Скачать Книга 15: Малые архитектурные формы. Федеральные сметные цены на материалы изделия, конструкции и оборудование, применяемые в строительстве. Федеральный сборник сметных цен на материалы, изделия и конструкции, применяемые в строительствеДата актуализации: 01.01.2021 |
| Статус: | действует |
| Название рус.: | Книга 15: Малые архитектурные формы. Федеральные сметные цены на материалы изделия, конструкции и оборудование, применяемые в строительстве. Федеральный сборник сметных цен на материалы, изделия и конструкции, применяемые в строительстве |
| Дата добавления в базу: | 05.05.2017 |
| Дата актуализации: | 01.01.2021 |
| Дата введения: | 28.04.2017 |
| Область применения: | Государственные сметные нормативы "Федеральные сметные цены на материалы, изделия, конструкции и оборудование, применяемые в строительстве" предназначены для определения сметной стоимости строительства, реконструкции и капитального ремонта объектов капитального строительства. |
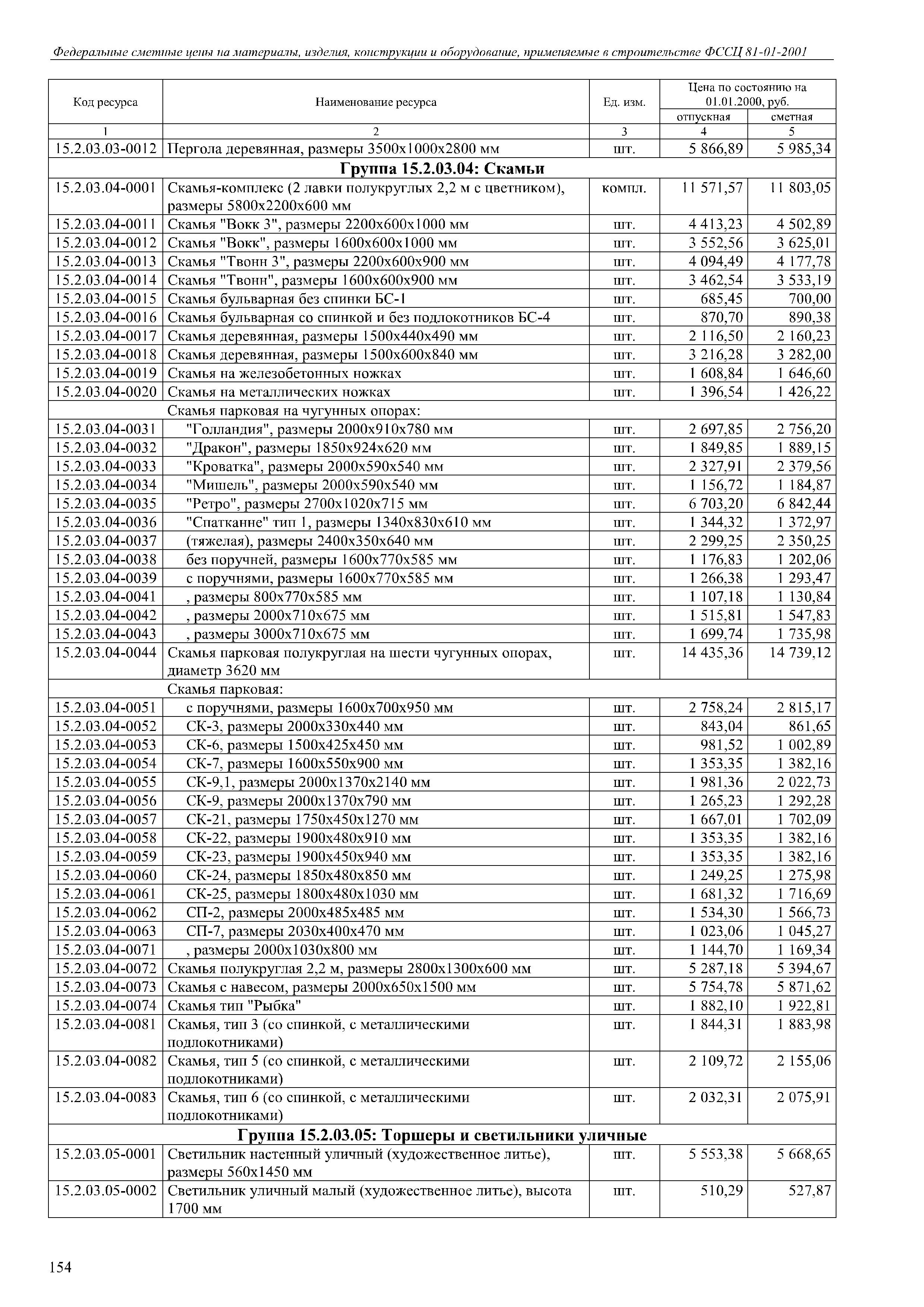
| Оглавление: | Часть 15.1: Снаряды, инвентарь и оборудование для занятий спортом или для игр на открытом воздухе Раздел 15.1.0 1: Инвентарь для спортивных игр Раздел 15.1.02: Инвентарь прочий для занятий спортом или для игр на открытом воздухе Часть 15.2: Элементы благоустройства Раздел 15.2.0 1: Элементы городского благоустройства Раздел 15.2.02: Элементы ограждений Раздел 15.2.03: Элементы паркового благоустройства |
| Утверждён: | 30.12.2016 Минстрой России (Russian Federation Minstroy 1039/пр) |
| Нормативные ссылки: |
|

















