Скачать Методические рекомендации по применению и проектированию трубопроводного контейнерного пневмотранспорта на угольных предприятиях

Дата актуализации: 01.01.2021

Методические рекомендации по применению и проектированию трубопроводного контейнерного пневмотранспорта на угольных предприятиях

Статус:справочные материалы, мп, тпр
Название рус.:Методические рекомендации по применению и проектированию трубопроводного контейнерного пневмотранспорта на угольных предприятиях
Дата добавления в базу:01.01.2018
Дата актуализации:01.01.2021
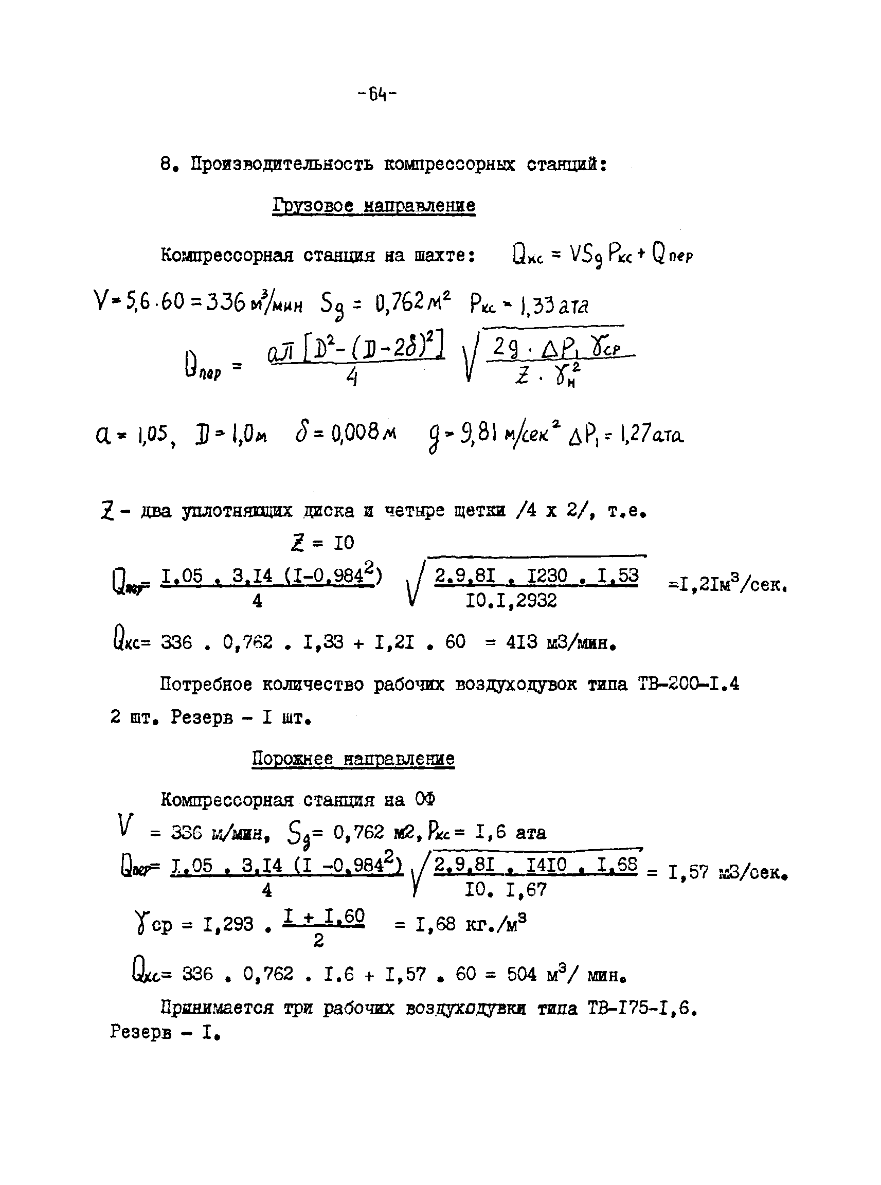
Область применения:Документ содержит технические решения по основным конструкциям трубопроводного контейнерного пневмотранспорта; методические рекомендация по применению этого вида транспорта на угольных предприятиях и расчеты экономических показателей.
Оглавление:Введение
1 Возможные области применения трубопроводного контейнерного пневмотранспорта
2 Принципиальные технологические схемы трубопроводного контейнерного пневмотранспорта
3 Технологические комплексы и их оборудование
   комплекс погрузки
   комплекс разгрузки
   трубопроводы
   раздельные пункты
   подвижной состав
   компрессорные станции
   схемы воздухопроводных сетей и их расчет
   автоматизация работы установки
4 Расчет основных параметров установки
5 Расчет экономических показателей
   капитальные затраты
   эксплуатационные расходы
Разработан: Центрогипрошахт
Утверждён: Центрогипрошахт
Нормативные ссылки: