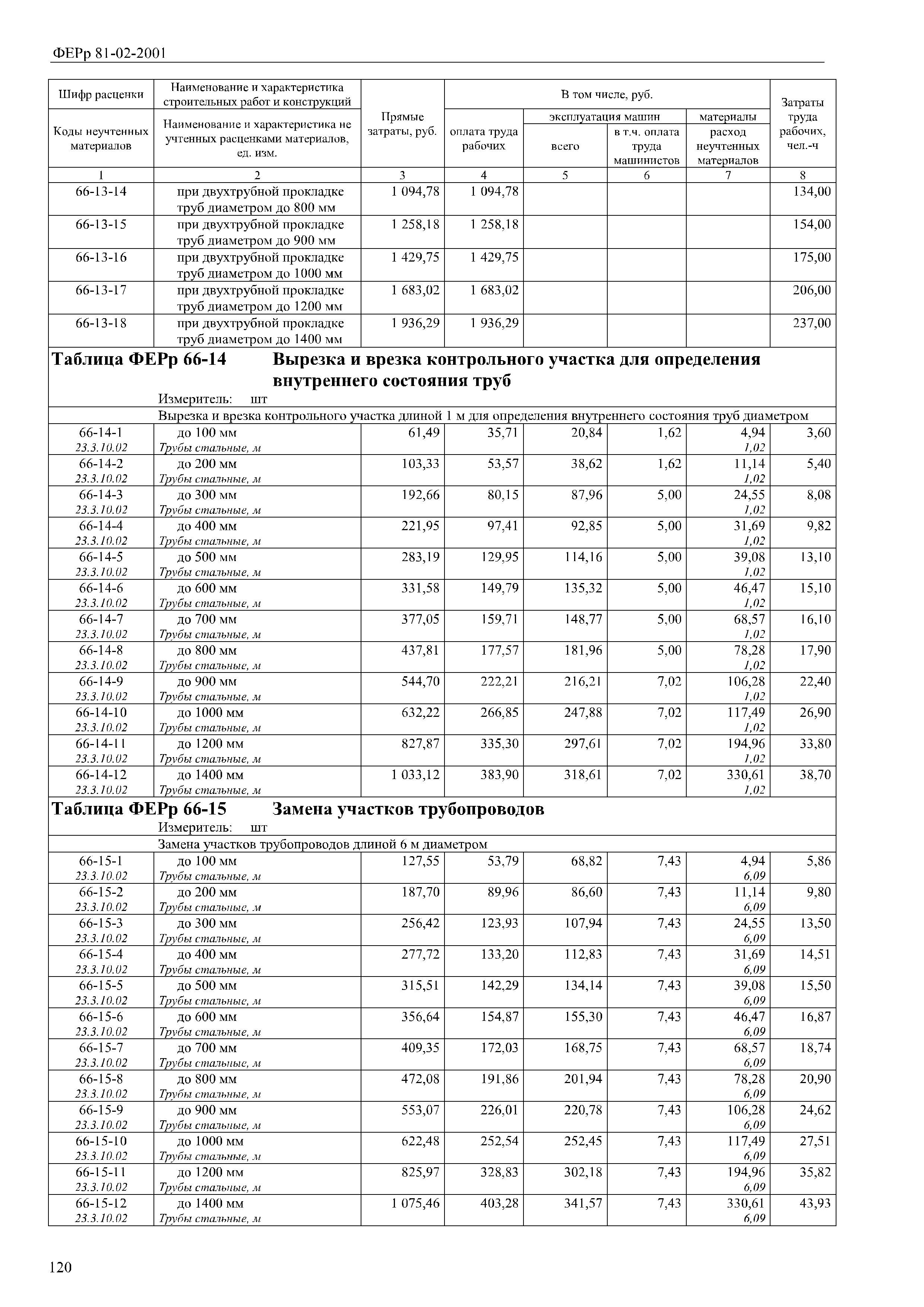
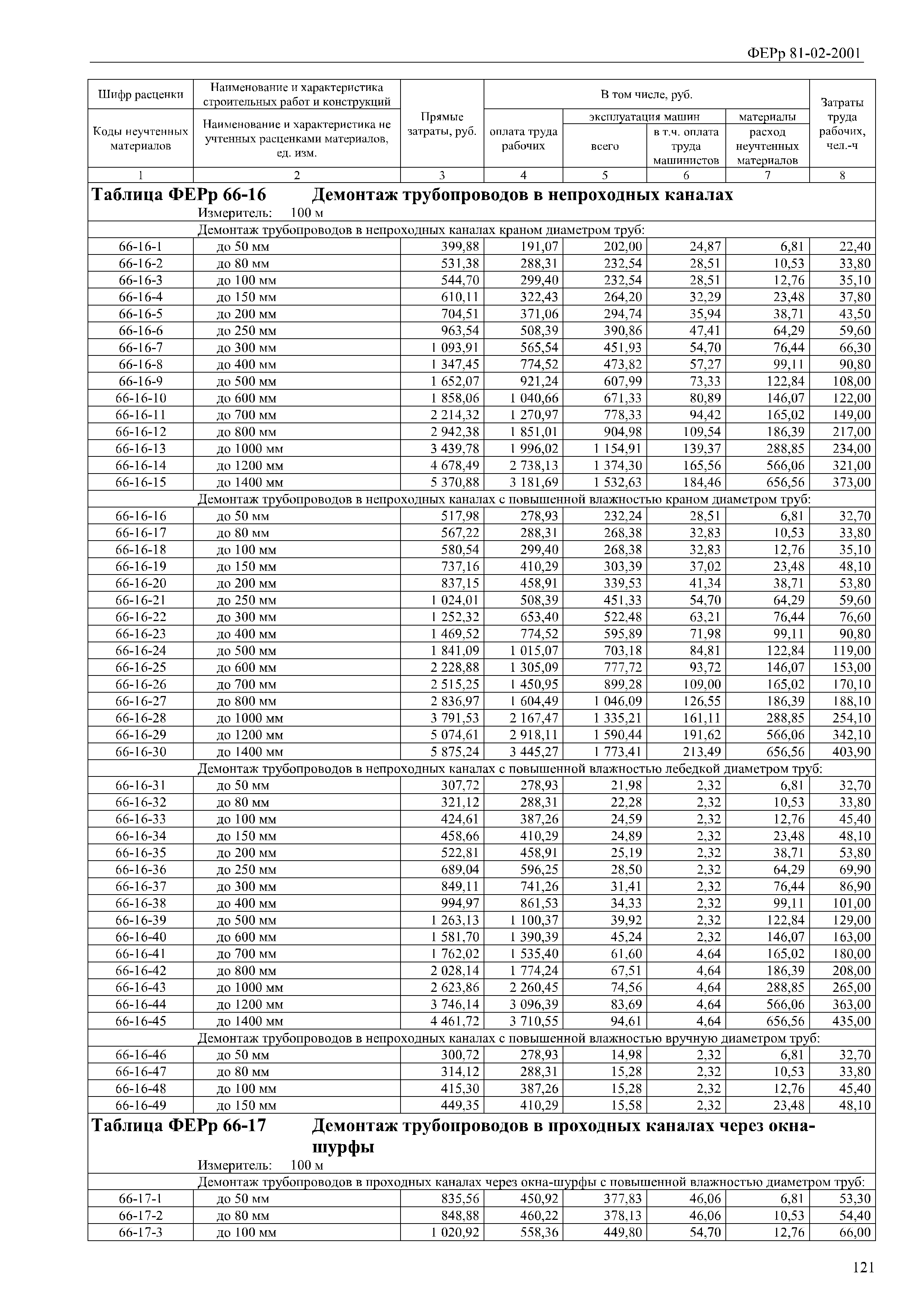
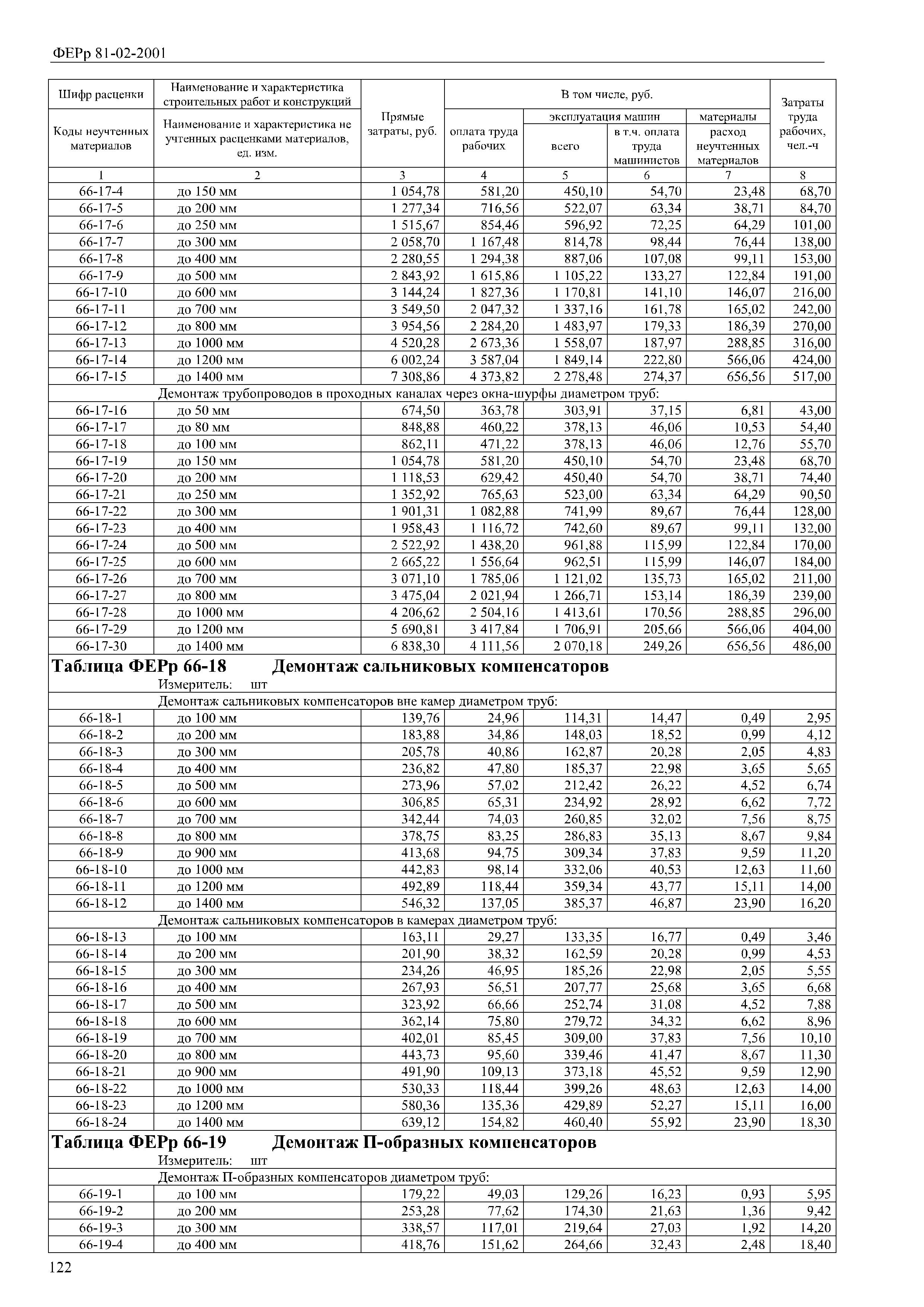
| Оглавление: | Раздел 1. реконструкция и ремонт наружных инженерных сетей Раздел 2. Реконструкция и ремонт наружных сетей водопровода бестраншейными методами Раздел 3. Реконструкция и ремонт наружных сетей канализации бестраншейными методами |
| Утверждён: | 30.12.2016 Минстрой России (Russian Federation Minstroy 1039/пр) |
| Список изменений: |
|
| Заменяет собой: |

















Текстовое изменение № 1

Текстовое изменение № от 28.09.2017


