Скачать Книга 09: Металлоконструкции строительные и их части из алюминия и алюминиевых сплавов. Федеральные сметные цены на материалы изделия, конструкции и оборудование, применяемые в строительстве. Федеральный сборник сметных цен на материалы, изделия и конструкции, применяемые в строительствеДата актуализации: 01.01.2021
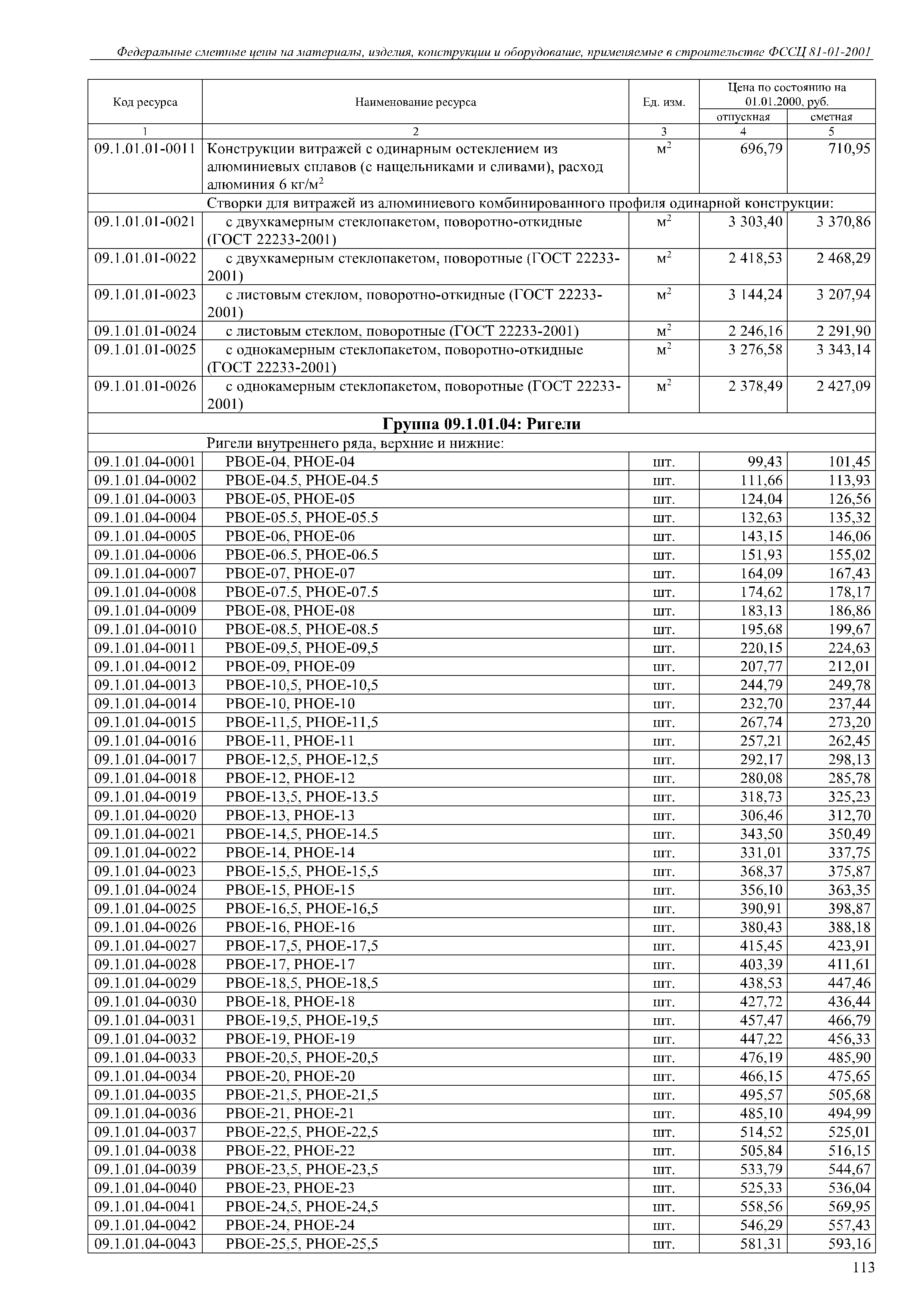
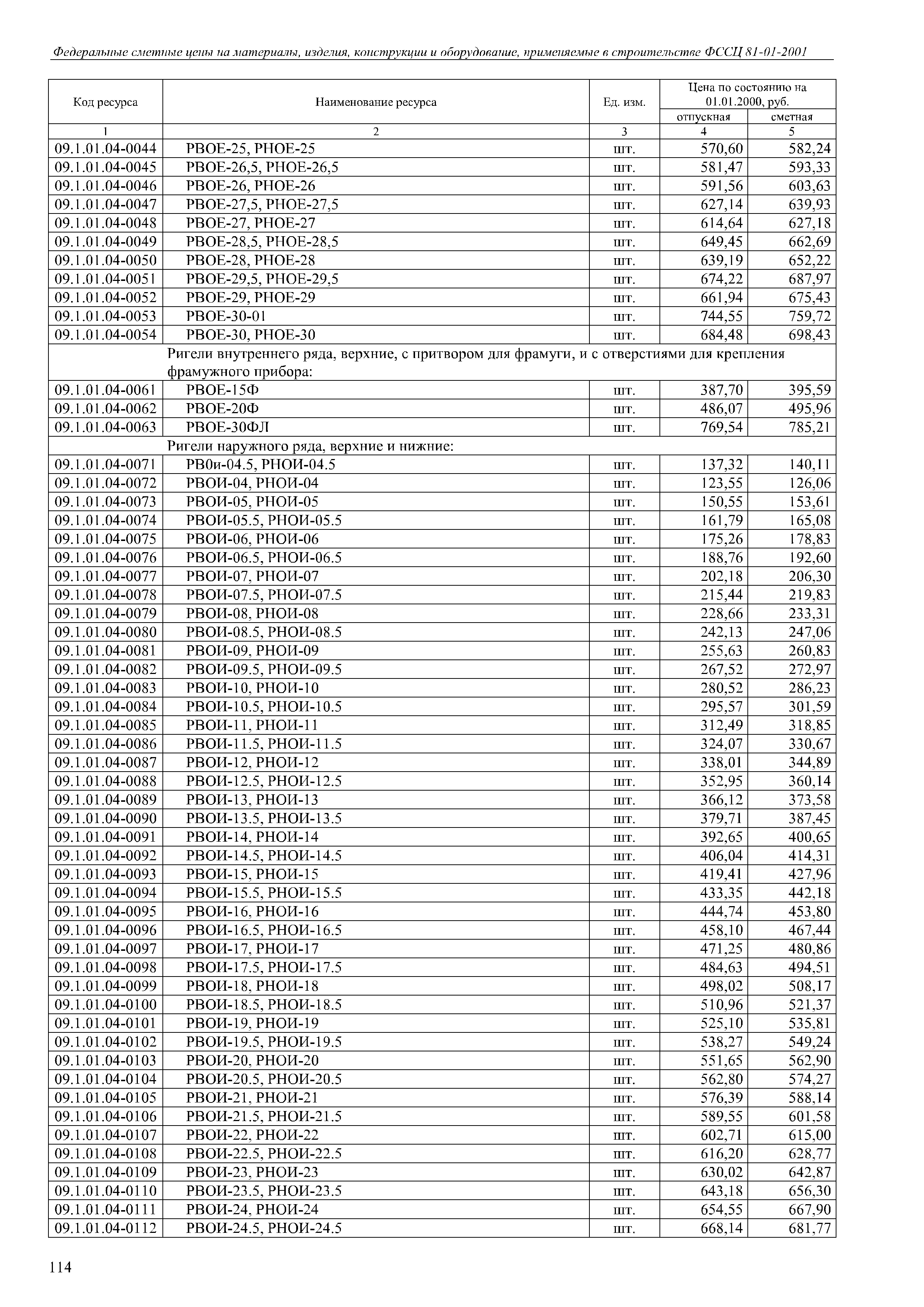
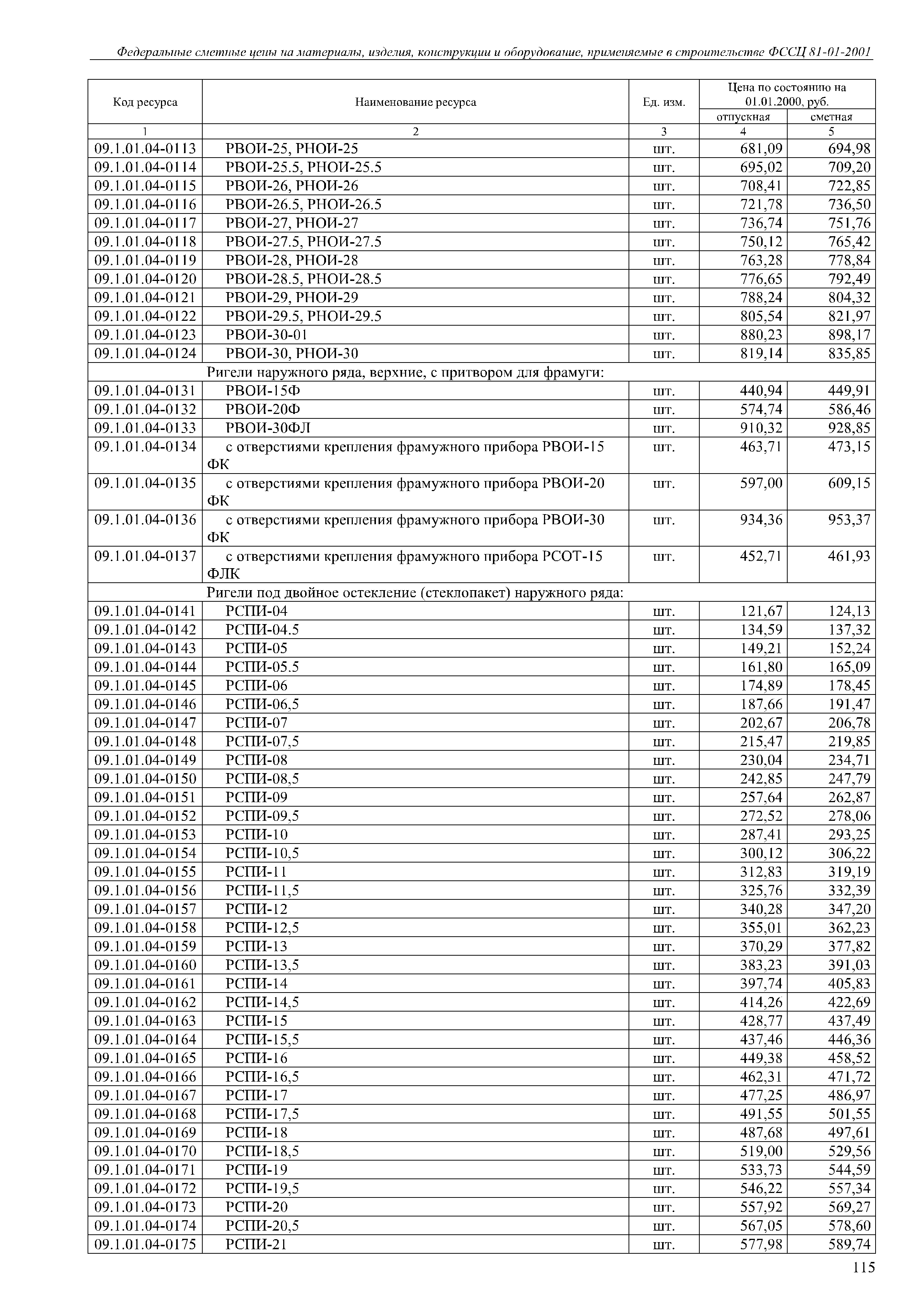
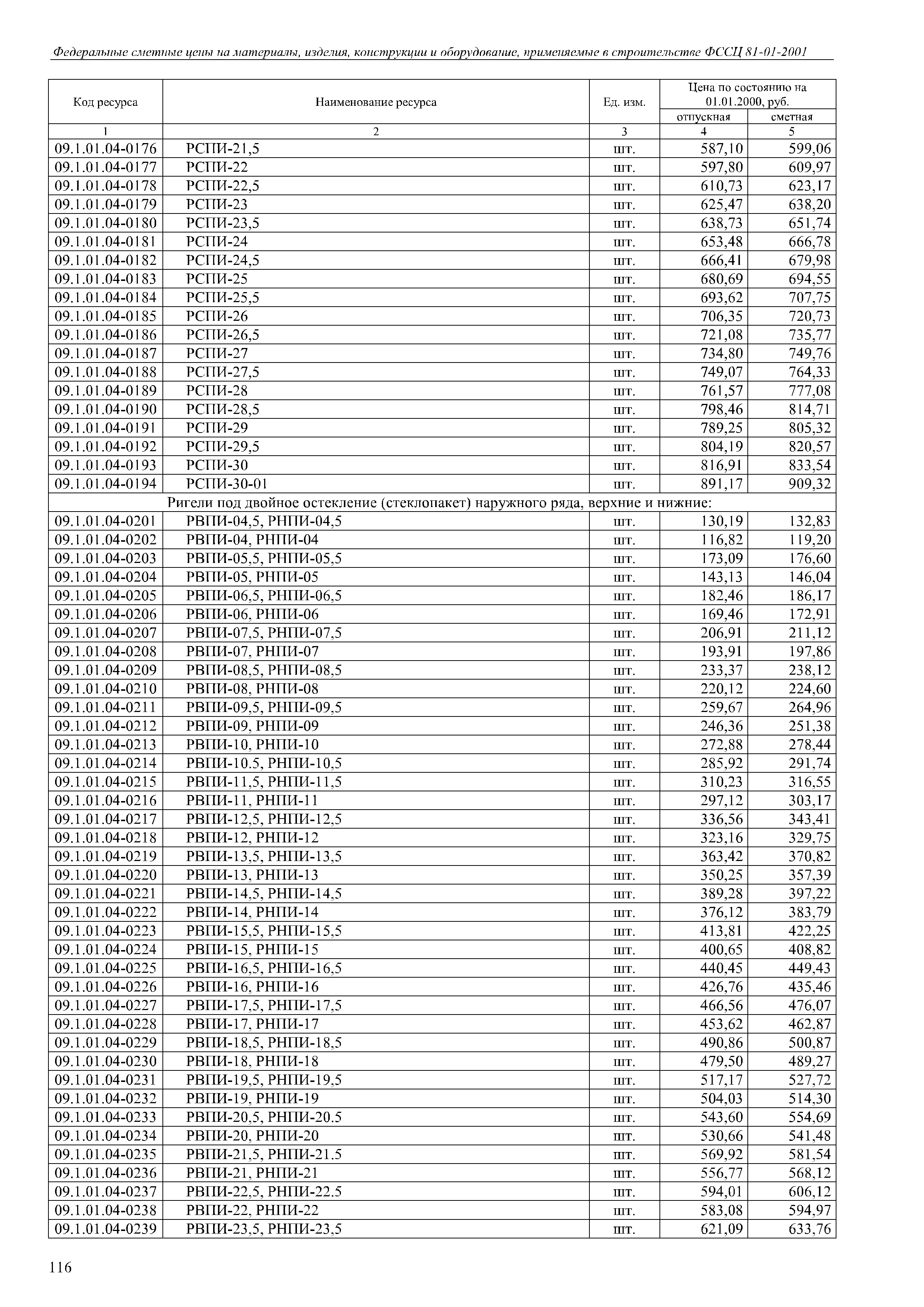
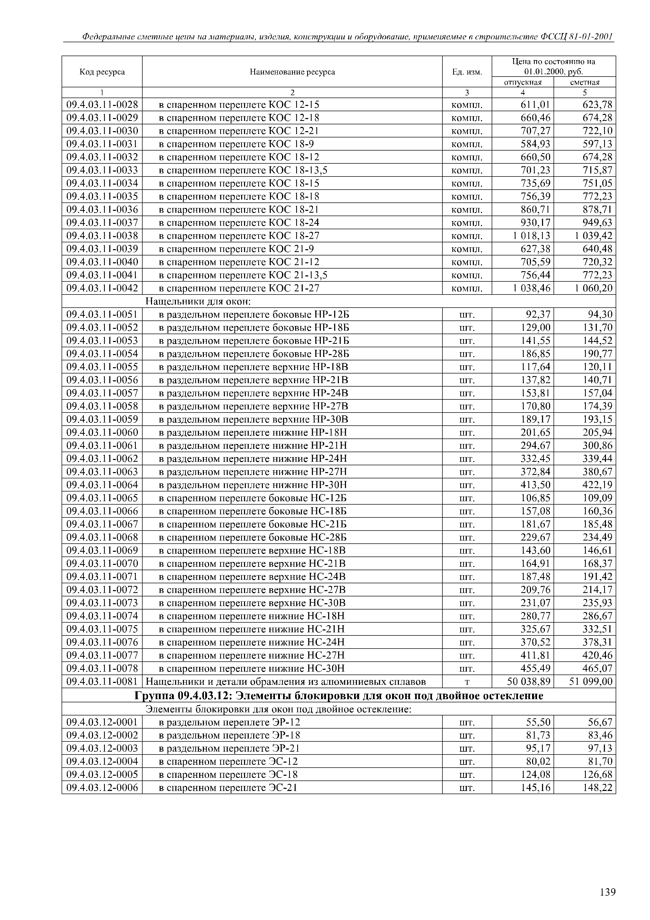
Книга 09: Металлоконструкции строительные и их части из алюминия и алюминиевых сплавов. Федеральные сметные цены на материалы изделия, конструкции и оборудование, применяемые в строительстве. Федеральный сборник сметных цен на материалы, изделия и конструкции, применяемые в строительстве| Статус: | действует | | Название рус.: | Книга 09: Металлоконструкции строительные и их части из алюминия и алюминиевых сплавов. Федеральные сметные цены на материалы изделия, конструкции и оборудование, применяемые в строительстве. Федеральный сборник сметных цен на материалы, изделия и конструкции, применяемые в строительстве | | Дата добавления в базу: | 05.05.2017 | | Дата актуализации: | 01.01.2021 | | Дата введения: | 28.04.2017 | | Область применения: | Государственные сметные нормативы "Федеральные сметные цены на материалы, изделия, конструкции и оборудование, применяемые в строительстве" предназначены для определения сметной стоимости строительства, реконструкции и капитального ремонта объектов капитального строительства. | | Оглавление: | Часть 09.1: Витражи, витрины, тамбуры Раздел 09.1.01: Витражи, витрины Раздел 09.1.02: Тамбуры Часть 09.2: Конструкции и изделия декоративно-облицовочные Раздел 09.2.01: Панели, плиты, нащельники и комплектующие декоративно-облицовочные Раздел 09.2.02: Потолки подвесные Раздел 09.2.03: Профили алюминиевые специальные Часть 09.3: Конструкции и изделия строительные Раздел 09.3.01: Мачты, полотна ворот, изделия крепежные Раздел 09.3.02: Ограждения балконов, лоджий, лестниц Раздел 09.3.03: Панели стеновые и кровельные Раздел 09.3.04: Перегородки Часть 09.4: Окна, двери, балконные двери Раздел 09.4.01: Блоки балконных дверей и комплектующие Раздел 09.4.02: Блоки дверные и комплектующие Раздел 09.4.03: Блоки оконные и комплектующие | | Утверждён: | 30.12.2016 Минстрой России (Russian Federation Minstroy 1039/пр)
| | Нормативные ссылки: | |
                            
|