Скачать Книга 11: Изделия и конструкции из дерева и пластмассовых профилей. Федеральные сметные цены на материалы изделия, конструкции и оборудование, применяемые в строительстве. Федеральный сборник сметных цен на материалы, изделия и конструкции, применяемые в строительствеДата актуализации: 01.01.2021 |
| Статус: | действует |
| Название рус.: | Книга 11: Изделия и конструкции из дерева и пластмассовых профилей. Федеральные сметные цены на материалы изделия, конструкции и оборудование, применяемые в строительстве. Федеральный сборник сметных цен на материалы, изделия и конструкции, применяемые в строительстве |
| Дата добавления в базу: | 05.05.2017 |
| Дата актуализации: | 01.01.2021 |
| Дата введения: | 28.04.2017 |
| Область применения: | Государственные сметные нормативы "Федеральные сметные цены на материалы, изделия, конструкции и оборудование, применяемые в строительстве" предназначены для определения сметной стоимости строительства, реконструкции и капитального ремонта объектов капитального строительства. |
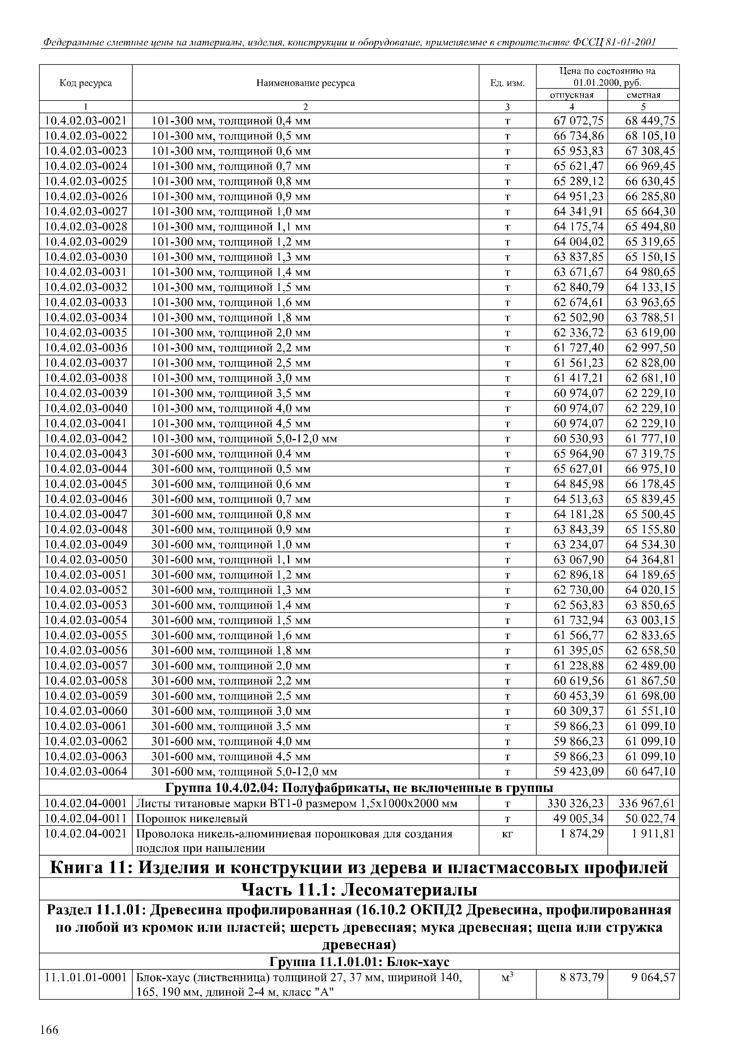
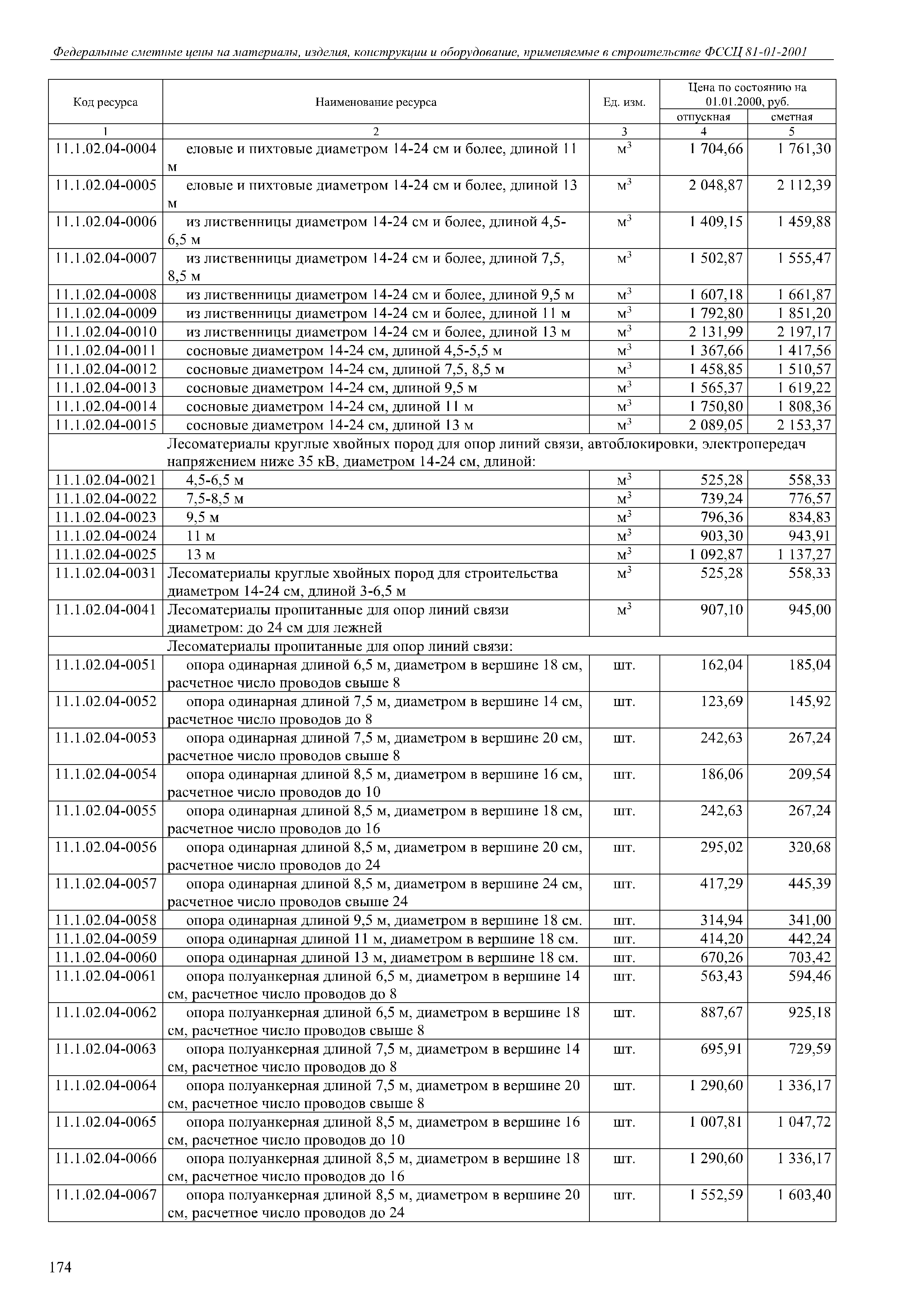
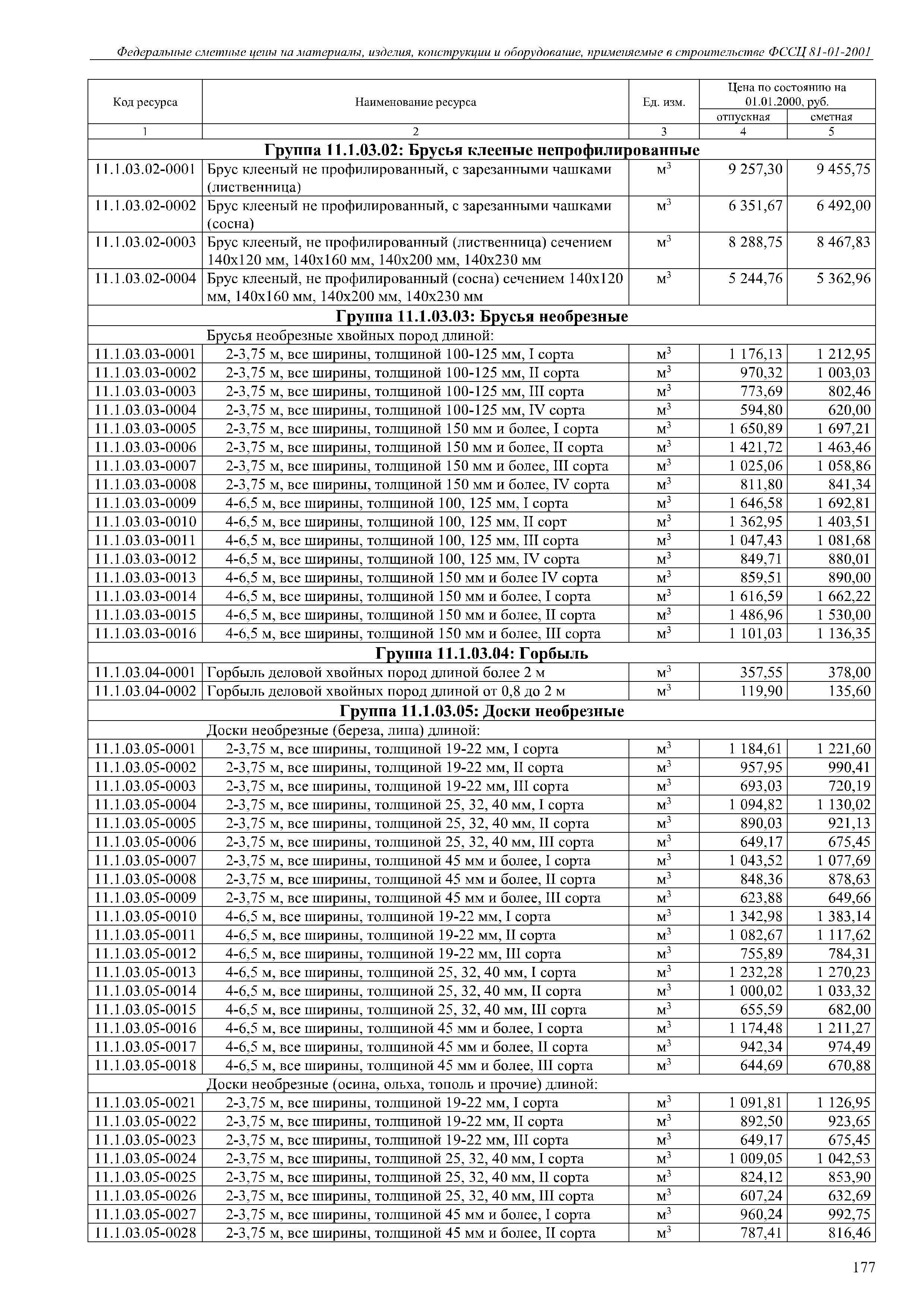
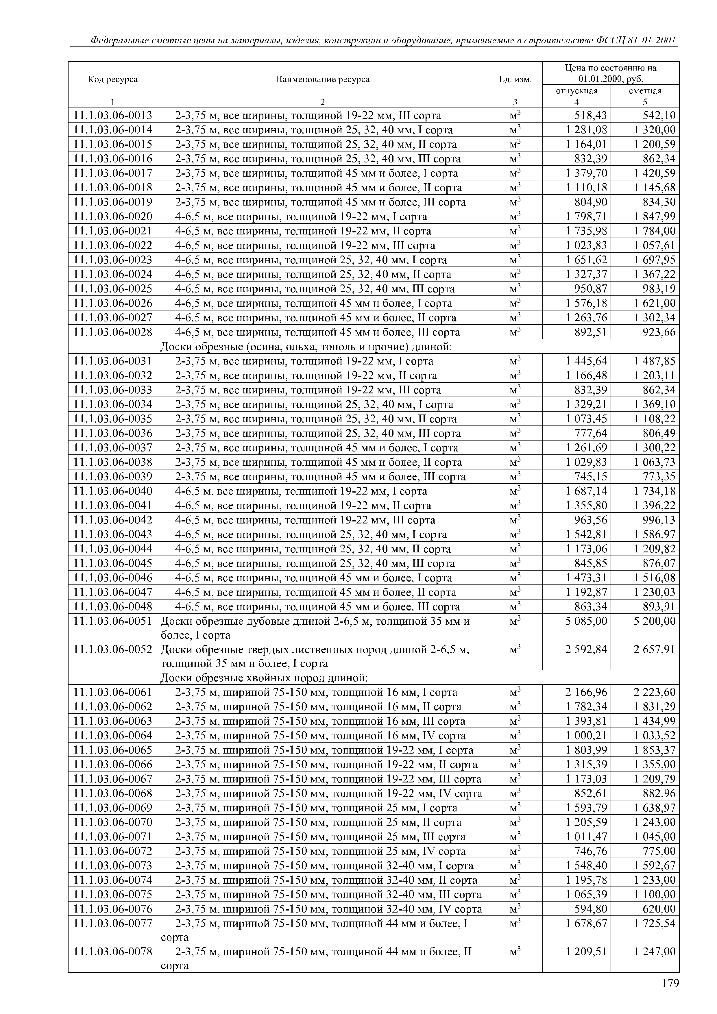
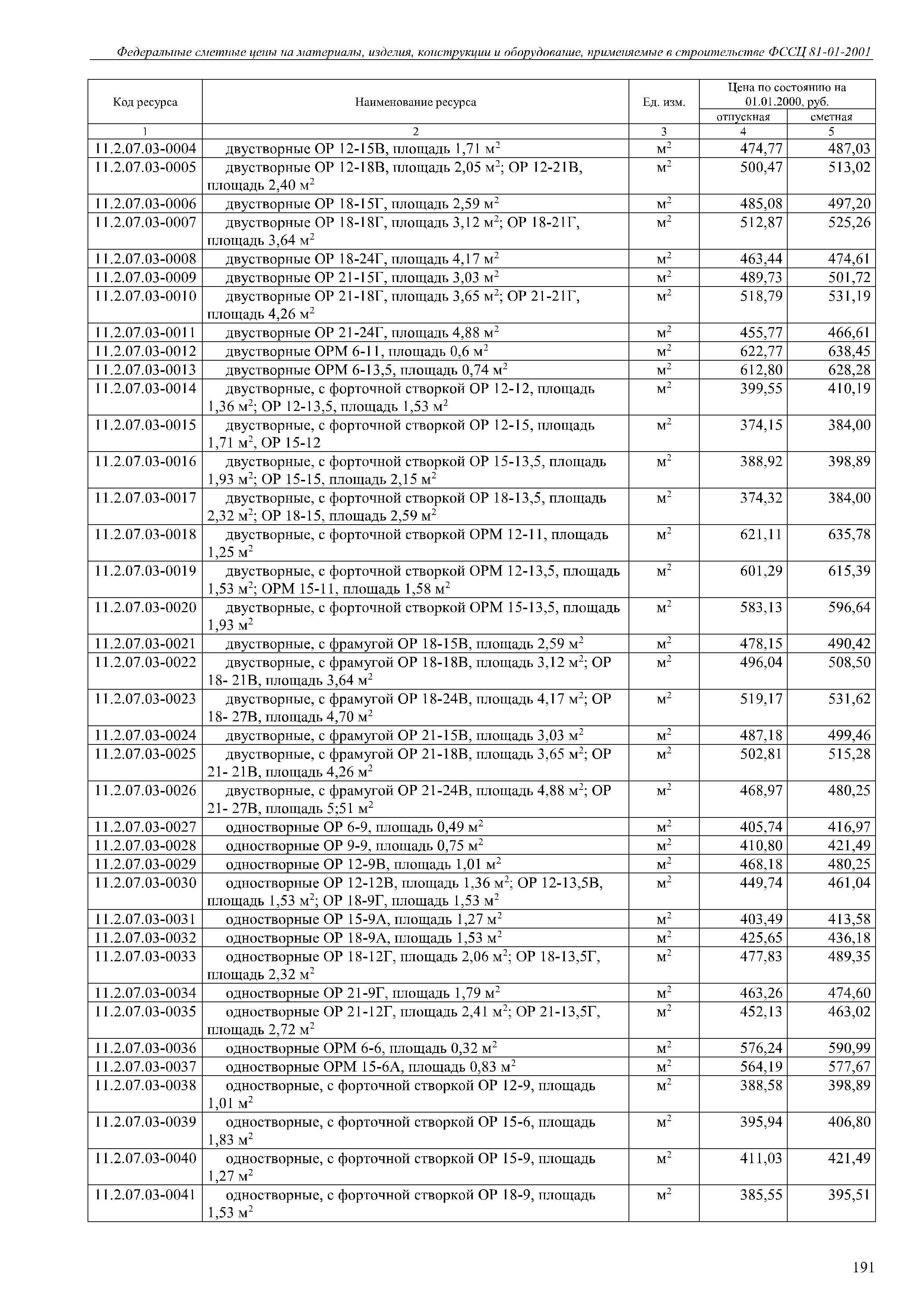
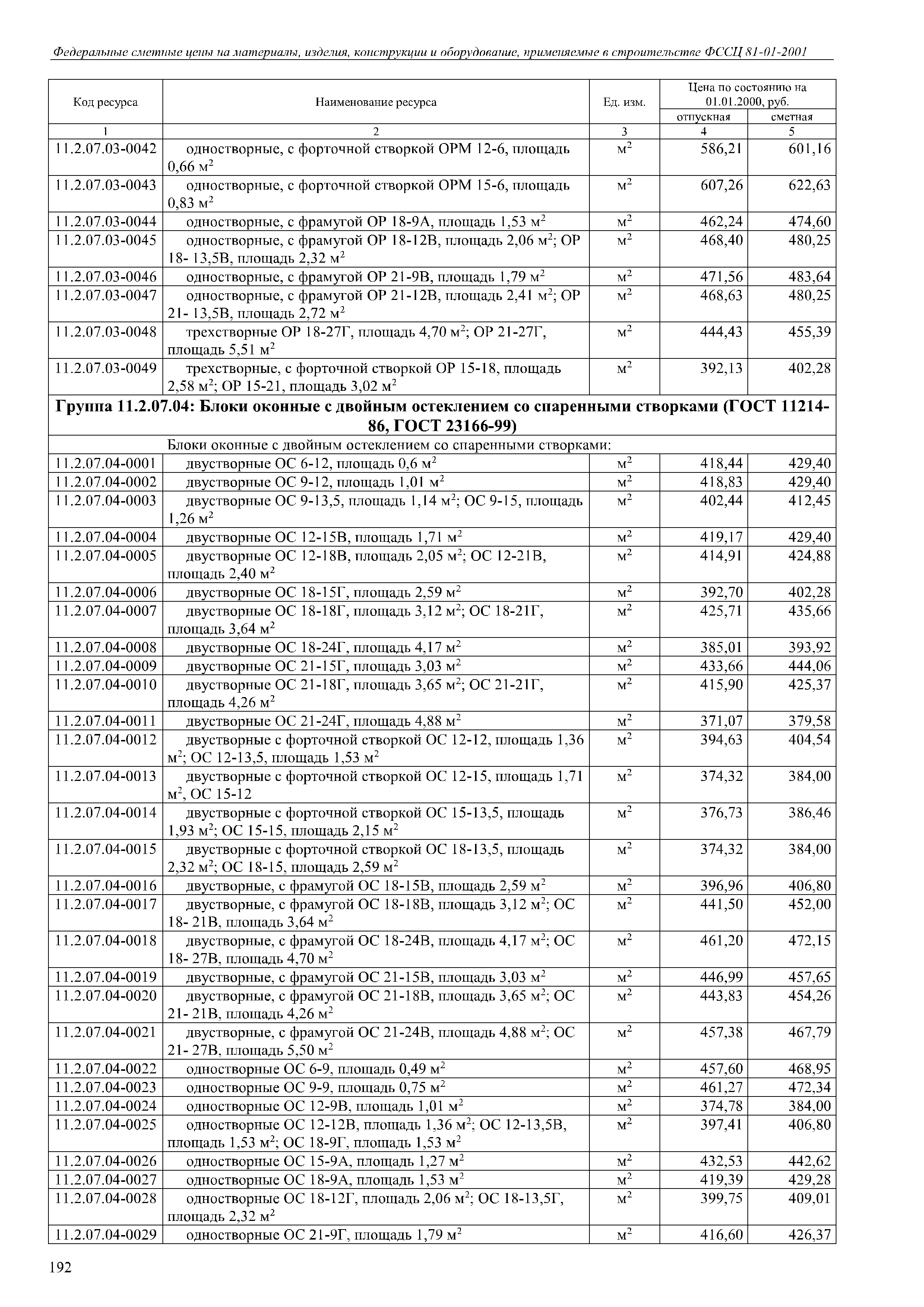
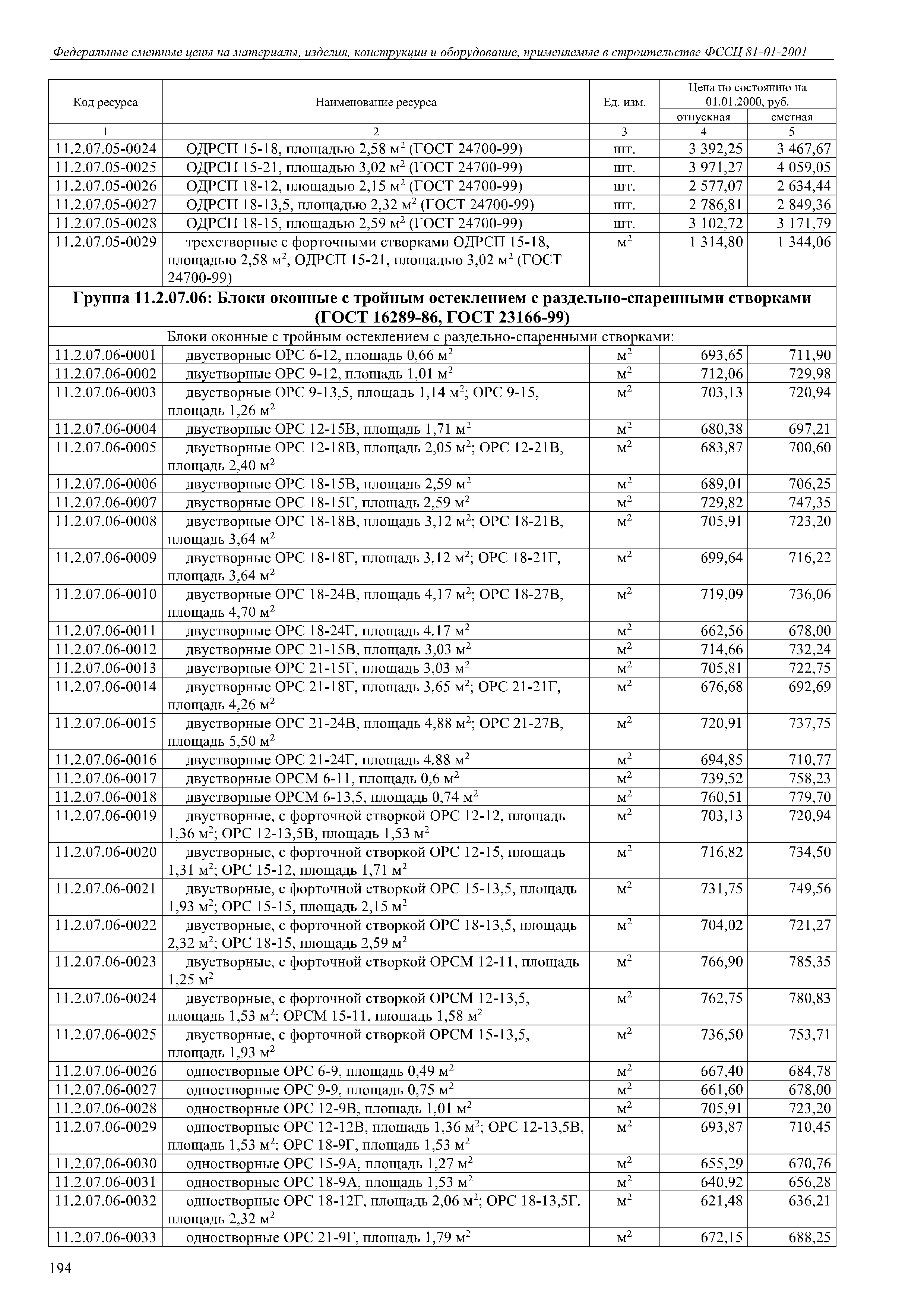
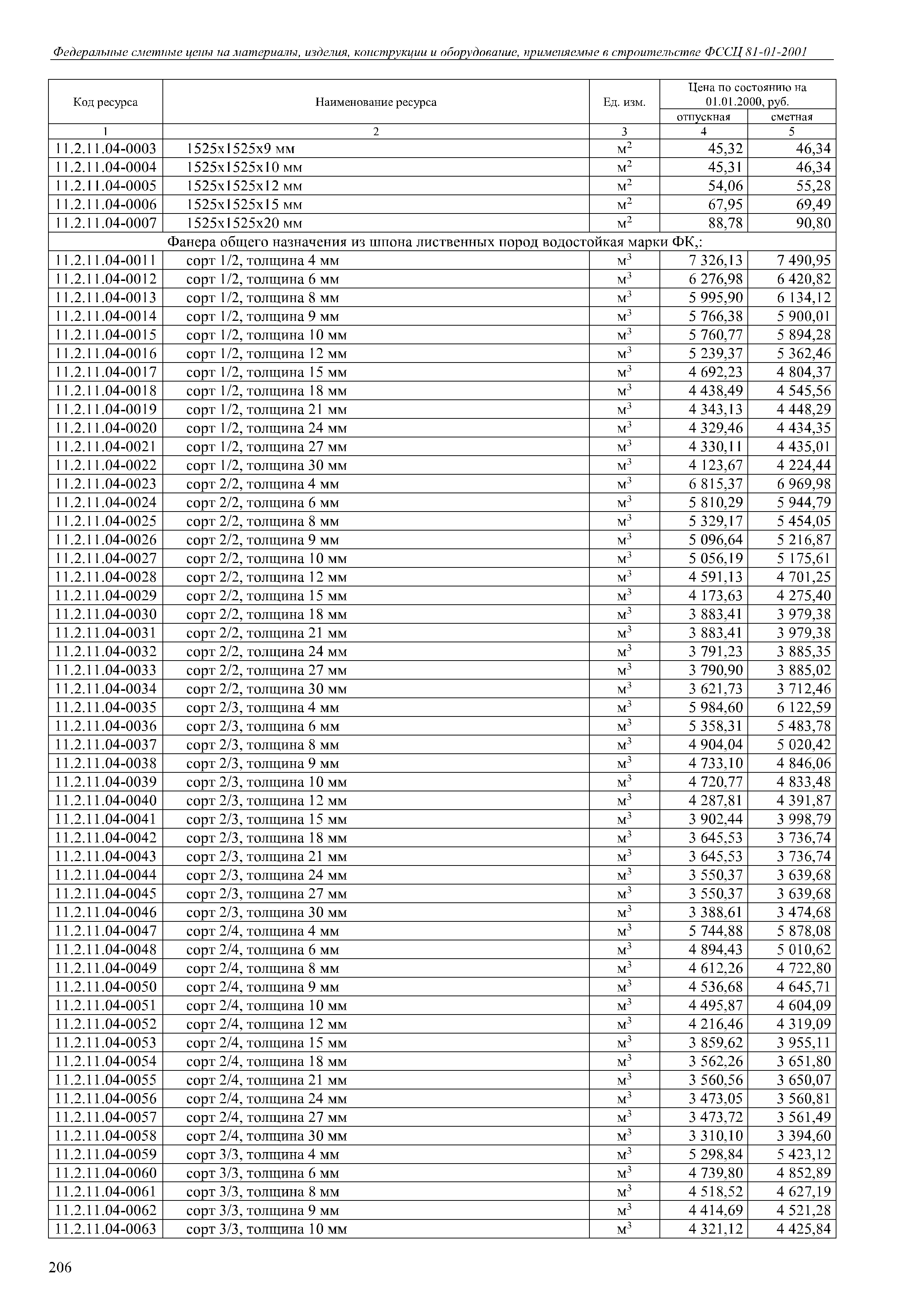
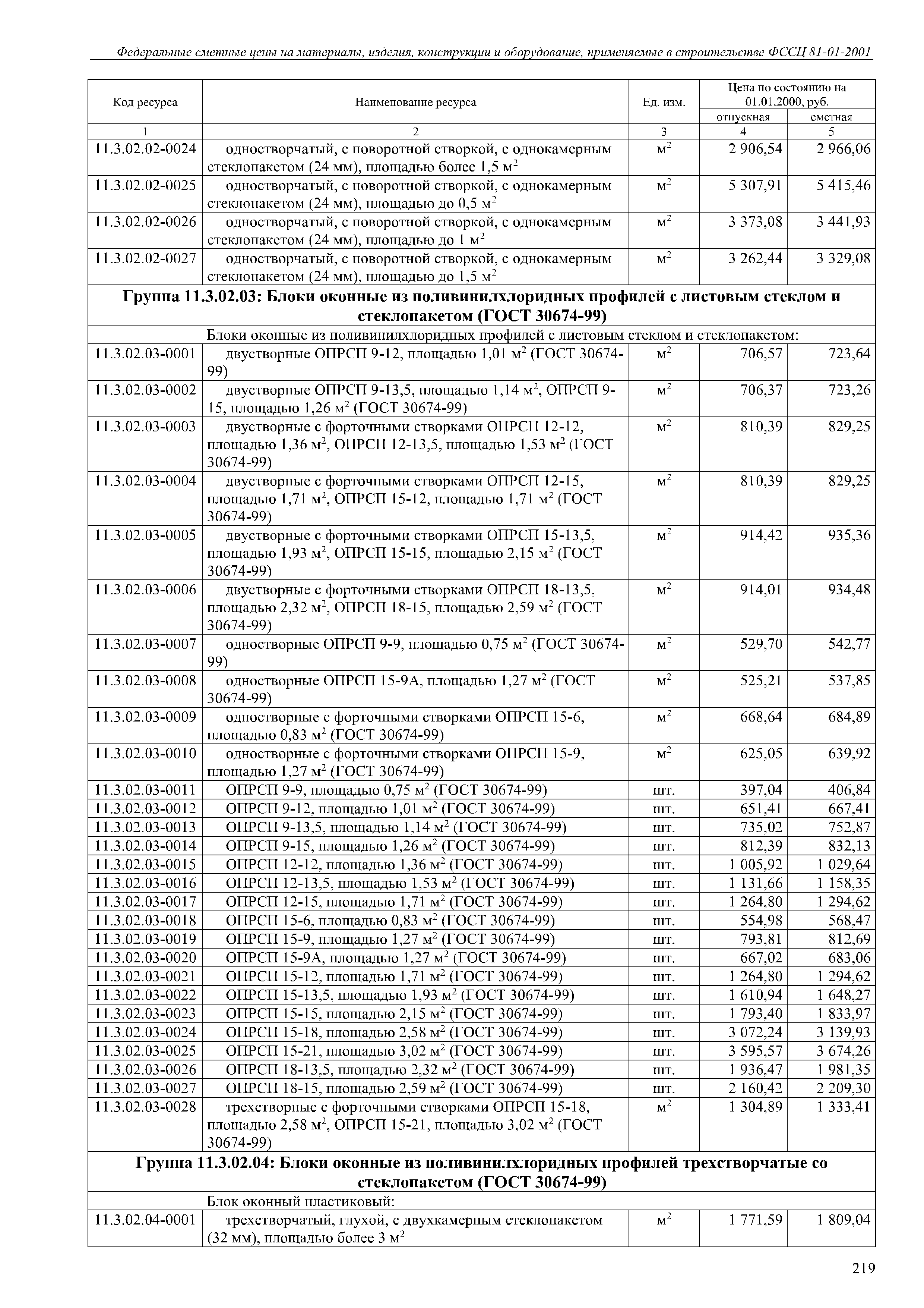
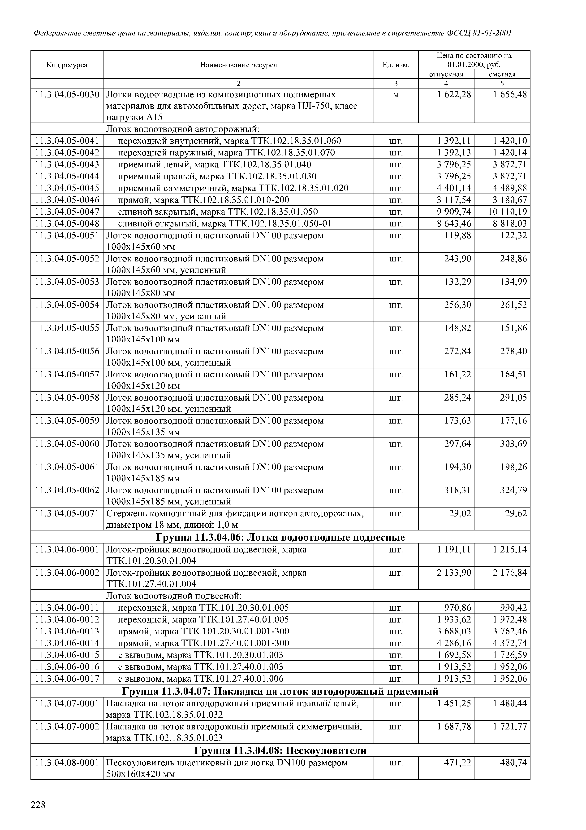
| Оглавление: | Часть 11.1: Лесоматериалы Раздел 11.1.01: Древесина профилированная Раздел 11.1.02: Лесоматериалы необработанные Раздел 11.1.03: Лесоматериалы распиленные и строганные Часть 11.2: Изделия и конструкции из дерева Раздел 11.2.01: двери балконные и их коробки деревянные Раздел 11.2.02: двери, их коробки и пороги деревянные Раздел 11.2.03: древесина прессованная в виде блоков, плит, брусьев или профилированных изделий Раздел 11.2.04: Изделия деревянные строительные и столярные Раздел 11.2.05: Конструкции ворот и калиток Раздел 11.2.06: Конструкции деревянные клееные несущие Раздел 11.2.07: Окна и их коробки деревянные Раздел 11.2.08: Плиты древесно-волокнистые из древесины или других одревесневших материалов Раздел 11.2.09: Плиты древесно-стружечные и аналогичные плиты из древесным или других одревесневших материалов Раздел 11.2.10: Полы паркетные щитовые Раздел 11.2.11: Фанера Раздел 11.2.12: Фермы, арки и балки деревянные Раздел 11.2.13: Щиты, панели Раздел 11.2.14: Элементы и детали встроенных и антресольных шкафов Часть 11.3: Изделия и конструкции из пластмассы Раздел 11.3.01: Блоки дверные из поливинилхлоридных профилей Раздел 11.3.02: Блоки оконные из поливинилхлоридных профилей Раздел 11.3.03: Изделия пластмассовые строительные Раздел 11.3.04: Системы дренажа |
| Утверждён: | 30.12.2016 Минстрой России (Russian Federation Minstroy 1039/пр) |
| Список изменений: | |
| Нормативные ссылки: |
|




































































Текстовое изменение № 1