Скачать Руководство по расчету и применению конструкций из армополимербетонов в строительствеДата актуализации: 01.01.2021 |
| Статус: | справочные материалы, мп, тпр |
| Название рус.: | Руководство по расчету и применению конструкций из армополимербетонов в строительстве |
| Дата добавления в базу: | 01.01.2018 |
| Дата актуализации: | 01.01.2021 |
| Область применения: | В Руководстве обобщены и систематизированы результаты научно-исследовательских работ и опытного внедрения химически стойких конструкций из полимербетонов, включающие технологию изготовления, основные физико-механические и физико-химические свойства полимербетонов, прочностные и деформационные характеристики и основные положения по расчету армополимербетонов. |
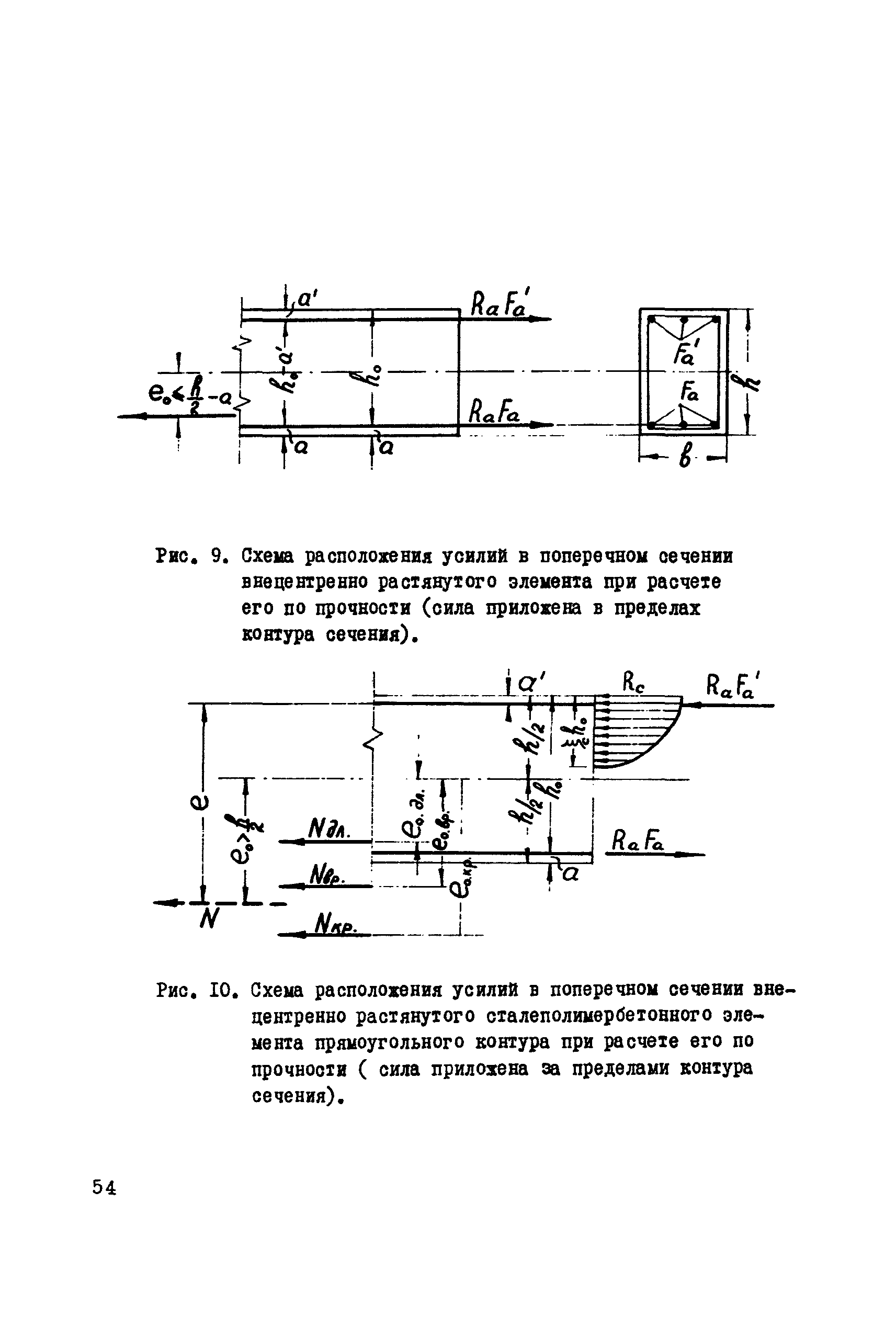
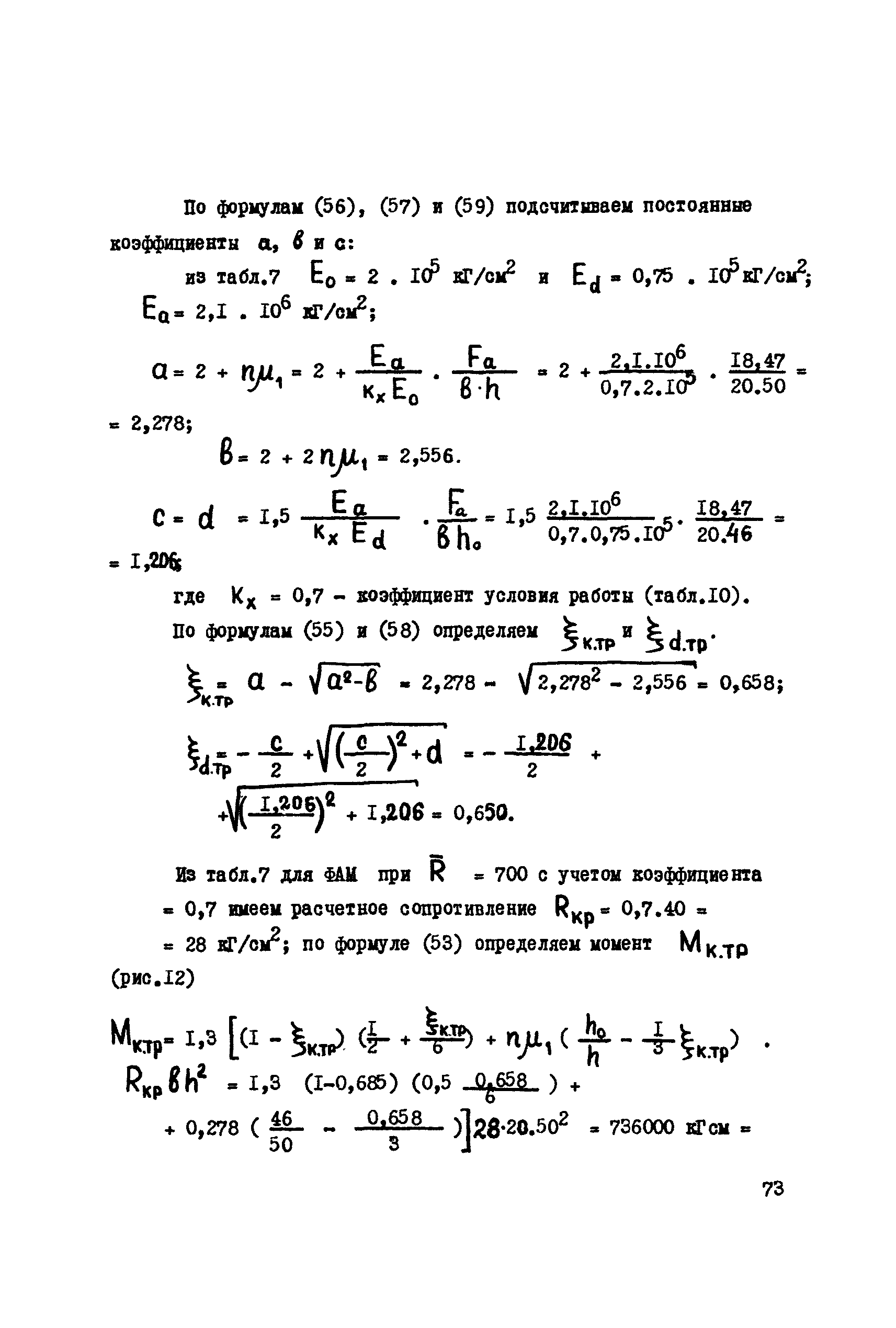
| Оглавление: | Предисловие 1 Терминология 2 Виды полимербетонов и особенности их физико—механических свойств 3 Материалы для полимербетонов, проектирование и расчет состав 4 Технология приготовления полимербетонов: а) Основные требования к конструкциям из полимербетонов б) Приготовление полимербетонов в) Формование и отверждение конструкций из полимербетонов 5 Контроль качества изготовления конструкций из полимербетонов 6 Определение показателя изменчивости, прочности полимербетонов 7 Основные физико—механические свойства полимербетонов и рациональные области их применения 8 Температурные и усадочные напряжения в полимербетонах 9 Основные положения проектирования и расчета несущих сталеполимербетонных конструкций 10 Механические характеристики и коэффициенты условий работы конструкционных полимербетонов 11 Расчет элементов сталеполимербетонных конструкций по прочности 12 Расчет сталеполимербетонных элементов по образованию трещин 13 Расчет элементов сталеполимербетонных конструкций по деформациям 14 Приложение (примеры расчета) |
| Разработан: | НИИЖБ Госстроя СССР МИИТ ВИСИ Минвуза РСФСР |
| Утверждён: | НИИЖБ Госстроя СССР (NIIZhB, USSR Gosstroy ) |
| Нормативные ссылки: |
|
























































































