Скачать ГОСТ Р 57517-2017 Проволока тянутая из алюминия и алюминиевых сплавов общего назначения. Технические условия

Дата актуализации: 01.01.2021

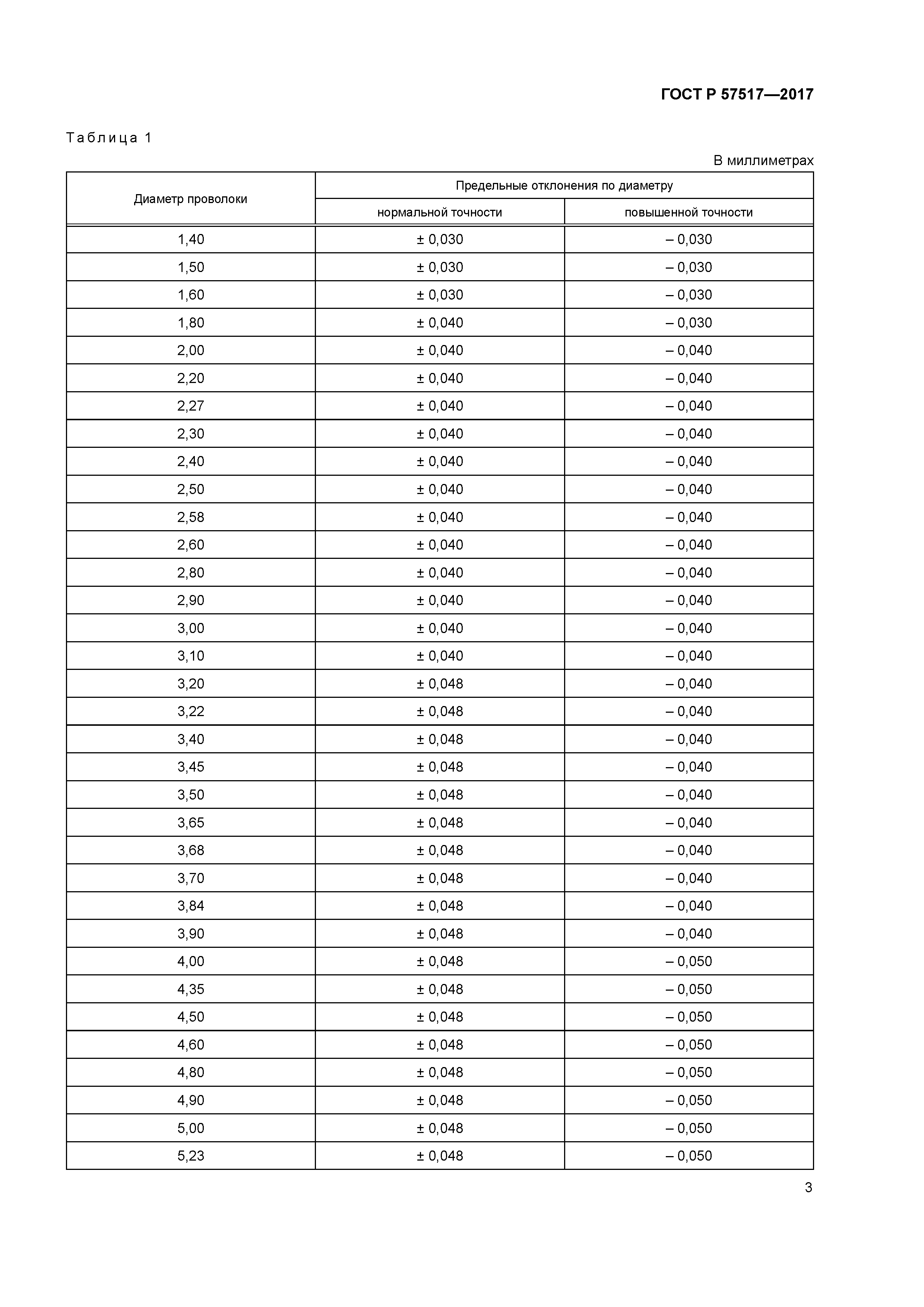
ГОСТ Р 57517-2017

Проволока тянутая из алюминия и алюминиевых сплавов общего назначения. Технические условия

Обозначение: ГОСТ Р 57517-2017
Обозначение англ: GOST R 57517-2017
Статус:введен впервые
Название рус.:Проволока тянутая из алюминия и алюминиевых сплавов общего назначения. Технические условия
Название англ.:General-purpose aluminium and aluminium alloys drawn wire. Specifications
Дата добавления в базу:01.01.2018
Дата актуализации:01.01.2021
Дата введения:01.02.2018
Область применения:Стандарт распространяется на тянутую проволоку из алюминия марок А995, А99, А95, СвА85Т, А5, СвА5, АД0, АД1, АД и алюминиевых сплавов марок Амц, СвАМц, АМг2, АМг5П, Авч, АВП, Д1П, Д16П, Д18, В65, СвАК5 общего назначения.
Оглавление:1 Область применения
2 Нормативные ссылки
3 Основные параметры и размеры
4 Технические требования
5 Правила приемки
6 Методы испытаний
7 Маркировка, упаковка, транспортирование и хранение
8 Гарантии предприятия-изготовителя
Библиография
Разработан: ОАО ВИЛС
Утверждён:04.07.2017 Федеральное агентство по техническому регулированию и метрологии (624-ст)
Издан: Стандартинформ (2017 г. )
Нормативные ссылки:
ГОСТ Р 57517-2017ГОСТ Р 57517-2017ГОСТ Р 57517-2017ГОСТ Р 57517-2017ГОСТ Р 57517-2017ГОСТ Р 57517-2017ГОСТ Р 57517-2017ГОСТ Р 57517-2017ГОСТ Р 57517-2017ГОСТ Р 57517-2017ГОСТ Р 57517-2017ГОСТ Р 57517-2017